Tax Court of Canada Judgments

Decision Information

Decision Content

Docket: 2017-5069(IT)G

BETWEEN:

EXXONMOBIL CANADA RESOURCES COMPANY,

Appellant,

and

HIS MAJESTY THE KING,

Respondent.

 

Appeal heard on April 7, 8, 9, 10, 11, 14, 15 and 16, May 26, 27, 28, and 29, and June 2, 3, 4, 5, 6, 9, 10 and 11, 2025 at Calgary, Alberta, and July 3 and 4, 2025 at Montreal, Quebec; supplemental written submissions filed by the Respondent on July 11 and September 5, 2025, and by the Appellant on July 17 and September 5, 2025

Before: The Honourable Justice Dominique Lafleur


Appearances:

Counsel for the Appellant:

Jehad Haymour

Sophie Virji

Anna Lekach

Counsel for the Respondent:

Wendy Bridges

Mary Softley

Tigra Bailey

 

JUDGMENT

In accordance with the terms of the attached Consent to Judgment filed on April 7, 2025, the appeal of the reassessment made under the Income Tax Act (the “Act”) for the taxation year ended November 30, 2001 (the “2001 Taxation Year”), to the extent that the appeal relates to the issues of the deductibility of Canadian Merger Costs and whether the Hibernia Offshore Loading System Revenue should be reclassified as Non-Resource Revenue, is allowed, without costs, and the matters are referred back to the Minister of National Revenue (the “Minister”) for reconsideration and reassessment, in accordance with the terms of said Consent to Judgment.

In accordance with the attached Reasons for Judgment:

  • (i)The Appellant’s request for a summary judgment and non-suit relief is denied;

  • (ii)The Minister was allowed to raise the reassessment dated October 9, 2009, under subparagraph 152(4)(b)(iii) of the Act for the Appellant’s 2001 Taxation Year;

  • (iii)The appeal of the reassessment made under the Act for the Appellant’s 2001 Taxation Year, notice of which is dated October 5, 2017, is allowed, and the matter is referred back to the Minister for reconsideration and reassessment on the following basis:

    1. The deduction in the amount of $36,207,810 that the Appellant claimed (the “Feasibility Study Costs”) in respect of a feasibility study (the “Feasibility Study”) undertaken under the Alaskan Gas Pipeline Project Agreement between BP Exploration (Alaska) Inc., ExxonMobil Production Company and Phillips Alaska, Inc. effective December 5, 2000 were expenditures made or incurred by the Appellant for the purpose of gaining or producing income from a business and are deductible in computing the Appellant’s business income under the Act, as the Appellant had a source of business income relating to the Feasibility Study and the limitation in paragraph 18(1)(a) of the Act does not apply to limit the deduction;

    2. Subsection 247(2) of the Act does not apply to limit or deny the deduction of the Feasibility Study Costs;

  • (iv)The appeal of the Part XIII tax assessment in the amount of $1,810,391 which the Minister assessed under Part XIII of the Act is allowed and the Part XIII tax assessment is vacated.

The parties shall have 30 days from the date of this Judgment to agree on costs. If the parties do not come to an agreement on costs, they shall file written submissions, not exceeding 10 pages, on or before April 10, 2026. If the parties do not advise the Court that they have reached an agreement and no submissions are received by this date, then one set of costs shall be awarded to the Appellant in accordance with Tariff B.

Signed this 6th day of March 2026.

“Dominique Lafleur”

Lafleur J.

 


Citation: 2026 TCC 42

Date: 20260306

Docket: 2017-5069(IT)G

BETWEEN:

EXXONMOBIL CANADA RESOURCES COMPANY,

Appellant,

and

HIS MAJESTY THE KING,

Respondent.

REASONS FOR JUDGMENT

Lafleur J.

A. OVERVIEW

[1] The Appellant raised three issues in its Notice of Appeal for the taxation year ended November 30, 2001 (the “2001 Taxation Year”), namely: (i) the deductibility of Alaskan Gas Pipeline Study Costs (the “Alaskan Gas Pipeline Study Costs Issue), (ii) the deductibility of Canadian Merger Costs (the “Canadian Merger Costs Issue”) and (iii) whether the Hibernia Offshore Loading System Revenue should be reclassified as Non-Resource Revenue (the “OLS Issue”).

[2] At the beginning of the trial, the parties filed with the Court a Consent to Judgment dated January 9, 2025 (attached as Appendix A to these Reasons for Judgment) allowing the Appeal, without costs, with respect to the Canadian Merger Costs Issue and the OLS Issue.

[3] Accordingly, in these Reasons for Judgment, the Court will not deal with the Canadian Merger Costs Issue and the OLS Issue, but only with the Alaskan Gas Pipeline Study Costs Issue.

[4] In computing its income for the 2001 Taxation Year, the Appellant claimed a deduction of $36,207,810 (the “Feasibility Study Costs”) on account of expenditures incurred in respect of a feasibility study to evaluate and progress a pipeline project from Prudhoe Bay on the North Slope of Alaska (the “ANS”) through Western Canada and into the lower 48 states in the United States of America (“USA”), namely the states south of the Canadian border (the “Lower-48”). The feasibility study was undertaken under the Alaskan Gas Pipeline Project Agreement (the “Project Agreement”) between ExxonMobil Production Company (“EMPC”), BP Exploration (Alaska) Inc. (“BP Alaska”) and Phillips Alaska, Inc. (“Phillips Alaska”) effective December 5, 2000 (Exhibit AR-1, Joint Book of Documents, tab 2, attached as Appendix B to these Reasons for Judgment). In these Reasons for Judgment, I will refer to the work carried out under the Project Agreement as the “Feasibility Study”.

[5] The feasibility study costs incurred under the Project Agreement approximately totalled 125 million USD. The Feasibility Study Costs totalling $36,207,810 represent the Appellant’s proportionate share of the aggregate feasibility study costs incurred under the Project Agreement, as allocated to the Appellant in accordance with a Partial Assignment and Cost Allocation Agreement (the “PACA Agreement) dated June 15, 2001 but effective December 5, 2000 (Exhibit AR-1, Joint Book of Documents, tab 3, attached as Appendix C to these Reasons for Judgment). Under the PACA Agreement, EMPC assigned 68% of its one-third Participating Interest in the Project Agreement to the Appellant, and the Appellant agreed to pay its proportionate share of the feasibility study costs incurred under the Project Agreement.

[6] The Minister of National Revenue (the “Minister”) disallowed the deduction of the Feasibility Study Costs on the basis that they were not expenditures made or incurred by the Appellant for the purpose of gaining or producing income from a business or property under paragraph 18(1)(a) of the Income Tax Act (R.S.C. 1985, c. 1 (5th Supp.) (the “Act”). However, at the hearing, the Respondent argued that the Appellant had no source of income from which to deduct the Feasibility Study Costs, relying on sections 3 and 9 of the Act, as well as paragraph 18(1)(a).

[7] In the alternative, the Minister is of the view that if the Court finds the Feasibility Study Costs were properly deducted under the rules found in sections 3 and 9 and paragraph 18(1)(a) of the Act, then paragraphs 247(2)(a) and 247(2)(c) of the Act, or, in the further alternative, paragraphs 247(2)(b) and 247(2)(d) of the Act, apply so that no amount in respect of the Feasibility Study Costs can be deducted in computing the Appellant’s income under the Act.

[8] However, at the hearing, the Respondent argued that paragraphs 247(2)(b) and 247(2)(d) of the Act apply in the first alternative, and, in the further alternative, paragraphs 247(2)(a) and 247(2)(c) of the Act apply, so that no amount in respect of the Feasibility Study Costs can be deducted in computing the Appellant’s income under the Act.

[9] The Minister also assessed the Appellant for an amount of $1,810,391 under Part XIII of the Act (the “Part XIII Tax Assessment”), on the basis that the Feasibility Study Costs incurred by the Appellant were a benefit in the same amount that the Appellant conferred on its ultimate US parent, ExxonMobil Corporation (“EM Corp.”).

[10] The hearing took place over 22 days, where nine (9) witnesses, including four (4) expert witnesses, testified. The Respondent called only one witness to testify, who was qualified as an expert witness in transfer pricing.

[11] The parties filed a Partial Agreed Statement of Facts (Exhibit AR-2, attached as Appendix D to these Reasons for Judgment).

[12] The parties also filed a Joint Book of Documents (Exhibit AR-1 in 8 volumes). In that respect, the parties agreed to the authenticity of the documents, but not to the truth of their content.

[13] In addition to written submissions filed by the parties, at my request the parties filed supplemental written submissions after the end of the trial.

[14] Unless otherwise indicated, any statutory provision referred to in these Reasons is a provision of the Act. Similarly, unless otherwise indicated, any dollar amounts mentioned in these Reasons refer to legal tender in Canada.

B. ISSUES

[15] In the case at bar, the Court must determine the following issues:

  • (i)Regarding the Appellant’s 2001 Taxation Year, can the Minister rely on subparagraph 152(4)(b)(iii) to extend the normal reassessment period, or was the Minister statute-barred from disallowing the deduction of the Feasibility Study Costs under the 2009 Reassessment (as defined below)?

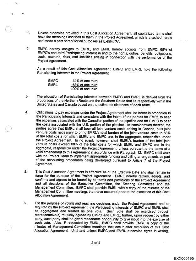
  • (ii)Regarding the Appellant’s 2001 Taxation Year, whether the Feasibility Study Costs were deductible in computing the Appellant’s business income under the rules found in sections 3 and 9 and not restricted by paragraph 18(1)(a);

  • (iii)Regarding the Appellant’s 2001 Taxation Year, if the Court finds that the Feasibility Study Costs were deductible in computing the Appellant’s business income under the rules found in sections 3 and 9, and not restricted by paragraph 18(1)(a):

    1. Whether paragraphs 247(2)(b) and 247(d) apply to deny the deduction of the Feasibility Study Costs;

    2. In the further alternative, whether paragraphs 247(2)(a) and 247(c) apply to adjust the deduction of the Feasibility Study Costs to zero;

  • (iv)Whether the Minister erred in assessing Part XIII tax under the Part XIII Tax Assessment in respect of a purported benefit the Appellant conferred on EM Corp. by paying the Feasibility Study Costs.

[16] The Court must also determine whether the motion brought by the Appellant for summary judgment and non-suit relief should be granted.

C. DISPOSITION

[17] In accordance with these Reasons for Judgment:

  • (i)The Appellant’s request for a summary judgment and non-suit relief is denied;

  • (ii)The Minister was allowed to raise the 2009 Reassessment under subparagraph 152(4)(b)(iii) for the Appellant’s 2001 Taxation Year;

  • (iii)The appeal of the reassessment made under the Act for the Appellant’s 2001 Taxation Year, notice of which is dated October 5, 2017, is allowed, and the matter is referred back to the Minister for reconsideration and reassessment on the following basis:

    1. The Feasibility Study Costs were expenditures made or incurred by the Appellant for the purpose of gaining or producing income from a business and are deductible in computing the Appellant’s business income under the Act, as the Appellant had a source of business income relating to the Feasibility Study and the limitation in paragraph 18(1)(a) does not apply to limit the deduction;

    2. Subsection 247(2) does not apply to limit or deny the deduction of the Feasibility Study Costs;

  • (iv)The appeal of the Part XIII Tax Assessment is allowed and the Part XIII Tax Assessment is vacated.

[18] The parties shall have 30 days from the date of this Judgment to agree on costs. If the parties do not come to an agreement on costs, they shall file written submissions, not exceeding 10 pages, on or before April 10, 2026. If the parties do not advise the Court that they have reached an agreement and no submissions are received by this date, then one set of costs shall be awarded to the Appellant in accordance with Tariff B.

D. OVERVIEW OF THE AGREED FACTS AND TESTIMONIES

[19] The most relevant facts agreed upon by the parties are outlined below, followed by an overview of the testimonies of the lay witnesses, and Mr. John Carruthers’ expert testimony. Expert testimonies of transfer pricing experts will be reviewed in the transfer pricing section of these Reasons.

I. The structure of ExxonMobil group

[20] On November 30, 1999, Mobil Oil Corporation (“Mobil Corporation”) became a wholly owned subsidiary of Exxon Corporation, a corporation resident in the USA (the “Merger”).

[21] Exxon Corporation changed its name to ExxonMobil Corporation, that is EM Corp.

[22] EM Corp. is a non-resident of Canada.

[23] EMPC operates as a division of EM Corp. As an active division of EM Corp., EMPC and EM Corp. are the same corporation. In these reasons, I may refer to either EM Corp. or EMPC, referring to the same corporate entity.

[24] As a result of the Merger, EM Corp. became the direct or indirect owner of all Mobil Corporation’s subsidiaries, including Mobil Resources Ltd.

[25] On January 15, 2001, Mobil Resources Ltd. changed its name to ExxonMobil Resources Limited (“EMRL”). Further, in December 2003, EMRL changed its name to ExxonMobil Canada Resources Company (“EMCRC”), the Appellant. Consequent to the corporate name changes, the Appellant was formerly known as Mobil Resources Ltd. and EMRL.

[26] ExxonMobil Canada Ltd (“EM Canada”), formerly Mobil Oil Canada Ltd. (“Mobil Canada”), is the parent company of the Appellant in Canada. EM Corp. indirectly owns all the shares of the capital of EM Canada and of the Appellant.

[27] Imperial Oil Limited (“IOL”) is a Canadian corporation owned at 69.6% by EM Corp. and 30.4% widely held by the public.

[28] The Appellant is related to a number of other companies, including IOL, EM Canada and EM Corp. The Appellant does not deal at arm’s length with EM Corp.

[29] Prior to the Merger, Mobil Resources Ltd. was a majority partner in a partnership responsible for Canadian western operations (the ExxonMobil Canada Energy (“EMCE”) Partnership), and a minority partner in a partnership responsible for Canadian eastern operations (the ExxonMobil Canada Properties (“EMCP”) Partnership).

[30] At the times relevant to this appeal, the ExxonMobil entities owned interests in a variety of pipelines across Canada, including the Maritimes & Northeast Pipeline, the Rainbow Pipeline and the South Saskatchewan Pipeline.

[31] As of December 1999, the Appellant owned an interest in Maritimes & Northeast Pipeline Limited Partnership.

[32] At all relevant times, (i) Mr. Robbie Schilhab was a manager with EMPC, and did not hold a position with the Appellant; (ii) Mr. Mark A. Sikkel was Vice President North America of EMPC, and did not hold a position with the Appellant; and (iii) Mr. H.J. Longwell was an executive Vice President of EM Corp., and did not hold a position with the Appellant.

II. History of the Alaska Natural Gas Transportation System

[33] In 1968, large natural gas reserves associated with oil reserves were discovered in Prudhoe Bay on the ANS which represented approximately 10% of the known oil and gas reserves in the USA.

[34] In 1969, the three largest leaseholders of rights to the oil pool in Prudhoe Bay (Exxon, Arco and Sohio) sought to build an oil pipeline called the Trans-Alaska Pipeline System from Prudhoe Bay to the Gulf of Alaska. In addition to natural gas reserve discovered at Prudhoe Bay, additional reserves of natural gas were discovered in Canada, in the Mackenzie Delta and Beaufort Sea.

[35] In 1969, groups began researching the feasibility of the construction and operation of a natural gas pipeline from Prudhoe Bay to Midwestern USA through the Yukon, Northwest Territories and Alberta, but became inactive shortly thereafter due to lack of funding.

[36] After this, in the early 1970s, various groups began to focus on bringing the Alaskan gas to market.

[37] Between 1974 and 1976, separate project groups applied to the predecessor of the Federal Energy Regulatory Commission (“FERC”) for US certification to transport Alaskan gas.

[38] Northwest Pipeline Company and Alcan Pipeline Company formed a US group that applied to pursue a natural gas pipeline route (the “Alcan Project”) that followed the Alaska Highway to the Alaska-Yukon border and then proceeded to British Columbia and Alberta.

[39] At the same time, Canadian companies, including Foothills Pipeline Ltd (“Foothills”) separately applied to the National Energy Board (“NEB”) seeking Canadian certification for the Canadian portion of the Alcan Project, from the Yukon border to Fort Nelson (British Columbia) and Zama Lake (Alberta), to connect with existing systems to bring Alaskan natural gas to consumers in the USA (the “Foothills Project”).

[40] In 1976, the US Congress passed the Alaska Natural Gas Transportation Act (“ANGTA”).

[41] Also in 1976, the NEB concluded that the Foothills Project was the preferred route for transportation of Alaskan natural gas. As a result, the Foothills Project applied for rights-of-way in the Yukon to advance the Canadian portion of the Alcan Project.

[42] In 1977, US President Carter selected the Alcan Project to become the Alaska Natural Gas Transportation System (“ANGTS”).

[43] In 1978, the Northern Pipeline Act (“NPA”) in Canada was enacted, establishing the Northern Pipeline Agency to oversee the construction of the Foothills Project. Also in 1978, Certificates of Public Convenience and Necessity were issued to Foothills (the “Foothills Certificates”).

[44] Over time, portions of a pipeline from Alberta to the Lower-48 were completed, but none of the Alaska to Alberta portion was ever built.

[45] In 1981, a joint resolution was passed by US Congress approving US President Ronald Reagan’s recommendation to allow Alaska’s natural gas producers to participate in ownership of the Alaskan gas pipeline.

[46] By early 1982, construction of the Alaska portion of the Alcan Project was suspended indefinitely by the FERC.

[47] In 1998, the Stranded Gas Development Act was enacted by the Alaska State Legislature, authorizing Alaska State Authorities to negotiate fiscal terms with producers for pipeline projects through contracts to be approved by the Alaska State Legislature.

[48] In 1999, Foothills reaffirmed its commitment to the Alcan Project/Foothills Project and asserted that its proposed route was the most advantageous for moving Alaskan gas to market.

III. Project Overview

1. The Project Agreement

[49] On October 19, 2000, EMPC, BP Alaska and Phillips Alaska met to consider the Project (as defined below), including work scope and schedule, as well as cost estimates for 2001. The schedule was directly influenced by the objective of seeking to file route approvals with the FERC and the NEB in 2001 (Exhibit AR‑1, Joint Book of Documents, tab 9).

[50] On December 5, 2000, EMPC, BP Alaska and Phillips Alaska entered into the Project Agreement.

[51] According to the Project Agreement, each of the parties wanted, among other things “to evaluate and progress a pipeline project to transport its natural gas from the Alaska North Slope into the Western Canada and the US market hubs”, which is defined as the “Project” in the Project Agreement.

[52] The target objective of the Project Agreement was to pursue filing of regulatory applications with the FERC and the NEB, in the second half of the 2001 calendar year.

[53] Pursuant to the section 3.1 of the Project Agreement, each of the parties owned and bore a one-third interest (a “Participating Interest”) in the rights, duties, benefits, obligations, costs, rewards, risks and liabilities arising in connection with the performance of the Project Agreement.

[54] Work carried out under the Project Agreement, namely the Feasibility Study, was governed by an Executive Committee (section 4.1), a Steering Committee (section 4.2) and a Management Committee (section 4.3). Each committee consisted of a single representative from each party, whose appointment was memorialized in article 4 of the Project Agreement.

[55] A group team referred to as the “North American Natural Gas Pipeline Group” and later as the “Alaska Gas Producers Pipeline Team” (the “Project Team”) was formed to carry out the Feasibility Study. The Project Team was comprised of seven program teams, each dealing with certain aspect of the Feasibility Study, and the manager of each program reported to the Management Committee (Exhibit AR-1, Joint Book of Documents, tab 4):

- the Alaska-to-Alberta Program Team (Northern Sector): with Wayne Kubasek as the Northern Sector Program Manager;

- the Alberta-to-Market (Lower-48) Program Team (Southern Sector): with David Weaver as the Southern Sector Program Manager;

- the Natural Gas Liquids (“NGL”) Program Team: with Boyd Anderson as the NGL Program Manager;

- the Commercial Team: with William McMahon as the Commercial Manager;

- the Environmental, Regulatory and Land Program Team: with John Carruthers as the Environmental and Regulatory Manager;

- the Project Services Team: with Frank Roach as the Project Services Manager; and

- the External Affairs Team: with David MacDowell as the External Affairs Manager.

[56] The Feasibility Study consisted of a series of specific feasibility studies which focused on, among other things, the commercial, environmental, regulatory, external affairs and technical aspects of the Project, and involved consultation with various third parties.

[57] By agreement of the parties, KMPG was retained to provide third-party services, including acting as agent for work carried out under the Project Agreement in executing contracts and purchase orders with third parties, assisting in establishing a funding process that would fund the work carried out under the Project Agreement, and performing accounting functions for the work carried out under the Project Agreement (as a Business Coordinator, under Article 6 of the Project Agreement; and see Exhibit AR-1, Joint Book of Documents, tab 15, for the Letter from KPMG dated January 3, 2001 describing the business process outsourcing services to be provided).

2. Description of the Project

[58] According to the Project Agreement, the Project was expected to contain the following elements:

  • -a gas treating plant on the ANS to remove carbon dioxide and prepare the gas for shipment via pipeline (section 1.1.1); and

  • -a pipeline from the ANS to a terminal point in Alberta, Canada (section 1.1.2) (also referred to as the “A to B pipeline”).

[59] Furthermore, according to the Project Agreement, the Project may also contain the following elements:

  • -a pipeline, or pipelines, from Alberta, Canada to a terminal point, or points, in Canada and/or the continental USA (section 1.2.1.) (also referred to as the “B to C pipeline”); and

  • -facilities to extract natural gas liquids (NGLs) (section 1.2.2).

[60] The parties also outlined specific plans associated with the Project, including a restart plan for the Project (for example, see Exhibit AR-1, Joint Book of Documents, tab 81 for an excerpt of the A to B Pipeline Restart Manual dated March 14, 2002).

[61] In advancing the Feasibility Study, the parties held meetings with various pipelines companies to discuss potential competitive options related to portions of the proposed pipeline.

[62] In early 2002, the parties delivered the following messages related to the Project:

- the Project was not commercially viable at that time, with any mandate being pursued for further development in 2002 only hurting the economics of the Project;

- the governments play a vital role in progressing the Project;

- there should be an expectation of continued dialogue with pipeline companies, governments and other interested parties.

IV. Partial assignment to the Appellant

[63] On June 15, 2001, EMPC and the Appellant entered into the PACA Agreement, with an effective date of December 5, 2000.

[64] To assign part of its interest to the Appellant, EMPC relied on section 10.4 of the Project Agreement which permitted EMPC to assign all or part of its interest in the Project Agreement to one or more of its affiliates, providing the voting interests and decision-making authority of EMPC and its affiliates would be aggregated and treated as one vote under the Project Agreement.

[65] Under the PACA Agreement, EMPC assigned 68% of its one-third Participating Interest in and to the rights, duties, benefits, obligations, costs, rewards, risks and liabilities arising in connection with the performance of the Project Agreement to the Appellant (Paragraph 2).

[66] As a result of the partial assignment, and in accordance with Paragraph 2 of the PACA Agreement, EMPC held 32% of one-third Participating Interest in the Project Agreement (or 10.67% of the Participating Interests in the Project Agreement) and the Appellant held 68% of one-third Participating Interest in the Project Agreement (or 22.67% of the Participating Interests in the Project Agreement).

[67] According to Paragraph 4 of the PACA Agreement, the parties agreed that the Appellant shall bear all joint venture costs arising in Canada under the Project Agreement, plus any joint venture costs necessary to bring the Appellant’s total cost burden to 68% of the total costs for which EMPC and the Appellant were, in the aggregate, responsible for under the Project Agreement. However, the Appellant’s costs burden was never to exceed 68% of the total costs for which EMPC and the Appellant were, in the aggregate, responsible for under the Project Agreement.

V. Events following the termination of the Project Agreement

[68] On April 1, 2002, EMPC, BP Alaska and Phillips Alaska entered into the Alaska Gas Pipeline Study Agreement (the “2002 AGP Agreement”) (Exhibit AR‑1, Joint Book of Documents, tab 145). EMPC did not assign its interest in the 2002 AGP Agreement to the Appellant.

[69] Effective June 17, 2003, the Appellant entered into an agreement to license certain confidential and proprietary data from the Feasibility Study to parties to the Mackenzie Gas Project (Mackenzie Gas Project”) (Exhibit AR-1, Joint Book of Documents, tab 99). The Appellant reported licensing income in the amount of $1,031,022 in its taxation year ended November 30, 2004.

[70] During the 2002 to 2006 period, the parties to the Project Agreement and the Alaska Authorities attempted to negotiate fiscal terms under the Stranded Gas Development Act, but the Alaska State Legislature ultimately rejected the fiscal terms as not being in Alaska’s best interest.

[71] In 2004, the FERC advised that the ANGTS would not bar the FERC from considering applicants other than those referenced under the ANGTS. Further, in 2004, the Federal Alaska Natural Gas Pipeline Act (the “Federal Pipeline Act”) was enacted which stated that notwithstanding the ANGTS, the FERC may “consider and act on an application for the issuance of a certificate of public convenience and necessity authorizing the construction and operation of an Alaska natural gas transportation project other than the [ANGTS]” (Exhibit AR-1, Joint Book of Documents, tab G).

[72] In 2007, the Alaska Gasline Inducement Act was enacted by the Alaska State Legislature (to replace the Alaska Stranded Gas Development Act) due to the belief by Alaskan officials that the Alaskan Gas Pipeline project was economical, but a producer owned pipeline would lead to high tariffs and limited access. FERC testified before the Alaska State Legislature that the Federal Pipeline Act ensured reasonable tariffs and that a pipeline owner could not discriminate against non owners (Exhibit AR-1, Joint Book of Documents, tab 131).

[73] In late 2008, TransCanada Pipelines Limited (“TCPL”), through Foothills, received a license under the Alaska Gasline Inducement Act, resulting in TCPL (and certain of its affiliates) entering into a joint venture with EM Corp. (and certain of its affiliates) in 2009 to form the Alaska Pipeline Project (“APP”) along the Southern Route, which I will refer to in these Reasons for Judgment as the TransCanada Pipeline Joint Venture (Exhibit AR-1, Joint Book of Documents, tabs 112 and 113).

[74] In May 2012, the State of Alaska granted TCPL a two-year postponement in respect of the APP, to give TCPL and ANS producers more time to explore the best market for Alaskan natural gas.

[75] In 2014, TCPL and the Alaska government cancelled the APP license granted to TCPL under the Alaska Gasline Inducement Act.

VI. LAY WITNESSES AND MR. CARRUTHERS’ EXPERT TESTIMONY

[76] At the hearing, six (6) lay witnesses testified on behalf of the Appellant. Mr. Carruthers testified as a lay witness and as an expert witness. All these witnesses were very credible, and I found that they each gave credible and reliable evidence, although the events took place more than 20 years ago. Their credibility was not challenged in cross-examination. Furthermore, their testimonies were consistent with contemporaneous documentation, which added to their credibility.

1. Mr. McMahon

[77] William Arthur McMahon, Jr., has a Bachelor of Science in mechanical engineering from Houston University. He joined the Exxon group in the USA in June 1982 and retired in May 2020. In 1999, he was a planning/commercial advisor for Exxon Company International.

[78] During the period from 2000 to 2002, Mr. McMahon was employed by EMPC.

1) On the Project:

[79] In December 2000, Mr. McMahon was involved in the Project as the Commercial Manager of the Project Team. It was the second time he became involved in the commercialization of the ANS natural gas.

[80] Mr. McMahon testified that although the Project Team was demobilized in April 2002, activities were carried out by the various programs of the Project Team up to the end of December 2002, to duly wrap up the Project.

[81] According to Mr. McMahon, the Project was a feasibility study for a pipeline project, as described in the Project Agreement. The Feasibility Study carried out under the Project Agreement was to evaluate and progress a pipeline from the ANS to Canada (central Alberta) and from Canada (central Alberta) to the Lower-48, using either the Southern Route or the Northern Route.

[82] Within the ANS to Alberta portion of the pipeline, two potential routes were identified as options. One potential route was the Southern Route. The other potential route was the Northern Route, which used a subsea pipeline following the northern coast of Alaska and Yukon before emerging in the Northwest Territories and then finally heading south following the Mackenzie River into Alberta. The Northern Route would allow the pipeline to pick up natural gas from the Mackenzie Delta deposits, allowing the ExxonMobil group to commercialize their rights from both gas deposits, increasing economies of scale.

[83] Within the Northern and Southern Routes, four potential scenarios were identified for running the pipeline, namely two potential scenarios for each route (Exhibit AR-1, Joint Book of Documents, tab 111). For each route, one scenario would result in the pipeline ending up in Chicago, and the other scenario would result in the pipeline ending up in Alberta.

[84] The Project comprised of a gas treating plant on the ANS to remove impurities and a pipeline that would go from the ANS to Alberta, either by the Southern Route or the Northern Route. Further, the Project could include an NGL plant, either in Alberta or in Chicago, and a pipeline from Alberta to the Chicago area. The Project considered both the Southern Route and the Northern Route, so an informed decision could be made by the participants under the Feasibility Study.

[85] However, Mr. McMahon testified that it would not have been under the Project Agreement that the projected pipeline would be built. The Project was a very large capital project qualifying as a megaproject, where a project is divided into various phases. At the end of each phase, a participant receives a package of information to determine whether it will go forward to the next phase.

[86] According to Mr. McMahon, in a project of this size, it is very important to fully document each phase, so that when the project is brought to the next level, there is a good foundation for the new team to start with.

[87] At the end of 2002, the Project was at the end of the conceptual engineering phase, which phase brought details to design the Project. More particularly, the Project included the development of a project design, a project execution plan, a schedule, a cost estimate, the preparation for filing the regulatory applications with the NEB and FERC, and the preparation for an open season. In the present case, the parties did not move to the next phase of the megaproject.

[88] Mr. McMahon testified that the Project Team did not include a program for gas production because it was outside the scope of the Project.

[89] The Feasibility Study culminated in the compilation of numerous job books, final reports, memoranda, executive summaries and an Integrated Economic Model, which were distributed to the five participants under the Project, including the Appellant (Exhibit AR-1, Joint Book of Documents, tab 87 for a list of job books; and tabs 21, 27, 42, 43, 45, 46, 47, 49, 51, 53, 54, 57, 58, 59, 61, 62, 64, 65, 66, 67, 68, 71, 72, 73, 74, 75, 76, 77, 79, 80, 81, 82, 83, 84, 85 and 161 for various job books).

2) On the Commercial Program:

[90] The key activities for the Commercial program of the Project Team were to build an Integrated Economic Model and to supervise the commercial and business development with third parties on some parts of the Project.

[91] As the Commercial Manager on the Project Team, Mr. McMahon was supporting other teams, particularly the Northern Sector (including the Gas Treating Plant and the Pipeline from the ANS to Alberta, including the Southern Route and the Northern Route), the Southern Sector (pipeline from Alberta to Lower-48) and the NGL.

3) On the structure of ExxonMobil group:

[92] After the Merger, Mr. McMahon testified that EM Canada did not merge financially with IOL and continued to own assets, including midstream and upstream assets. The idea was for IOL to operate these assets. Mr. McMahon did not recall that the predecessor to the Appellant (Mobil Resources Ltd.) transitioned its activities to IOL. However, after the Merger, management and corporate functions were transferred to IOL.

4) On the oil & gas industry and natural gas:

[93] Mr. McMahon testified that since the deregulation of the oil and gas industry, pipeline owners (also referred to as pipeline companies) no longer served a merchant function, as they are now only the carriers of the natural gas. Pipeline owners only take custody of the natural gas, but not title to it.

[94] Customers of pipeline owners, broadly called the shippers, are producers of natural gas (who own the gas) and gas marketers (who do not produce gas and do not own pipelines). Producers book pipelines to transport their natural gas. On the other hand, gas marketers buy gas from the producers and then ship it on the pipelines to sell the gas to markets.

[95] Deregulation served to provide a more competitive market for natural gas. Owners of natural gas resources (the producers) can no longer be owners or operators of pipelines, but they could be shippers on the pipelines. Pipeline owners are regulated by regulatory bodies both in the USA (by the FERC) and in Canada (by the NEB).

[96] Mr. McMahon stated that an open season is held by pipeline owners, before construction of the pipeline, to indicate to the market what will be the tolls and rates charged by pipeline owners to ship the natural gas on their pipelines. If they agree with tolls and rates, shippers will secure capacity to transport the natural gas. When open season is closed, then a pipeline owner makes a final investment, obtains financing and builds the pipeline.

5) On the Integrated Economic Model:

[97] As indicated above, the Integrated Economic Model, a key deliverable under the Project for the Commercial program, was finalized in March 2002 (Exhibit AR-1, Joint Book of Documents, tab 63 – one illustration of the base case in the Integrated Economic Model, and Exhibit R-2 – USB key containing the Integrated Economic Model).

[98] The Integrated Economic Model provided the basis for the tolls and rates that would be offered to potential shippers in an open season, namely to either gas producers or gas marketers. Under the Project, it was the foundation for regulatory filing applications with the NEB and FERC, and the basis for the financial structure of the pipeline (acceptable costs for the pipelines). Further, the Integrated Economic Model evaluated the socioeconomic benefits of the Project, such as the large number of workers needed and expenses in the affected communities. The Integrated Economic Model also included an evaluation of the direct benefits of a successful project for host governments.

[99] The base case under the Integrated Economic Model was a pipeline using the Southern Route, a B to C pipeline from Alberta to Chicago, an NGL plant in Alberta and is illustrated at tab 63 (Exhibit AR-1, Joint Book of Documents). The total capital expenditure was estimated at 26.2 billion USD. However, more than 100 simulations were run in the Integrated Economic Model (Exhibit AR-1, Joint Book of Documents, tab 78: Project Valuation on March 2002 by the Project Team).

[100] Mr. McMahon stated that the Integrated Economic Model included both the upstream activities, that is the production of natural gas in the ANS, and the downstream activities, that is the pipeline construction to allow natural gas to be shipped to the markets. I will come back to the Integrated Economic Moder below.

6) On the chronology of the Project:

[101] According to Mr. McMahon, in September 2001 and October 2001, the participants in the Project were still looking at advancing the pipeline.

[102] However, in January 2002, all participants in the Project concluded that the Project was not commercially viable, and they decided not to proceed to the next engineering phase, but the participants continued obtaining cost estimates to complete the conceptual engineering phase.

[103] Mr. McMahon testified on various presentations made to Mr. Longwell and to Mr. Raymond (CEO and president of EM Corp. respectively) dealing with the advancement of the Project (Exhibit AR-1, Joint Book of Documents, tabs 20, 25, 29, 35, 44 and 69).

[104] In October 2001, Mr. McMahon was still working on the Integrated Economic Model.

7) On the PACA Agreement:

[105] Mr. Mahon testified that he was aware that the PACA Agreement was negotiated around April 2001, and that the rationale was that EMPC wanted the resources, expertise and knowledge of the Appellant in Canada, particularly in dealing with NEB applications.

[106] According to Mr. McMahon, KPMG, BP Alaska and Phillips Alaska received notice that EMPC had assigned part of its interest in the Project Agreement to the Appellant, and that the Appellant was hereafter a participant to the Project Agreement.

[107] The allocation of the Participating Interest between EMPC and the Appellant was derived from an average of the proportion of the Northern Route and Southern Route that would lie within the USA and Canada based on an estimated distance of each route, under four scenarios (Paragraph 3 of the PACA Agreement; Exhibit AR-1, Joint Book of Documents, tab 111). The Appellant was assigned a proportionate share of the Participating Interest in the Project Agreement equal to the proportion of the average distance of the four scenarios that would lie within Canada.

[108] Further, by assuming 68% of EMPC’s one-third Participating Interest in the Project, the Appellant would have the right to own the Canadian portion of the Project, namely the Canadian portion of the pipeline from the ANS to Alberta, a Canadian NGL plant if built in Canada, and the Canadian portion of the pipeline from Alberta to Chicago. If no pipeline was built, the Appellant would still get the right to all information and data produced under the Feasibility Study.

[109] Mr. McMahon stated that the Appellant was a full participant in the Project and was not only a participant used to absorb costs. The Appellant received information, furnished personnel, managed the Project by working with EMPC’s Management Committee member.

[110] At the termination of the Project, the Appellant received all job books containing all data and information on the Project.

[111] Mr. McMahon stated that he was not aware of any disagreement between Mr. McNamara, the president of the Appellant, and Mr. Schilhab, who was the named representative of ExxonMobil’s interest on the Management Committee under the Project.

2. Ms. DuCharme

[112] Linda DuCharme worked for Exxon/ExxonMobil group for 37 years. She was a chemical engineer and worked in the USA, and later in Europe, Asia, and Africa. She spent most of her career in the commercial sector of ExxonMobil Gas Marketing Company (ExxonMobil Gas & Power Company) (“EMGM”), a division of EM Corp.

[113] EMGM’s business included all gas marketing activities across the globe from all affiliates, pipelines assets and gas processing facilities. Ms. DuCharme’s job at EMGM was also to help develop stranded gas resources around the world and transport gas to market, and to manage various commercial agreements entered by EM Corp. and related to gas resources. She later became the president of the Technology and Engineering Company of EM Corp.

[114] After the Merger in 1999, and during the period from 1999 to 2002, she worked for EMGM as the “Joint Venture Coordinator/Analysis”. She represented ExxonMobil’s interests in various joint ventures (both gas marketing and pipelines) in North America. For example, Ms. DuCharme was responsible for the Maritimes & Northeast Pipeline, a pipeline from Nova Scotia to Massachusetts.

[115] According to Ms. DuCharme, EM Corp. always owns interests in pipelines and operates pipelines through affiliates located in the country where pipelines are located. EM Corp. would never directly own interests in pipelines or be an operator of pipelines.

[116] Ms. DuCharme stated that the reasons EM Corp. always uses affiliates to own interests in various ventures were to limit its exposure to liability. She testified about a situation in Australia (Longford Gas Plant) where after an explosion (before 2000), EM Corp. was ordered by a court to pay damages caused by a third-party joint venture partner unable to meet its financial obligations, as well as in respect of the big spill in Valdez (Alaska) in 1989.

[117] As a representative of EM Corp., Ms. DuCharme was involved in negotiating and drafting the Project Agreement. She testified as to the natural gas market at that time, which I will come back to later. She was also involved in various presentations made to the senior management of EM Corp.

[118] On September 21, 2000 (before the execution of the Project Agreement), a presentation was made to Mr. Longwell (Vice-President of upstream activities at EM Corp.) (Exhibit AR-1, Joint Book of Documents, tab 7). Given the unusual market (low oil price, and high natural gas price), Mr. Longwell wanted to look at the opportunity to build a pipeline to bring the natural gas from Prudhoe Bay on the ANS and the Mackenzie Delta to markets.

[119] Using ExxonMobil’s own economic model, various cost estimates were calculated for the Project, either using the Southern Route (discounted cash flow return or “DCFR” of 10-12%) or the Northern Route (DCFR of 12-14%). The strategy was to bring both the ANS natural gas and the Mackenzie Delta gas to markets. However, neither BP Alaska or Phillips Alaska owned resources in Mackenzie Delta at that time and they preferred the Southern Route. EM Corp. still wanted to explore both routes and show to them that economies of scale can be achieved if the projected pipeline was built using the Northern Route.

[120] The Project as contemplated would be a 5,000-mile pipeline, which Ms. DuCharme testified was unprecedented at that time. Further, the idea was to build the pipeline rapidly to take advantage of the unique market of oil and gas at that time. Given the length of the pipeline, the liability issue was very important. According to Ms. DuCharme, in September 2000, the Project was going forward with the construction of a pipeline.

[121] Ms. DuCharme testified on another presentation made to Mr. Longwell on July 11, 2001 (Exhibit AR-1, Joint Book of Documents, tab 35). Using ExxonMobil’s own economic model, they made an economic analysis of costs for the Northern Route and the Southern Route. The conclusion was that the Northern Route was the most economical, given economy of scale accessing both reservoirs in Prudhoe Bay and the Mackenzie Delta. There were also continued discussions on structuring and financing issues for the pipeline.

[122] In July 2001, the parties continued with their plan to build a pipeline. However, there were misalignment on various issues including how the parties would structure the project, on how they would engage with the Alaskan government, and which route they would use to build the pipeline as Phillips Alaska was particularly reticent with regards to the Northern Route.

[123] On July 27, 2001, another presentation was made to Mr. Longwell in preparation for a meeting with his counterparts with BP Alaska and Phillips Alaska (Exhibit AR-1, Joint Book of Documents, tab 37). EM Corp. was not looking at terminating the Project at that time.

[124] Around October 2001, various cost estimates were obtained by the Project Team, and costs were higher than expected. According to Ms. DuCharme, at that point, they were not sure that the Project was still financially supported by EM Corp. (Exhibit AR-1, Joint Book of Documents, tab 44, presentation to Mr. Longwell dated October 9, 2001).

[125] On January 24, 2002, an economic costs analysis was prepared using the Integrated Economic Model. As shown in the analysis, the Project was less attractive as the price of natural gas went down, and because cost estimates as prepared by the Project Team using the Integrated Economic Model were more reliable, showing higher costs. The Project became less attractive economically (Exhibit AR-1, Joint Book of Documents, tab 69, presentation to Mr. Longwell dated January 24, 2002).

[126] On April 19, 2002, results were delivered to Mr. Longwell and Mr. Tillerson (Exhibit AR-1, Joint Book of Documents, tab 88). Costs for the Northern Route increased a lot due to additional trenching, bigger barges needed and additional logistics in the Beaufort Sea. Although they concluded that costs were similar for both the Northern and Southern Routes, technology was non-existent in respect of the Northern Route.

3. Mr. McNamara

[127] Glenn McNamara has a Bachelor of Science in engineering and a Master of Business Administration. Throughout his career, he has been an oil and gas engineer (except for the first 5 years of his career) and an executive. In 1982, he joined Superior Oil which was bought by Mobil Oil. He worked for the Mobil Oil group in various countries for 22 years.

[128] During the period from December 7, 2000 to July 21, 2004, he was the president of the Appellant. Mr. McNamara reported to Mark A. Sikkel, who was the Vice President North America of EMPC for upstream activities, who himself reported to Mr. Longwell.

[129] Mr. McNamara oversaw the western Canadian operations, which include conventional oil and gas, various oil and gas fields from Fort Nelson (British Columbia) to southeast Saskatchewan, including the Frontier acreage in the Northwest Territories. The Appellant had also eastern operations. Mr. McNamara testified on the Appellant’s operations, to which I will refer later.

[130] According to Mr. McNamara, the key operating functions in Western and Northern Canada were kept with the Appellant. Further, according to Mr. McNamara, the drilling and well servicing was done by the Appellant while Mr. McNamara was in charge and was not done by IOL.

[131] Mr. McNamara explained EM Corp.’s business operations. ExxonMobil group business operations are divided as follows:

- Upstream activities: production of oil and gas, field or reservoir production, pump batteries and processing the raw oil and gas;

- Midstream activities: transport, pipelines, small gathering systems;

- Downstream activities: refineries and chemical.

[132] Mr. McNamara testified that he did not have a formal role in the Project. He understood the Project as being a feasibility study to assess the possibility of a pipeline from the ANS to the Lower-48, including routes selection, costs estimate on pipes, regulatory hurdles, environmental hurdles, engineering design (transportation and compressors), economic valuation, etc.

[133] During the 2000 to 2002 period, the Appellant was also involved in the Mackenzie Gas Project. That project was also a feasibility study for a pipeline from the Mackenzie Delta, going through the Mackenzie Valley to Edmonton.

[134] Between December 5, 2000, and June 15, 2001, Mr. McNamara had many discussions with Mr. Sikkel and Mr. Schilhab on the advantages and disadvantages of the assignment of EMPC’s interest in the Project to the Appellant. Mr. McNamara was of the view that an allocation based on the average estimated routes’ length was reasonable. They were all aware that an assignment agreement was being considered and drafted.

[135] Mr. McNamara testified on the endorsement process followed within the ExxonMobil group, which is quite a formal and lengthy process, which could take between 4 to 5 months. When inter-affiliate agreements like the PACA Agreement must be executed, various departments (tax, legal, commercial, treasury, risks, etc.) within the group must confirm acceptance of the agreement, both in Canada and in the USA in this particular case.

[136] According to Mr. McNamara, the Project was terminated in either late 2001 or early 2002. By October 9, 2001, the Feasibility Study showed that the Project was not economically feasible (Exhibit AR-1, Joint Book of Documents, tab 44). By January 24, 2002, conclusions were made to wind down the Project.

[137] Mr. McNamara testified that he really thought it was not the end of the Project, and that some day it would be revived, given work done on the Mackenzie Delta.

[138] Further, Mr. McNamara testified that the Feasibility Study Costs spent by the Appellant on the Project was within his authority.

4. Mr. Carruthers

1) Lay testimony:

[139] John Carruthers has a Bachelor of Commerce from the University of Calgary. From 1978 to 2024, he worked in the energy industry, starting at TransAlta (Calgary Power) and then at Dom Petroleum.

[140] In 1995, he was the Vice-President of the assets group at the TransCanada Pipeline, a pipeline operator, and then became the Vice-President of TransCanada Pipeline Ltd. Partnership, which partnership owns pipeline assets. During that time, he sat on the board of Foothills, a subsidiary of TCPL.

[141] Between 2000 and 2004, he worked for BP Canada (part of British Petroleum).

[142] In 2004, he joined Enbridge and remained there until 2017. At Enbridge, Mr. Carruthers was the Vice-President of Upstream Development and President of Northern Gateway Pipeline, an oil pipeline from Edmonton to Kitimat (BC). Mr. Carruthers also sat on the board of many pipelines in Alberta. He was involved on regulatory matters for the NEB.

[143] From 2018 to 2024, at SIDEV, he advised various federal government departments on energy, particularly on the Transmountain pipeline (from Edmonton to Burnaby). He also provided advice to the provincial government on liquefied natural gas (“LNG”) projects.

[144] Mr. Carruthers, as an employee of BP Canada, started to work on the Project in 2000 as the Program Manager for the Environmental, Regulatory and Land (“ERL”) program, as part of the Project Team, for both Canada and the USA. At this time, he was working from Calgary and Anchorage.

[145] Mr. Carruthers reported to the Management Committee, at Management Committee meetings which were held periodically, and not to BP Canada.

[146] According to Mr. Carruthers, the Project was to be assessed and developed by the three partners, namely BP Alaska, Phillips Alaska and EMPC, and their Canadian affiliates. Mr. Carruthers asserted that the Canadian entity chosen by BP Alaska to be assigned interest in the Project was BP Canada Energy Company.

[147] Mr. Carruthers testified that the Project entailed the evaluation of the costs and benefits associated with a pipeline from the ANS to markets in Western Canada and the Lower-48. More specifically, the Project Team was created to study the potential of developing a natural gas pipeline including a gas treating plant, compressor stations, and an NGL plant from Prudhoe Bay, Alaska to Chicago, Illinois.

[148] The responsibility of the ERL program team under the Project was to define the environmental, regulatory and land requirements, and begin the process of fulfilling those requirements in coordination with the Project Team’s commercial, legal and technical programs. On the Project, Mr. Carruthers’ responsibilities and his team were to progress a pipeline, prepare the NEB/FERC applications, complete environmental studies, deal with land issues, First Nations, other communities and private landowners, complete environmental requirements for the NEB/FERC, and deal with all regulatory matters for both Canada and the USA.

[149] The ERL program team was composed of 20 full-time members and 350 contractors during the peak period of July and August 2001. According to Mr. Carruthers, his team performed quite extensive work. They prepared a detailed document (included in the job books), which is a complete assessment of the Project made by the ERL team over the course of the Feasibility Study (Exhibit AR-1, Joint Book of Documents, tab 74, document entitled “Environmental Regulatory Land Program, Total Project Cost and Schedule, Current Status and Plan” dated February 2002). Mr. Carruthers testified that the ERL components of costs for the initial study phase amounted to 38 million USD.

[150] Mr. Carruthers’ team had prepared eight job books. Mr. Carruthers testified on various documents which were part of the job books (Exhibit AR-1, Joint Book of Documents, tabs 21, 27, 57, 53, 62, 64, 71, 72, 75, 81, 82, 83 and 161). According to Mr. Carruthers, all job books were issued to all parties to the Project, including Canadian affiliates (Exhibit AR-1, Joint Book of Documents, tab 87).

[151] Mr. Carruthers had significant interactions with other teams on the Project since very detailed technical and commercial information are needed for regulatory application process at the NEB/FERC. The NEB and FERC had extensive requirements for information: costs estimate, schedules of construction, safety, impact on communities, impact on environment, impact on First Nations, quality, financial capacity, etc. As indicated by Mr. Carruthers, if a certificate is issued by the NEB and FERC, this will cover not only the construction of the pipeline, but the operation of the pipeline for decades to come, as the NEB and FERC would regulate the pipeline throughout its lifespan.

[152] Mr. Carruthers testified that although the objective under the Project was to file regulatory applications with the NEB and FERC by the second half of 2001, the Project Team was not able to meet that deadline because information was missing, such as the selected route, further discussion with First Nations, complete economic information for tolls and tariffs, whether an open season will be held, and more clarity from governments. However, the ERL program team continued to work on filing preliminary regulatory applications (Exhibit AR-1, Joint Book of Documents, tab 40, Steering Committee meeting of September 12, 2001).

[153] The target for the Project Team was to build the pipeline in 2 years. The Project Team also discussed using simultaneous construction of the projected pipeline in Canada and in the USA.

[154] The Restart Manual for the Project dated March 14, 2002 (Exhibit AR-1, Joint Book of Documents, tab 81) and the Project Description – Land Work (Exhibit AR-1, Joint Book of Documents, tab 75), which are part of the job books, are key documents to look at to restart the program. At that time, there was still a lot of interest in ANS natural gas and to bring it to markets.

2) Expert Testimony:

[155] At the hearing, Mr. Carruthers also testified as an expert on pipeline project development and pipeline regulatory matters. Mr. Carruthers’ expert report dated January 7, 2025, was marked as Exhibit A-3 (Carruthers Expert Report”) and Mr. Carruthers’ rebuttal report dated February 6, 2025, was marked as Exhibit A‑6 (“Carruthers Rebuttal Report”). Further, a document entitled “Reasons for Decision from the NEB on TransCanada PipeLines Ltd.”, RH-4-2001 of June 2002 was marked as Exhibit A-9.

[156] Mr. Carruthers’ opinion on pipeline project development and pipeline regulatory matters was not undermined at trial, and I find his opinion was very convincing. I gave a lot of weight to his expert opinion, including his opinion on megaprojects, the gate decision process, and the NEB/FERC regulation process.

[157] According to Mr. Carruthers, back in 2000-2001 (and in the present), a project was considered a megaproject when it involved capital costs exceeding $1 billion. The Project qualifies as a megaproject, because the estimated capital costs exceeded 20 billion USD. Thus, the parties to the Project followed the megaproject gate decisions’ process.

5. Mr. Kubasek:

[158] Wayne Kubasek obtained a Bachelor of Science in Mechanical Engineering degree in 1971. He first started working in nuclear energy and later in 1979, he moved to Alberta to work in the oil and gas industry where he joined the Mobil Oil group. Mr. Kubasek retired in 2006. His professional experience mainly entails engineering feasibility studies (project engineering and design engineering).

[159] In 1991, he moved to Fairfax (Virginia) to work at Mobil Oil’s head office. At the end of 2000, he joined EM Corp. in Houston (Texas), as an employee of EM Canada. He became the Program Manager for the Northern Sector for the Project, which sector included the A to B pipeline (for both the Southern and Northern Routes), and a gas treating facility. Mr. Kubasek moved to Anchorage (Alaska) to perform his duties for the Project Team.

[160] He reported to the Management Committee for his work under the Project Agreement. He also reported to Mr. Schilhab of EMPC on an administrative basis. Mr. Kubasek attended some of the Management Committee meetings, but most of the reports and communication were done by email. He worked with Mr. Carruthers’ team more closely (the ERL program), because NEB regulatory applications have a lot of technical requirements, as well as details on land and environmental issues.

[161] Mr. Kubasek testified on the extent of the Project and the numerous job books prepared or commissioned by his team. Mr. Kubasek also testified on the Restart Manual (Exhibit AR-1, Joint Book of Documents, tab 81) which was commissioned by his team.

[162] Mr. Kubasek testified that he knew in the first quarter of 2002 that the Project would not go ahead, for both economic and political reasons.

[163] In September 2001, his team was halfway through the work under the Project. They had determined, inter alia, the size of the pipe and the location and number of compressor stations. However, detailed technical work had not been done.

[164] Mr. Kubasek and his team on the Project were involved in making reports to Mr. Longwell in respect of any updates for technical requirements. Moreover, Mr. Kubasek was involved in exchanging information with IOL for the Mackenzie Gas Project (Exhibit AR-1, Joint Book of Documents, tab 50).

[165] According to Mr. Kubasek, for the ExxonMobil group, the Northern Route was preferable because of IOL’s and the Appellant’s interest in the Mackenzie Delta. However, Phillips Alaska favoured the Southern Route because of political pressure, and BP Alaska was neutral on route selection, preferring whichever route had the best economic data.

[166] Mr. Kubasek left the Project at the end of March 2002 and went back to Calgary and was seconded to EMPC. He was never seconded to IOL.

[167] In 1998, before joining the Project, Mr. Kubasek was involved in the Mackenzie Gas Project. That project was to bring natural gas down from the Mackenzie Delta through the Mackenzie Valley in the Northwest Territories and into Edmonton. This project was smaller than the Project in the case at bar, given the smaller resources of natural gas in the Mackenzie Delta. The Mackenzie Gas Project was still ongoing in 2002.

6. Mr. Lamb:

[168] Marvin Earl Lamb joined Mobil Canada in December 1976 as an invoice processing clerk and held many positions over a 13-year period. In 1983, he completed his CMA certification, which is now the Certified Public Accountant (CPA) certification. In 1990, he became the manager of Income Tax Compliance for Mobil Canada. He completed his CICA in-depth tax courses around that time. In 1997, he became the head of tax for Mobil Canada and was in this role until the Merger. After the Merger, he was an employee of EMCP Partnership but never became an employee of IOL. However, he was seconded to IOL, resulting in him working for both IOL and ExxonMobil Canada.

[169] In 2000, Mr. Lamb was appointed Manager of tax for upstream operations (drilling and production operations, but not refineries, shipping or marketing) for EM Canada and IOL. In December 2001, Mr. Lamb was promoted to Director of Corporate Tax for Canada for EM Canada, IOL, and all upstream, downstream, and chemical operations. Mr. Lamb was the head of tax for Canada until he retired in 2018.

[170] After the Merger, he spent a lot of time determining the best way to handle the Canadian operations due to the following structures being in place: (i) Mobil Canada structure being wholly owned by Mobil Corporation in the USA; and (ii) the IOL structure, which was owned at 69.6% by Exxon Corporation, and the balance by the public. According to Mr. Lamb, these two structures never merged and were kept separate up to this day.

[171] Mr. Lamb testified that at the time of the Merger, there was not a lot of trust between Mobil group and IOL, who where previously competitors. Mobil was not strong in Western Canada, but was strong in the east, whereas IOL was strong in Western Canada.

[172] In 2000-2002, IOL did not operate any pipelines owned by Mobil group. For example, the Maritimes & Northeast pipeline was operated by the same group.

[173] Mr. Lamb testified that he did not have a formal role in the Project. However, because he was the head of tax in Canada for the ExxonMobil group, he provided tax services regarding all operations of ExxonMobil in Canada.

[174] He asserts that discussions within the ExxonMobil group started in January 2001 as to the best way to handle the Canadian segment of the pipeline. Referring to a former draft of the PACA Agreement, Mr. Lamb recommended that US services contractors be contracted by EMPC, and Canadian services contractors by the Appellant (Exhibit AR-1, Joint Book of Documents, tab 160). The purpose was for EMPC to avoid having a permanent establishment in Canada and for the Appellant having a permanent establishment in the USA.

[175] From the ExxonMobil group perspective, there is a very rigorous mechanism put in place for endorsements when agreements like the PACA Agreement are concluded. All departments within the ExxonMobil group, including tax, controller, law, and treasurers must sign off on them. In respect of the PACA Agreement, both Canada and the USA must approve before being executed by the management.

E. PRELIMINARY MATTERS

I. Upstream Services Agreement (Exhibit A-2): objection by the Respondent

[176] The Respondent objected to the admissibility of an agreement entitled “Upstream Services Agreement” between IOL and Mobil Canada (after the Merger, EM Canada) (including their respective subsidiaries), with an effective date from November 15, 2000 to December 31, 2003, and to any testimony made in that regard. I will refer to this agreement as the “Original Services Agreement”.

[177] Another agreement between IOL and EM Canada (including their respective subsidiaries) dealing with services of a similar nature as provided for under the Original Services Agreement is the “Amended and Restated Upstream Services Agreement”. This document is part of the Joint Book of Documents (Exhibit AR‑1, Joint Book of Documents, tab 12) and was adduced in evidence. This agreement has an effective date from November 15, 2000 to December 31, 2006, and was signed by the parties in April 2005. I will refer to this agreement as the “Amended Services Agreement”.

[178] The Respondent argues that they were not provided with the Original Services Agreement at the discovery stage and consequently, it should not be admitted by the Court.

[179] To support their position, the Respondent relied on section 98 of the Tax Court of Canada Rules (General Procedure) (the “Rules”).

[180] At the hearing, I took the objection under reserve.

[181] For the following reasons, the Respondent’s objection is overruled. The Original Services Agreement filed under Exhibit A-2 shall be part of the record. Further, the testimony of Mr. Lamb regarding the Original Services Agreement is admitted.

1. The Rules and Applicable Principles

[182] Section 98 of the Rules states:

98(1) Where a party has been examined for discovery or a person has been examined for discovery on behalf or in place of, or in addition to the party, and the party subsequently discovers that the answer to a question on the examination,

(a) was incorrect or incomplete when made, or

(b) is no longer correct and complete,

the party shall forthwith provide the information in writing to every other party.

(2) Where a party provides information in writing under subsection (1),

(a) the adverse party may require that the information be verified by affidavit of the party or be the subject of further examination for discovery, and

(b) the writing may be treated at a hearing as if it formed part of the original examination of the person examined.

(3) Where a party has failed to comply with subsection (1) or a requirement under paragraph (2)(a), and the information subsequently discovered is,

(a) favourable to that party’s case, the party may not introduce the information at the hearing, except with leave of the judge, or

(b) not favourable to that party’s case, the Court may give such direction as is just.

98(1) La partie interrogée au préalable, ou la personne qui l’est au nom, à la place ou en plus de cette partie, qui découvre ultérieurement qu’une réponse à une question de l’interrogatoire :

a) était inexacte ou incomplète;

b) n’est plus exacte et complète,

doit fournir immédiatement ce renseignement par écrit à toutes les autres parties.

(2) Si une partie fournit un renseignement par écrit en application du paragraphe (1) :

a) une partie opposée peut exiger qu’il soit appuyé d’une déclaration sous serment ou qu’il fasse l’objet d’un nouvel interrogatoire préalable;

b) ce renseignement peut être traité lors d’une audience comme s’il faisait partie de l’interrogatoire initial de la personne interrogée.

(3) Si une partie ne se conforme pas au paragraphe (1) ou à l’alinéa (2)a) et que le renseignement obtenu ultérieurement est :

a) favorable à sa cause, elle ne peut le présenter en preuve à l’instance qu’avec l’autorisation du juge;

b) défavorable à sa cause, la Cour peut rendre des directives appropriées.

[183] The purpose of examination for discovery is to render the trial process more fair and more efficient by allowing each party to fully know before trial the positions of each party to define the issues between them (Canada v. Lehigh Cement Limited, 2011 FCA 120 at para 30, citing Montana Band v. Canada (T.D.), [2000] 1 F.C. 267). Trial by ambush is no longer allowed in Canada.

[184] Section 98 of the Rules was enacted to codify these obligations and specifically provides that these are continuous disclosure obligations. Upon becoming aware that an answer was incomplete, a party has an obligation to provide the information forthwith to every other party. As provided in paragraph 98(3)(a) of the Rules, where a party fails to follow the Rules, that party may not introduce the favourable information at the hearing, except with leave of the Court.

2. Evidence at the hearing

[185] According to Mr. McNamara, the Amended Services Agreement was not the agreement in place when he was the president of the Appellant from 2000 to 2005.

[186] Mr. McNamara testified that after the Merger was announced, Exxon and Mobil Corporation looked at ways to combine operations in Canada, using IOL as IOL was owned by Exxon (69.6%). However, after several months of examination, they decided to keep operations separated in Canada, both in the west and in the east of Canada and only merged the business support services (e.g. tax, legal, accounting, procurement, human resources, etc.) which became the “Upstream Business Services Group”.

[187] The Upstream Business Services Group provided services to the ExxonMobil group (including IOL) both in the west and in the east of Canada. According to Mr. McNamara, IOL was only providing upstream business services (e.g. tax, legal, accounting, procurement, human resources, etc.) to the ExxonMobil group of companies (including the Appellant).

[188] More specifically, Mr. McNamara testified that clause 3.1(C) of the Amended Services Agreement stating that IOL will provide production services to EM Canada (except South Saskatchewan Pipeline Co.) in Western Canada – including technical, engineering, geoscience and production operations – was not in place when he was the president of the Appellant. During that period, according to Mr. McNamara, the Appellant was in charge of all western operations, and it was only in 2004 or in 2005 that operations started to be merged with IOL.

[189] Mr. McNamara specifically stated that under the Original Services Agreement, the key operating functions for western and northern Canada were still the Appellant, except for the business support services.

[190] Mr. McNamara also specifically stated that when he was the president of the Appellant, the Appellant did the drilling and well servicing for IOL, and not the other way around as stated in clause 3.1(D) of the Amended Services Agreement.

[191] Furthermore, Mr. McNamara testified that all services listed in clause 3.1(D) of the Amended Services Agreement were done by the Appellant, as the Appellant had its own safety health department, planning department, OBO services department, etc.

[192] However, Mr. McNamara did not testify about the Original Services Agreement at the hearing, as that document was found by the Appellant after Mr. McNamara’s testimony was completed.

[193] Mr. Lamb, who appeared later, testified about the Original Services Agreement.

[194] According to Mr. Lamb, the Amended Services Agreement was not the agreement in place during the 2000 to 2002 period, as another agreement was in place between IOL and the ExxonMobil group of companies during that period.

[195] However, Mr. McMahon, who was the nominee for the Appellant during discovery process, had indicated that the Amended Services Agreement was the agreement in place during the period from 2000 to 2002. Further, he had specifically indicated at discovery that IOL was the operating manager of various pipelines in Canada.

[196] According to Mr. McMahon, after the Merger, there was a transition period to combine the operations of IOL and Mobil Canada. To achieve synergies, the upstream operations of both organizations were centralized in IOL. Mr. McMahon attached the Amended Services Agreement to his answers at discovery. Mr. McMahon also indicated in discovery that the Appellant was the corporate entity responsible for Mobil Canada’s western operations and was a fully integrated producer of oil and natural gas, and that transitioned to IOL as operations became centralized, as indicated before.

[197] Mr. McNamara did not however agree with the timing of Mr. McMahon’s answers and indicated that the Amended Services Agreement was signed sometime around 2005. Mr. McMahon did not testify about the Original Services Agreement as this agreement was brought up later during the trial.

3. Positions of the parties

[198] According to the Respondent, it would be unfair to the Crown for the Court to allow the Appellant to adduce in evidence the Original Services Agreement because the Respondent had no opportunity to ask Mr. McMahon to correct his evidence before the Court. Further, the Original Services Agreement was not on the Appellant’s list of documents and is unreliable as it seems to narrow services provided by IOL to the ExxonMobil group of companies. Moreover, the Court should consider that the Amended Services Agreement has an effective date from November 15, 2000.

[199] The Respondent relied on the principles from Rudolph v. The King, 2024 TCC 148 [Rudolph] on the application of section 98 of the Rules to support their position.

[200] According to the Appellant, the present case can be distinguished from the circumstances in Rudolph, where the Court clearly found that the search efforts were not made until the eve of the trial, and that it was not a situation where the information came to light late in the game.

[201] In 2019 and 2020, Mr. McMahon was chosen to be the deponent for the Appellant, a corporate entity. He was chosen because he was the best person to represent the Appellant. When discoveries were made, they were looking to find a document that is more than 20 years old. Mr. McMahon deponed that IOL was the operating manager for Western Canada, but he also indicated that there was a transition phase after the Merger.

[202] Mr. McMahon, who was the first witness heard by the Court, testified that the Amended Services Agreement was the agreement in place during the relevant period from 2000 to 2002. However, when Mr. McNamara testified on April 15, 2025, as the third witness heard at trial, he stated that the Amended Services Agreement was not the agreement in place when he was the president of the Appellant.

[203] After the first part of the hearing ended, the Appellant went looking for the document described by Mr. McNamara in his testimony. On May 16, 2025, ten days before the trial resumed, Counsel for the Appellant notified the Respondent that they intended to adduce in evidence the Original Services Agreement and provided a copy of the agreement.

[204] On May 27, 2025, Mr. Lamb testified with respect to the Original Services Agreement.

[205] According to Counsel for the Appellant, until Mr. McNamara testified at the hearing on April 15, 2025, they were not aware of the existence of the Original Services Agreement.

[206] Further, the Appellant submits that the Respondent could have called Mr. McMahon to the stand to explain his testimony. There is no prejudice to the Respondent in this case.

4. Analysis

[207] I agree with the Appellant, and the objection is overruled.

[208] I find that the Appellant took the corrective measures required by subsection 98(1) of the Rules and provided updated information and complete information in writing as soon as the information came to light of the existence of the Original Services Agreement. The Appellant provided the updated information to the Respondent soon after Mr. McNamara testified that the Amended Services Agreement was not the agreement in place during the period he was president of the Appellant, as the Appellant was involved in operations in Western Canada, and not IOL.

[209] In the case at bar, I find that this is a situation where the information came to light late in the game, which facts are different than in Rudolph. Further, the Appellant provided the information to the Respondent as soon as it was clear that the Amended Services Agreement was not the agreement in place during the relevant period, and as soon as the Original Services Agreement was finally retraced. The Appellant then took the proper corrective measures required by subsection 98(1) of the Rules.

[210] I also considered the fact that this document is more than 20 years old. I do not find that this is a situation where the search efforts were not made until the eve of the trial, as it is likely that the Appellant’s deponent, Mr. McMahon, was not aware of the existence of the Original Services Agreement.

[211] Moreover, I do not find that there is any unfairness or injustice by admitting the document as the Respondent could have asked for leave of the Court to either further examine Mr. McMahon, for Mr. McMahon to testify in Court or for an affidavit from Mr. McMahon, which the Respondent did not.

[212] Finally, I find that to admit the Original Services Agreement and the testimony of Mr. Lamb on this agreement does not go against the interest of justice.

II. Non-Suit Motion by the Appellant

[213] After the close of the Respondent’s evidence, the Appellant requested that the Court issue summary judgment (non-suit) relief, allowing the appeal of the reassessment at issue (and allowing the deductibility of the Feasibility Study Costs), and vacating the Part XIII Tax Assessment, with costs.

[214] According to the Appellant, this request should be granted because the Appellant has demolished the Minister’s assumptions, the Appellant had established its case in full on a balance of probabilities (i.e., the prima facie case) and the Respondent had called no evidence to establish the correctness of the Minister’s assessing position as it relates to the issues raised in this Appeal.

[215] However, the Respondent argues that the Rules do not provide for summary judgment. Therefore, it is not available to this Court to issue a summary judgment in the present case. The Court could only issue summary judgment in the circumstances described in section 170.1 of the Rules, namely judgment in respect of matters of admissions or certain documentary evidence, which relief should be brought before trial (Keenan v. R., 2019 TCC 259, at para 8).

[216] Further, according to the Respondent, the Appellant’s request for non-suit should be denied as the Appellant chose to present its case first and spent over four weeks adducing evidence from several lay and expert witnesses to meet its case.

[217] For the following reasons, the Appellant’s request for a summary judgment and non-suit relief is denied.

[218] In the present case, the onus (the persuasive burden) was on the Appellant to establish, on a balance of probabilities, the facts that would demolish the Minister’s assumptions.

[219] As indicated by the Federal Court of Appeal in European Staffing Inc. v. Canada (National Revenue), 2020 FCA 219:

[15] In order to demolish the Minister’s assumptions, the taxpayer must “ […] establish facts upon which it can be affirmatively asserted that the assessment was not authorized by the taxing statute, or which bring the matter into such a state of doubt that, on the principles alluded to, the liability of the appellant must be negatived” (Hickman Motors Ltd. v. Canada, [1997] 2 S.C.R. 336). Thus, the onus is on the taxpayer to establish, on a balance of probabilities, the facts that demolish the Minister’s assumptions (Sarmadi v. Canada, 2017 FCA 131 at para. 46; Eisbrenner v. Canada, 2020 FCA 93 at paras. 24-52; Van Steenis v. Canada, 2019 FCA 107 at para. 13; see also F.H. v. McDougall, 2008 SCC 53, [2008] 3 S.C.R. 41).

[Emphasis added.]

[220] However, this rule does not apply to facts that are exclusively or peculiarly within the knowledge of the Minister, because the Respondent will then have the onus to prove these facts, on a balance of probabilities (R. v. Anchor Pointe Energy Ltd., 2007 FCA 188, at para 36).

[221] Where assumptions of facts are within the knowledge of the taxpayer, the Minister will not have any onus to meet, because either the evidence proves the facts, on a balance of probabilities, or it does not. However, the Minister may still decide to lead evidence.

[222] As indicated by this Court in Morrison v. The Queen, 2018 TCC 220 [Morrison] (aff’d in Eisbrenner v. Canada, 2020 FCA 93):

[110] …. If the taxpayer presents a strong case that on its face meets the persuasive burden, the Minister is faced with the tactical decision whether to lead evidence as part of the Minister’s case (i.e., lead evidence that is in addition to the evidence already on the record at the conclusion of the taxpayer’s case, which would include evidence obtained through cross-examination of the taxpayer’s witnesses). The burden on the Minister to tender evidence in this circumstance is a tactical burden only; the persuasive burden in respect of the correctness of the assessment of tax remains with the taxpayer.

[223] In Caroni v. The King, 2025 TCC 101 [Caroni], the Court thoroughly reviewed the applicable principles for non-suit motions, and indicated that:

[107] The test on a non-suit is not whether the party bearing the onus has failed to prove its case on a balance of probability, but rather whether the party with that burden has led any evidence which supports that party’s case. A party who moves a non-suit is arguing that the opposing party has not met this evidential burden.

[108] In response, the party bearing an evidential burden must be able to point to evidence of the existence or non-existence of a given fact or issue to allow that factual question to be considered by the trier of fact.

[109] The evidential burden is not about weighing evidence or determining facts. The party with an evidential burden is not required to convince the trier of fact of anything, but only to point out evidence which suggests that certain facts existed. The Court considers, as a legal question and not as a factual question, whether sufficient evidence exists to satisfy the evidential burden. In civil proceedings, such as negligence, (and I think by analogy, in tax cases too), the party alleging something must,

“…adduce sufficient evidence of the defendant’s negligence to overcome a motion for non-suit”. Finally, and to be clear, “the discharge of an evidential burden proves nothing - it merely raises an issue”.

[110] By contrast, the persuasive burden is the burden to prove one’s case beyond a reasonable doubt or on a balance of probabilities depending on the type of case. The persuasive burden raises a question of fact, not law. This requires weighing the evidence, drawing inferences and making findings of fact.

[224] As indicated in Morrison, there are only two burdens recognized under Canadian law, namely, the burden of proof (or persuasive burden), which is a question of fact, and the evidential burden (whether an issue should be left to the trier of fact), which is a matter of law (Morrison, at para 72). Further, the civil standard of proof is always on a balance of probabilities (Morrison, at para 74).

[225] In Morrison, the Court explained the difference between an evidential burden and a persuasive burden as follows:

[73] A party with an evidential burden has the responsibility to ensure there is sufficient evidence of the existence or non-existence of a particular fact or issue to pass the threshold test for that particular fact or issue but is not required to actually prove anything. Whether an evidential burden is met is a question of law determined by the trial judge. Common examples of when an evidential burden must be met are by the plaintiff on a motion by the defendant for non-suit, by the Crown in a motion by the accused for a directed verdict and by the accused in order to place certain positive defences before the trier of fact.

[74] A party with a persuasive burden must prove the facts material to the issue(s) in question to the civil or criminal standard of proof. ….

[226] In its additional submissions filed at my request after the release of Caroni, the Appellant asserted that the Respondent bears the evidential burden to rebut the prima facie case brought by the Appellant and bears the evidential burden to prove the assumptions of facts that are not within the Appellant’s knowledge.

[227] I do not agree with the Appellant. In this case, the Respondent does not bear any burden, i.e. persuasive or evidential, but only a “tactical burden”, namely the decision on whether to lead evidence or not.

[228] There were no assumptions of facts in the Reply for which the Respondent bears any evidential burden. Further, there were no assumptions entirely within the Minister’s knowledge for which the Respondent would bear the onus of proof (persuasive burden).

[229] I find that the Appellant bears the persuasive burden, namely, the Appellant bears the onus to prove, on a balance of probabilities, the facts which would demolish the assumptions of facts relied upon by the Minister to assess or reassess the Appellant.

[230] As indicated in Caroni, a non-suit motion is not a request to weigh in the evidence, but an “assertion that the opposing party has failed to lead any evidence on one or more of the constituent elements of the case” (at para 111).

[231] The Appellant’s position would first require me to find that the Appellant met this burden and demolished the Minister’s assumptions. It would next require a finding that the Respondent has not raised evidence rebutting the Appellant’s evidence. In other words, it would require me to weigh on the evidence, which is not the purpose of a non-suit motion.

[232] Additionally, the Reply contains numerous assumptions which were disguised as assumptions of facts but were simply arguments raised by the Respondent. For arguments, although improperly framed as assumptions, I find that the Respondent does not bear any evidential burden.

[233] Further, I find that for each of the issues under appeal, the Respondent presented sufficient evidence to the Court. The Respondent led evidence into the trial record through the introduction of the Partial Agreed Statement of Facts, the Joint Book of Documents (in eight volumes), expert witness reports and other documents. Further, the Respondent led evidence with the cross-examination of the Appellant’s witnesses.

[234] In the case at bar, I find that both parties led sufficient evidence to allow the pleaded issues to be considered by me.

[235] Moreover, as indicated by this Court in Caroni, non-suit motions should rarely, if ever, be entertained in this Court (Caroni, at para 130). I agree with this conclusion.

[236] I also find that a non-suit motion should not be entertained after the close of evidence of all parties. At that point, there is no time saved for the Court and no value brought by a non-suit motion. The Court should then proceed to decide the case on its merit, and weigh in all evidence adduced at trial.

III. Read-ins

[237] Pursuant to section 100 of the Rules, after the Appellant adduced all its other evidence in chief, the Appellant filed with the Court copies of the relevant excerpts from the transcripts of the examination for discovery of the Respondent’s nominee, subsequent answers to undertakings and follow-up questions, as well as three responses to requests to admit, which were marked as Exhibit A-21 (2 volumes).

[238] The Respondent objected to several of the Appellant’s read-ins. Furthermore, the Respondent asked for leave to file contextual read-ins (Exhibit R‑24), which the Appellant did not oppose.

[239] Analysis regarding the read-ins is in Appendix E attached to these Reasons for Judgment.

F. ANALYSIS

I. Subparagraph 152(4)(b)(iii): Statute-barred issue

[240] In the case at bar, the Minister relied on subparagraph 152(4)(b)(iii) to raise the 2009 Reassessment (as defined below) by which the Minister denied the deductibility of the Feasibility Study Costs applying the limitations of paragraph 18(1)(a) (and, as an alternative, the transfer pricing provisions), on the basis that the reassessment was made as a consequence of a transaction involving the Appellant and a non-resident person with whom the Appellant was not dealing at arm’s length, that is EM Corp.

1. The Law

[241] The relevant provisions of the Act are paragraph 152(3.1)(a) as well as subparagraphs 152(4)(b)(iii) and 152(4.01)(b)(iii), as they read in 2001.

152(3.1) For the purposes of subsections (4), (4.01), (4.2), (4.3), (4.31), (5) and (9), the normal reassessment period for a taxpayer in respect of a taxation year is

(a) if at the end of the year the taxpayer is a mutual fund trust or a corporation other than a Canadian-controlled private corporation, the period that ends 4 years after the earlier of the day of mailing of a notice of an original assessment under this Part in respect of the taxpayer for the year and the day of mailing of an original notification that no tax is payable by the taxpayer for the year; …

152(4) The Minister may at any time make an assessment, reassessment or additional assessment of tax for a taxation year, … except that an assessment, reassessment or additional assessment may be made after the taxpayer’s normal reassessment period in respect of the year only if

(b) the assessment, reassessment or additional assessment is made before the day that is 3 years after the end of the normal reassessment period for the taxpayer in respect of the year and

(iii) is made as a consequence of a transaction involving the taxpayer and a non-resident person with whom the taxpayer was not dealing at arm’s length,

152(4.01) Notwithstanding subsections (4) and (5), an assessment, reassessment or additional assessment to which any of paragraphs (4)(a) or 4(b) applies in respect of a taxpayer for a taxation year may be made after the taxpayer’s normal reassessment period in respect of the year to the extent that, but only to the extent that, it can reasonably be regarded as relating to,

(b) where paragraph (4)(b) applies to the assessment, reassessment or additional assessment,

(iii) the transaction referred to in subparagraph (4)(b)(iii)…

152(3.1) Pour l’application des paragraphes (4), (4.01), (4.2), (4.3), (4.31), (5) et (9), la période normale de nouvelle cotisation applicable à un contribuable pour une année d’imposition s’étend sur les périodes suivantes:

a) quatre ans suivant soit le jour de mise à la poste d’un avis de première cotisation en vertu de la présente partie le concernant pour l’année, soit, s’il est antérieur, le jour de mise à la poste d’une première notification portant qu’aucun impôt n’est payable par lui pour l’année, si, à la fin de l’année, le contribuable est une fiducie de fonds commun de placement ou une société autre qu’une société privée sous contrôle canadien;

152(4) Le ministre peut établir une cotisation, une nouvelle cotisation ou une cotisation supplémentaire concernant l’impôt pour une année d’imposition... Pareille cotisation ne peut être établie après l’expiration de la période normale de nouvelle cotisation applicable au contribuable pour l’année que dans les cas suivants:

b) la cotisation est établie avant le jour qui suit de trois ans la fin de la période normale de nouvelle cotisation applicable au contribuable pour l’année et, selon le cas:

(iii) est établie par suite de la conclusion d’une opération entre le contribuable et une personne non résidente avec laquelle il avait un lien de dépendance,

152(4.01) Malgré les paragraphes (4) et (5), la cotisation, la nouvelle cotisation ou la cotisation supplémentaire à laquelle s’appliquent les alinéas (4)a) ou b) relativement à un contribuable pour une année d’imposition ne peut être établie après l’expiration de la période normale de nouvelle cotisation applicable au contribuable pour l’année que dans la mesure où il est raisonnable de considérer qu’elle se rapport à l’un des éléments suivants :

b) en cas d’application de l’alinéa (4)b),

(iii) l’opération visée au sous-alinéa (4)b)(iii)…

[Emphasis added.]

2. The Agreed Facts

[242] The following facts dealing with the assessing chronology are not contested by the parties:

- The Minister initially assessed the Appellant for the 2001 Taxation Year on October 11, 2002.

- On September 18, 2006, the Minister received a waiver in respect of the Appellant’s normal reassessment period. The waiver was in respect of the Minister’s proposal to reassess the 2001 Taxation Year of the Appellant to disallow the claimed deduction of $36,208,810 in respect of the Feasibility Study Costs and to assess Part XIII tax in respect of a deemed payment to a non-resident of an amount equal to the disallowed deduction. The waiver was revoked on September 29, 2006.

- On October 2, 2006, the Minister reassessed the Appellant’s 2001 Taxation Year (the “2006 Reassessment”). The 2006 Reassessment did not include adjustments in respect of the Feasibility Study Costs deducted.

- On October 9, 2009, the Minister reassessed the Appellant’s 2001 Taxation Year to disallow the deduction claimed in respect of the Feasibility Study Costs (the “2009 Reassessment”), relying on the limitations found in paragraph 18(1)(a) and alternatively, on the transfer pricing provisions.

- On December 8, 2009, the Appellant objected to the 2009 Reassessment.

- On January 8, 2010, the Minister raised an additional assessment for Part XIII tax in the amount of $1,810,391, computed with reference to the disallowed Feasibility Study Costs deduction, which is the Part XIII Tax Assessment.

- On February 11, 2010, the Appellant objected to the Part XIII Tax Assessment.

- On October 5, 2017, the Minister reassessed the Appellant’s 2001 Taxation Year to confirm the disallowance of the deduction claimed in respect of the Feasibility Study Costs (the “Final Reassessment”).

[243] Furthermore, the parties are not disputing the following conclusions:

- EM Corp. is a corporation resident of the USA and a non-resident of Canada;

- The Appellant is not a Canadian-controlled private corporation; and

- The Appellant and EM Corp. are related to each other, and they are not dealing with each other at arm’s length.

3. Positions of the Parties

1) The Appellant:

[244] According to the Appellant, subparagraph 152(4)(b)(iii) provides for a three-year extension after the end of the normal reassessment period only if the reassessment is made as a consequence of a transaction involving the taxpayer and a non-resident person with whom the taxpayer was not dealing at arm’s length and is made as a consequence of a transaction to which section 247 applies. Therefore, in the Appellant’s view, the Minister was statute-barred from relying on paragraph 18(1)(a) to disallow the deduction of the Feasibility Study Costs. However, the Appellant is not asserting that the Minister was statute-barred from raising an assessment which applies the transfer pricing provisions found in section 247.

[245] The Appellant relies on an amendment to subparagraph 152(4)(b)(iii) enacted in 2021 to support this position.

2) The Respondent:

[246] According to the Respondent, the 2009 Reassessment was validly made two days before the expiry of the seven-year deadline provided in subparagraph 152(4)(b)(iii). To support this position, the Respondent argues that subparagraph 152(4)(b)(iii) is not restricted to transfer pricing adjustments, and the extended reassessment period is available to the Minister to adjust the Appellant’s income under section 9 and paragraph 18(1)(a).

[247] According to the Respondent, the Appellant incurred the Feasibility Study Costs because of the PACA Agreement, which is a transaction involving the Appellant and a non-resident person, EM Corp. (through EMPC) with whom the Appellant does not deal at arm’s length. It is the Respondent’s position that the Feasibility Study Costs were not incurred by the Appellant under the Project Agreement.

[248] Consequently, according to the Respondent, the reassessment period for the Appellant’s 2001 Taxation Year was properly extended for an additional three (3) years after the end of the normal reassessment period under subparagraph 152(4)(b)(iii).

4. Analysis

[249] For the following reasons, I agree with the Respondent and I find that the 2009 Reassessment was validly made by the Minister pursuant to subparagraph 152(4)(b)(iii) because it was made as a consequence of a transaction, being the PACA Agreement, involving the Appellant and a non-resident person with whom the Appellant was not dealing at arm’s length, being EM Corp., and the 2009 Reassessment reasonably relates to that transaction.

[250] Further, I do not agree with the Appellant that the extended reassessment period provided by subparagraph 152(4)(b)(iii) only applies to transactions to which section 247 applies. The Minister was not statute-barred from raising the 2009 Reassessment relying on the limitations in paragraph 18(1)(a).

[251] Subsection 152(4) provides the Minister with authority to reassess a corporation at any time within the normal reassessment period. Paragraph 152(3.1)(a) provides that the “normal reassessment period” for a corporation that is not a “Canadian controlled private corporation” is four (4) years after the day of mailing of a notice of an original assessment. The reassessment period is extended for a further three (3) years after the end of the normal reassessment period if one of the requirements listed under paragraph 152(4)(b) is met. As indicated above, the Minister relied on subparagraph 152(4)(b)(iii) to make the 2009 Reassessment.

[252] In the case at bar, as the original notice of assessment for the 2001 Taxation Year was mailed on October 11, 2002, the normal reassessment period for the 2001 Taxation Year as provided in paragraph 152(3.1)(a) ended on October 11, 2006. As indicated above, the 2009 Reassessment was mailed on October 9, 2009, that is more than four years after the mailing of the notice of an original assessment for that year.

[253] However, as I will explain below, the 2009 Reassessment was validly made by the Minister as the reassessment period was extended by an additional three (3) years after the end of the normal reassessment period under subparagraph 152(4)(b)(iii) to October 13, 2009 (due to the Thanksgiving holiday). The 2009 Reassessment was mailed four (4) days before the expiry of the extended reassessment period.

1) Amendments to subparagraph 152(4)(b)(iii) in the 2019 Federal Budget:

[254] Regardless of the case law which has held that the term “transaction” as found in the applicable version of subparagraph 152(4)(b)(iii) is not limited to a transaction to which section 247 applies (e.g. Labow v. R., 2010 TCC 408, para 46, aff’d in Labow v. Canada, 2011 FCA 305), the Appellant argues that subsequent amendments to that subparagraph provide a clarification to the contrary.

[255] Subparagraph 152(4)(b)(iii) was amended to provide that the term “transaction” must be read as that term is defined in subsection 247(1). Subparagraph 152(4)(b)(iii) currently reads as follows:

152(4) The Minister may at any time make an assessment, reassessment or additional assessment of tax for a taxation year … except that an assessment, reassessment or additional assessment may be made after the taxpayer’s normal reassessment period in respect of the year only if

(b) the assessment, reassessment or additional assessment is made before the day that is 3 years after the end of the normal reassessment period for the taxpayer in respect of the year and

(iii) is made

(A) as a consequence of a transaction (as defined in subsection 247(1)) involving the taxpayer and a non-resident person with whom the taxpayer was not dealing at arm’s length, or

(B) in respect of any income, loss or other amount in relation to a foreign affiliate of the taxpayer,

152(4) Le ministre peut établir une cotisation, une nouvelle cotisation ou une cotisation supplémentaire concernant l’impôt pour une année d’imposition, ainsi que les intérêts ou les pénalités, qui sont payables par un contribuable en vertu de la présente partie ou donner avis par écrit qu’aucun impôt n’est payable pour l’année à toute personne qui a produit une déclaration de revenu pour une année d’imposition. Pareille cotisation ne peut être établie après l’expiration de la période normale de nouvelle cotisation applicable au contribuable pour l’année que dans les cas suivants :

b) la cotisation est établie avant le jour qui suit de trois ans la fin de la période normale de nouvelle cotisation applicable au contribuable pour l’année et, selon le cas :

(iii) est établie, selon le cas :

(A) par suite de la conclusion d’une opération (au sens du paragraphe 247(1)) impliquant le contribuable et une personne non-résidente avec laquelle il avait un lien de dépendance,

(B) relativement à un revenu, une perte ou un autre montant relatif à une société étrangère affiliée du contribuable,

[Emphasis added.]

[256] The amended version of clause 152(4)(b)(iii)(A) was introduced as part of the 2019 Federal Budget (Tax Measures, Supplementary Information). This amended version does not apply in this appeal, but only applies to taxation years of a taxpayer in respect of which the normal reassessment period ends after March 18, 2019 (Bill C-30, An Act to implement certain provisions of the budget tabled in Parliament on April 19, 2021, and other measures, 2nd sess., 43rd Parl., 2021, SC 2021, c. 23 (assented to June 29, 2021)).

[257] The Appellant submits that statutory amendments will either clarify or change the law, as “there is a presumption that amendments to the wording of a legislative provision are made for some intelligible purpose, such as to clarify the meaning, to correct a mistake, or to change the law...” (R. v. Ulybel Enterprises Ltd., 2001 SCC 56, at para 34).

[258] Furthermore, the Appellant referred to the following excerpts of the 2019 Federal Budget to support its position that subparagraph 152(4)(b)(iii) applies only to transfer pricing adjustments:

An extended three-year reassessment period exists in respect of a reassessment made as a consequence of a transaction involving a taxpayer and a non-resident with whom the taxpayer does not deal at arm’s length. This is intended to apply in the transfer pricing context. However, the expanded definition of “transaction” used in the transfer pricing rules does not apply for the purposes of the rule establishing this extended reassessment period.

Budget 2019 proposes to amend the Income Tax Act to provide that the definition “transaction” used in the transfer pricing rules also be used for the purposes of the extended reassessment period relating to transactions involving a taxpayer and a non-resident with whom the taxpayer does not deal at arm’s length.

[Emphasis added.]

[259] I do not agree with the Appellant that subparagraph 152(4)(b)(iii) only applies to transfer pricing adjustments. On a plain reading, there is no requirement in either the amended or applicable version of subparagraph 152(4)(b)(iii) providing that section 247 must be applicable to a transaction for the extended reassessment period to apply. The provision was amended by the 2019 Federal Budget to clarify the meaning of the term “transaction”. The amendment simply adds the definition of the term “transaction” from subsection 247(1) for the purposes of clause 152(4)(b)(iii)(A).

[260] Subsection 247(1) states that a transaction includes an arrangement or event.” Therefore, an arrangement or an event is now considered a “transaction” for the purposes of the extended reassessment period. This Court had previously decided otherwise in Blackburn Radio Inc. v. R., 2009 TCC 155 [Blackburn Radio] (at paras 30 and 34) when considering the previous version of subparagraph 152(4)(b)(iii).

[261] In 2019, Parliament had the opportunity to introduce a restriction for clause 152(4)(b)(iii)(A) to apply only to transfer pricing adjustments, but it did not.

2) Transaction involving the Appellant and a non-resident person, and reassessment reasonably relating to that transaction:

[262] As mentioned above, I find that the 2009 Reassessment was made as a consequence of a transaction, being the PACA Agreement, involving the Appellant and a non-resident person with whom the Appellant was not dealing at arm’s length, being EM Corp., and that the 2009 Reassessment reasonably relates to that transaction.

[263] Firstly, it is not contested by the parties that the Appellant and EM Corp. are deemed not to deal at arm’s length with each other.

[264] Further, for the following reasons, I agree with the Respondent that the obligations for the Appellant to pay the Feasibility Study Costs arose as a consequence of the PACA Agreement, a transaction between the Appellant and EM Corp. (through EMPC), which I find is the transaction to be considered for purposes of subparagraph 152(4)(b)(iii).

[265] The term “transaction” as found in subparagraph 152(4)(b)(iii) “must be interpreted to include a transaction that the taxpayer alleges forms the factual foundation for a deduction claimed in an income tax return” (SMX Shopping Centre Ltd. v. Canada, 2003 FCA 479 [SMX Shopping Centre], at para 24).

[266] In Blackburn Radio, the Court relied on the definition of the term “transaction” found in the Canadian Oxford Dictionary:

35. There is no general definition of the word “transaction” in section 248 of the Act but it is defined in the Canadian Oxford Dictionary as follows:

1 a. a piece of esp. commercial business done; a deal (a profitable transaction).

c. the management of business etc.

[267] In Shaw-Almex Industries Limited v. R., 2009 TCC 538, the Court applied the definition of the word “transaction” as used in Blackburn Radio and found that the requirements of subparagraph 152(4)(b)(iii) were met.

[268] Applying the above principles, I find that the PACA Agreement is the factual foundation for the deduction of the Feasibility Study Costs. The Appellant would not have incurred the Feasibility Study Costs if it had not entered the PACA Agreement with EM Corp. The Appellant agreed to pay its proportionate share of the feasibility study costs incurred under the Project Agreement, because it entered into the PACA Agreement with EM Corp. The consideration paid (or obligations incurred) by the Appellant under the PACA Agreement included the obligation to pay for its proportionate share of expenses under the Project Agreement, as invoiced from time to time by KPMG. The payment of the Feasibility Study Costs is therefore the result of a “piece … of commercial business” or the “management of business” in which both the Appellant and EM Corp. were involved, that is the PACA Agreement.

[269] Although I agree that the Feasibility Study Costs represent 22.67% of the total feasibility study costs incurred under the Project Agreement, the transaction which forms the factual foundation for the deduction of the Feasibility Study Costs are not the contracts with various third-party service providers under the Project Agreement, but the PACA Agreement.

[270] Therefore, I find that the payment of the Feasibility Study Costs was part of a transaction involving EM Corp. (through EMPC) and the Appellant under the PACA Agreement which formed the factual foundation for the deduction claimed by the Appellant.

[271] Finally, according to subparagraph 152(4.01)(b)(iii), the reassessment can only be made to the extent that the reassessment may reasonably be regarded as relating to the transaction referred to in subparagraph 152(4)(b)(iii) (SMX Shopping Centre, at para 18). I find that the 2009 Reassessment, which denied the deductibility of the Feasibility Study Costs, may reasonably be regarded as relating to the PACA Agreement, as the Feasibility Study Costs were incurred as part of the obligations of the Appellant under the PACA Agreement.

[272] Accordingly, for these reasons, the 2009 Reassessment was validly made by the Minister.

II. Assignment

[273] Before discussing the tax issues any further, I must determine the legal consequences resulting from the assignment as provided under the PACA Agreement.

1. Positions of the Parties

[274] According to the Appellant, the Appellant became a party to the Project Agreement when entering into the PACA Agreement. The Appellant states that, by virtue of sections 10.4 and 10.5 of the Project Agreement, there is privity of contract between the Appellant and all parties to the Project Agreement. Therefore, the Appellant’s position is that it benefited from all the rights of the original parties to the Project Agreement, including the right to withdraw from the Project (under section 9.2).

[275] The Respondent is of the view that the Appellant did not become a party to the Project Agreement when it entered into the PACA Agreement. Both the Project Agreement and the PACA Agreement are governed by the laws of the State of Alaska. According to the Respondent, because the Appellant failed to adduce any evidence on the application of the laws of the State of Alaska, the Court is unable to interpret the contracts and answer that question. Further, the Respondent is of the view that a person cannot assign liabilities. Moreover, according to the Respondent, the evidence adduced at the hearing did not show that the Appellant became a party to the Project Agreement.

2. Analysis

[276] The Minister and the Respondent did not argue sham in this appeal. The Respondent specifically acknowledged that the PACA Agreement and the Project Agreement are valid agreements, and that the assignment contemplated by the PACA Agreement took place. Furthermore, the parties acknowledged that the PACA Agreement did not result in a novation of the Project Agreement, considering that BP Alaska and Phillips Alaska are not signatories to the PACA Agreement.

[277] For the following reasons, I find that the Court must assume that the laws of the State of Alaska are the same as the applicable Canadian laws. Therefore, the Court may answer the legal questions raised in this appeal.

[278] Furthermore, for the following reasons, because EMPC assigned 68% of its one-third Participating Interest in the Project Agreement to the Appellant under the PACA Agreement, and because both agreements are valid agreements, I find that the Appellant stepped into the shoes of EMPC with respect to the Project Agreement. Therefore, the Appellant had the ability to exercise EMPC’s contractual rights under the Project Agreement as an assignee of EMPC’s rights and benefits under the Project Agreement. I agree with the Appellant’s position that it benefited from all the rights of the original parties to the Project Agreement, including the right to withdraw from the Project (under section 9.2).

[279] However, I do not agree with the Appellant that there was privity of contract between BP Alaska and Phillips Alaska on one hand, and the Appellant on the other hand, because no contract existed between BP Alaska, Phillips Alaska and the Appellant. Privity of contract exists only between EMPC, BP Alaska and Phillips Alaska. It is not sufficient that the Project Agreement allows for an assignment to affiliates, in order to create privity of contract between such an affiliate and the original parties to the Project Agreement.

[280] The Appellant was not a party to the Project Agreement, but it obtained all contractual rights that EMPC had under the Project Agreement as an assignee of EMPC’s rights and benefits under the Project Agreement.

[281] In addition, as showed below, the evidence showed that the Appellant became a participant under the Project.

1) Lex fori:

[282] Because the laws of the State of Alaska have not been pleaded or proven in this appeal, the Court must assume that the laws of the State of Alaska are the same as the laws of the forum (lex fori), namely Canadian laws, and more particularly, the laws of Alberta.

[283] This principle was applied in the decision of The Ship "Mercury Bell" v. Amosin, [1986] 3 F.C. 454 (F.C.A.), where the Federal Court of Appeal stated:

If the parties, willfully or inadvertently, fail to bring expert evidence of the foreign law, the court will act as if the foreign law is the same as its own law, it will apply the lex fori. This rule is peculiar to English law. (p.460)

[284] The Federal Court of Appeal applied that principle in Backman v. Canada, 1999 CanLII 9371 (FCA), [2000] 1 FC 555 (upheld by the Supreme Court in Backman v. Canada, 2001 SCC 10), to determine whether a partnership was created under the laws of the State of Texas. The Federal Court of Appeal concluded that that principle was also applicable when the issue raises the application of statutory laws of general application. In that case, in the absence of evidence proving the foreign law, the Federal Court of Appeal applied the law of the lex fori, and more particularly, the Alberta Partnership Act.

2) Assignment under the PACA Agreement:

[285] Because the assignment under the PACA Agreement is a partial assignment of rights (only 68% of the interest was assigned), it is therefore not an absolute assignment under section 20 of Alberta’s Judicature Act (RSA 2000, c. J-2) and would not be a legal assignment under that statute (see Parrish & Heimbecker Limited v. All Peace Auctions Ltd., 2001 ABQB 1104 at paras 61-66; and Bitz, Szemenyei, Ferguson & Mackenzie v. Cami Automotive Inc., 1997 CanLII 12172 (ON SC)). Regardless of there being no legal assignment under the PACA Agreement, it is possible that an assignment be recognized as an equitable assignment. I find that the assignment under the PACA Agreement is an equitable assignment, to which the following rules apply.

[286] An assignee under an equitable assignment is “bound by any of the equities to which the assigned chose was subject” (Fridman’s The Law of Contract, 7th Edition, pp. 891-892). The assignee’s substantive right is to enforce the original contractual obligation owed to the assignor by the other party under the original contract. Essentially, the assignee steps into the shoes of the assignor and can therefore not obtain greater rights with respect to the assigned chose than what the assignor held prior to assignment (Fridman’s The Law of Contract, 7th Edition, p. 892).

[287] Further, under common law, substantive legal rights in the assigned contract “vest” in the assignee pursuant to the assignment agreement which gives the assignee a genuine right to require the obligor’s performance.

[288] The case law also indicates that an assignee is entitled to exercise rights (including the right to terminate) under the assigned contract. The Alberta decision Telus Services Inc. v. Tele-Direct (Publications) Inc., 2001 ABQB 777 (at paras 32-33) specifically addresses this point, although that case considered an assignment of the entire chose in action, and not a partial assignment. However, I find that the same principle applies to a partial assignment, like the assignment under the PACA Agreement.

[289] Case law also indicates that assignment does not create a new contract between the party to the original contract and the assignee, unlike a novation (Canada Southern Petroleum Ltd. v. Amoco Canadian Petroleum Company Ltd., 2001 ABQB 803 (CanLII) [Southern Petroleum], at paras 129-130).

[290] Rather, as stated above, the assignment transfers the choses in action under the original contract, leaving privity of contract between the original parties. An assignee cannot claim more than the assignor could have claimed. If the original contract is terminated by the assignor, an assignee cannot insist that the original party continue performance under the original contract because there is no privity of contract between the assignee and the other party to the original contract. The assignee’s only recourse would appear to be against the assignor for derogating the assigned rights as they are the party they contracted with.

[291] As stated by the Supreme Court in National Trust Co. v. Mead, (1990) CanLII 73 (SCC), [1990] 2 SCR 410 (at p. 426), a party to a contract may assign its rights, but not its liabilities, so as to relieve itself of contractual obligations under the original contract. According to Fridman, “the party obliged under a contract is always under that personal obligation to perform, and will be liable should performance not occur” (Fridman’s The Law of Contract, 5th Edition, at p. 694).

[292] Moreover, the Supreme Court has stated in The Queen v. Smith, 1883 CanLII 40 (SCC), 10 SCR 1, at p. 55:

That a party who enters into a contract for performance of work is not entitled by a mere assignment to another person to substitute the assignee for himself, so as to delegate to the assignee his own rights and liabilities under contract, without the consent of the other party to the agreement, is a proposition of law so well established that it requires scarcely any authority to support. In such a case there is no privity of contract - no contractual relation of any kind - between the assignee and the party for whom the work is to be performed.

[293] Case law is also clear that, subject to at least two exceptions, “without a novation, the remaining original party … cannot enforce assigned obligations against the assignee alone” (Southern Petroleum, at para 130). The two exceptions referred to by the Court is the “conditional benefit principle” and the “pure principle of benefits and burdens”.

[294] Although liabilities cannot be assigned in the correct and legal sense so as to relieve the assignor from liability for non-performance, the law permits allowing another party to perform the original debtor’s obligation in the original debtors name, so long as the performance by the third party makes no difference to the original contracting parties (Fridman’s The Law of Contract, 7th Edition, p. 904).

[295] According to Fridman, this is what was intended to be conveyed in Silver Butte Resources Ltd. v. Esso Resources Canada Ltd., 1994 CanLII 625 (BCSC) where Spencer J. stated: “The general rule is that burden of a contract cannot be assigned without the beneficiary’s consent unless the contact is of a class where the beneficiary did not rely upon the original contractor’s ability to perform it” (Fridman’s The Law of Contract, 7th Edition, p. 905).

[296] However, in the case at bar, I do not have to determine whether BP Alaska or Phillips Alaska can claim against the Appellant, should the Appellant fail to pay its proportionate share of the feasibility study costs under the Project Agreement. The question I must answer is the extent of the benefits and rights which were conveyed to the Appellant under the PACA Agreement, with respect to the Project Agreement. As indicated above, I find that the Appellant stepped into the shoes of EMPC and obtained all contractual rights that EMPC had under the Project Agreement as an assignee of EMPC’s rights and benefits under the Project Agreement.

3) Participant under the Project:

[297] The Appellant further argues that the following facts showed that the Appellant became a party to the Project Agreement, namely:

  • (i)the Appellant received the numerous job books prepared and commissioned by the Project Team;

  • (ii)the Appellant licensed the data obtained through the Project to the Mackenzie Gas Project in 2003 and later contributed the data in 2009-2010 to the TransCanada Pipeline Joint Venture, as they were entitled to do under paragraph 8.2.1 of the Project Agreement;

  • (iii)KPMG, as the business coordinator under the Project, invoiced the Appellant directly in proportion to their share of the Participating Interest in the Project Agreement;

  • (iv)KPMG, as well as BP Alaska and Phillips Alaska were notified of EMPC assigning 68% of its one-third Participating Interest in the Project Agreement to the Appellant.

[298] Although the evidence showed that the Appellant had an interest in the Project because of the foregoing facts, that does not make the Appellant a party to the Project Agreement. However, these facts showed that the Appellant became a participant under the Project.

[299] Further, a review of the Project Agreement and the PACA Agreement shows that the Appellant did not become a party to the Project Agreement, although I find that the Appellant was a participant under the Project, and obtained all rights and benefits EMPC had under the Project Agreement as an assignee of EMPC’s rights and benefits under the Project Agreement.

[300] Under the Project Agreement, the term “Party” or “Parties” refers only to EMPC, BP Alaska and Phillips Alaska; section 10.4 provides that a party may assign all or part of its interest in the Project Agreement to one or more of its affiliates (section 10.4); the term “affiliate” with respect to a Party is defined as any corporation that directly or indirectly controls, is controlled or is under common control with that Party (paragraph 8.1.2); section 10.5 provides that the Project Agreement “shall extend to, be binding on and inure to the benefit of the Parties and their respective successors and permitted assigns”; and section 10.1 provides that the rights, duties, obligations and liabilities of the Parties shall be several in proportion to their Participating Interests and not joint or collective.

[301] Under the PACA Agreement, section 5 provides that: “EMRL hereby ratifies, adopts, and confirms and agrees to be bound by all terms and provisions of the Project Agreement and all decisions of the Executive Committee, the Steering Committee and the Management Committee…”; and section 7 provides that all rights, duties, obligations, and liabilities of EMPC and EMRL under the PACA Agreement and the Project Agreement shall be several in proportion to their interests, and not joint or collective.

[302] For these reasons, I find that in accordance with paragraph 8.2.1 of the Project Agreement, the Appellant was allowed to license the data and used information from the Project (which it effectively did in 2003 and in 2009-2010), and further, in accordance with section 9.2 of the Project Agreement, the Appellant was allowed to withdraw from the Project Agreement.

III. Deductibility of the Feasibility Study Costs

[303] I will now turn to the question of whether the Feasibility Study Costs are deductible in computing the Appellant’s business income under the Act for the 2001 Taxation Year.

1. Positions of the parties

1) The Appellant:

[304] According to the Appellant, the Feasibility Study Costs were properly deductible in computing the Appellant’s business income for the 2001 Taxation Year. The limitation found in paragraph 18(1)(a) does not apply to limit the deductibility of the Feasibility Study Costs, as these expenses were made or incurred by the Appellant “for the purpose of gaining or producing income” from the Appellant’s business.

[305] The determination of whether an expense was incurred for the purpose of gaining or producing income is a low threshold. In the case at bar, the evidence showed that the Feasibility Study Costs were incurred by the Appellant, and the Feasibility Study Costs had a connection with the Appellant’s business.

[306] Firstly, the Feasibility Study Costs were incurred by the Appellant as part of its legal obligations to pay the Feasibility Study Costs under the PACA Agreement.

[307] Furthermore, the Feasibility Study Costs were incurred by the Appellant for the purpose of gaining or producing income from the Appellant’s business and to further advance the Appellant’s business, which business included various pipeline interests. A pipeline to transport gas was clearly within the scope of the Appellant’s business activities in the oil and gas industry.

[308] The Appellant further submits that paragraph 18(1)(a) does not refer to an exclusive, primary or dominant purpose for an expense to be deductible, referring to comments on paragraph 18(1)(a) from the Supreme Court in Symes v. R., (1993) 4 SCR 695, [Symes]:

It is important to highlight the changes which were thus introduced. First, whereas the old provision required that an expense be incurred "wholly, exclusively and necessarily" for the stated purpose, the current provision does not relate the purpose requirement to any modifier. Second, whereas the old provision stated that a business expense was an expense incurred for the "purpose of earning the income", the current provision speaks of "gaining or producing" the income. (p. 34)

[309] The Appellant also argues that the fact that there may be no resulting income from an activity does not prevent the deductibility of an expense under paragraph 18(1)(a) (Royal Trust Co v. Minister of National Revenue, [1957] CTC 32, 57 DTC 1055 (ex. Ct) at pp. 82-83).

[310] The Appellant raised multiple factors that establish a sufficient business connection for incurring the Feasibility Study Costs to the Appellant’s business. In the Appellant’s view, these clearly show that the limitations in paragraph 18(1)(a) do not apply to disallow the deductibility of the Feasibility Study Costs. I will come back to these factors below in my analysis.

2) The Respondent:

[311] According to the Respondent, the Feasibility Study Costs were not made or incurred by the Appellant for the purpose of gaining income from any business, and these costs are not otherwise deductible in computing the Appellant’s income.

[312] The Respondent asserts that the Appellant requires a source of business income to deduct the Feasibility Study Costs, which the Appellant does not have, because (i) there is no evidence that the Appellant carried out any activity in relation to the Feasibility Study, and (ii) the activities carried out under the Feasibility Study were in pursuit of the producers’ profits (EM Corp., BP Alaska and Phillips Alaska), and not in pursuit of the Appellant’s profit.

[313] The Respondent asserts that the Appellant must pursue profit in carrying out an activity to have a source of income under the Act. In the Respondent’s view, the focus should not be on the nature of the activity underlying the expenses, but on the Appellant’s purported pursuit of the activity that gave rise to the expense.

[314] In the case at bar, according to the Respondent, the evidence showed that the Feasibility Study Costs were incurred to develop the business of EM Corp. (and BP Alaska and Phillips Alaska) and not to develop any business of the Appellant, because the purpose of the Feasibility Study was to determine, on a very preliminary basis, whether it was profitable for the producers to commercialize their natural gas using a pipeline from the ANS to the Lower-48. Therefore, the Appellant cannot deduct the Feasibility Study Costs in the calculation of its business income.

[315] Referring to Canada v. Paletta Estate (2022 FCA 86 [Paletta Estate] at paras 33-36), the Respondent argues that an activity is not a source of income for the purposes of paragraph 18(1)(a) merely because the activity appears to be inherently commercial.

[316] Further, relying on Brown v. Canada, 2022 FCA 200 ([Brown] at paras 21 to 25), the Respondent argues that although the Feasibility Study did not have any personal or hobby element for the Appellant, the inquiry does not end there, as the Court should then examine whether the Appellant undertook the Feasibility Study in pursuit of its profit, to determine whether the Appellant had a source of business income from the Feasibility Study.

2. Analysis

[317] For the following reasons, I find that the Feasibility Study Costs are properly deductible in computing the business income of the Appellant for the 2001 Taxation Year, in accordance with section 9, and the limitation in paragraph 18(1)(a) does not apply to limit the deduction.

[318] I find that the Appellant had a source of business income relating to the Feasibility Study under section 3, which activities were undertaken for the purposes of evaluating and progressing a pipeline project.

[319] Further, I find that the Feasibility Study Costs were incurred by the Appellant for the purposes of gaining or producing income from the Appellant’s business, which business included various pipeline interests and pipeline development.

[320] In addition to the reasons detailed below, I also took into account the fact that the Appellant, being a corporation, exists to generate profits for its shareholders, with all of its operations and activities being directed to pursue profits.

[321] I will first address the issue of whether the Appellant had a source of business income relating to the Feasibility Study and then determine whether the limitation found in paragraph 18(1)(a) is applicable in the case at bar.

1) Source of income (sections 3 and 9)

a) The applicable principles

[322] The Act provides that the income of a taxpayer for a taxation year includes the taxpayer’s income for the year from a source in Canada or outside Canada, including the taxpayer’s income from each business of the taxpayer (paragraph 3(a)).

[323] Subsection 9(1) provides that “a taxpayer’s income for a taxation year from a business ... is the taxpayer’s profit from that business ... for the year”.

[324] The Act does not define “profit” and does not provide any specific rules for computing profit. The determination of profit is a question of law and must take into account any applicable provisions of the Act. When determining profit, a taxpayer must adopt a method of computation that is not inconsistent with the Act and established case law principles, that is consistent with well-accepted business principles, and that yields an accurate picture of the income for the year (Canderel Ltd. v. Canada, [1998] 1 S.C.R. 147 at paras 29, 50 and 53).

[325] The Supreme Court in Stewart v. R., 2002 SCC 46 ([Stewart]) established a two-stage approach to determine whether endeavours of a taxpayer are a source of business or property income, as opposed to mere personal activities:

50 …As such, the following two-stage approach with respect to the source question can be employed:

(i) Is the activity of the taxpayer undertaken in pursuit of profit, or is it a personal endeavour?

(ii) If it is not a personal endeavour, is the source of the income a business or property?

The first stage of the test assesses the general question of whether or not a source of income exists; the second stage categorizes the source as either business or property.

[Emphasis added.]

[326] As indicated in Stewart, when the nature of the taxpayer’s activity contains elements that suggest it could be considered a hobby or a personal venture, but the venture is undertaken in a sufficiently commercial manner, then the activity will be considered a source of income under the Act (Stewart, para 52). In these circumstances, the Supreme Court rephrased the first part of the test as being: “‘Does the taxpayer intend to carry on an activity for profit and is there evidence to support that intention?’” (Stewart, at para 54). The taxpayer must establish that its “predominant intention is to make a profit from the activity and that the activity has been carried out in accordance with objective standards of businesslike behavior” (Stewart, at para 54).

[327] To determine whether an activity is carried out in a sufficiently commercial manner, one must look at the subjective intention of the taxpayer to profit as supported by various objective factors.

[328] Objective factors to support the subjective intent of a taxpayer to profit will include the reasonable expectation of profit, as well as other factors like the profit and loss experience in past years, the taxpayer’s training, the taxpayer’s intended course of action and the capability of the venture to show profit (Stewart, at para 55).

[329] In Stewart, the Supreme Court also made it clear that this “pursuit of profit” analysis is required only when there is a personal or hobby element to an activity:

53 We emphasize that this “pursuit of profit” source test will only require analysis in situations where there is some personal or hobby element to the activity in question. … Where the nature of an activity is clearly commercial, there is no need to analyze the taxpayer's business decisions. Such endeavours necessarily involve the pursuit of profit. As such, a source of income, by definition, exists, and there is no need to take the inquiry any further.

[330] In Walls v. Canada, 2002 SCC 47 [Walls], this point was reiterated where the Supreme Court stated “that the first stage of this test will only be relevant when there is some personal or hobby element to the activity in question. Where an activity is clearly commercial, the taxpayer is necessarily engaged in the pursuit of profit, and therefore a source of income exists” (Walls, at para 19).

[331] The test as enacted by the Supreme Court in Stewart presumes that a commercial activity is undertaken in pursuit of profit (Stackhouse v. R., 2023 TCC 156 [Stackhouse TCC], at para 103; aff’d in Stackhouse v. Canada, 2025 FCA 175).

[332] Indeed, the Supreme Court stated in Stewart that:

51 Equating “source of income” with an activity undertaken “in pursuit of profit” accords with the traditional common law definition of “business”, i.e., “anything which occupies the time and attention and labour of a man for the purpose of profit” … As well, business income is generally distinguished from property income on the basis that a business requires an additional level of taxpayer activity: …. As such, it is logical to conclude that an activity undertaken in pursuit of profit, regardless of the level of taxpayer activity, will be either a business or property source of income.

[Emphasis added.]

[333] The Supreme Court summarized the analysis to be made to determine whether a taxpayer has a source of business or property income (Stewart, para 60):

60 In summary, the issue of whether or not a taxpayer has a source of income is to be determined by looking at the commerciality of the activity in question. Where the activity contains no personal element and is clearly commercial, no further inquiry is necessary. Where the activity could be classified as a personal pursuit, then it must be determined whether or not the activity is being carried on in a sufficiently commercial manner to constitute a source of income. However, to deny the deduction of losses on the simple ground that the losses signify that no business (or property) source exists is contrary to the words and scheme of the Act. Whether or not a business exists is a separate question from the deductibility of expenses. . . .

[Emphasis added.]

[334] Recently, in Paletta Estate, the Federal Court of Appeal seems to have extended the application of the “pursuit of profit” test to activities that appear to be commercial activities, but the evidence shows that the activities are not in fact conducted with a view to profit.

[335] In Paletta Estate, the Federal Court of Appeal stated that even though an activity appears to be a commercial activity, if the evidence shows that the activity is not in fact conducted with a view to profit, there can be no source of business or property under the Act:

[36] Stewart teaches that, in the absence of a personal or hobby element, where courts are confronted with what appears to be a clearly commercial activity and the evidence is consistent with the view that the activity is conducted for profit, they need go no further to hold that a business or property source of income exists for purposes of the Act. However, where as is the case here, the evidence reveals that, despite the appearances of commerciality, the activity is not in fact conducted with a view to profit, a business or property source cannot be found to exist.

[Emphasis added.]

[336] Further, in Brown, the Federal Court of Appeal rephrased the test enacted in Stewart by requiring a “pursuit of profit” analysis in situations where there is no personal or hobby element to an activity:

[25] The approach to determine if a person has a source of income can therefore be rephrased as follows:

¨ Is there a personal or hobby element to the activity in question?

· If there is a personal or hobby element to the activity in question, the next enquiry is whether “the activity is being carried out in a commercially sufficient manner to constitute a source of income” (Stewart, at para. 60).

· If there is no personal or hobby element to the activity in question, the next enquiry is whether the activity is being undertaken in pursuit of profit.

[Emphasis added.]

[337] The Federal Court of Appeal in Brown further explained the requisite standards to meet the above test:

[35] The presence of a personal element in the activity in question will trigger the inquiry into the predominant intention of the taxpayer. Absent a personal element in the activity, the question is whether the taxpayer is pursuing profit in undertaking the activity in question, not whether this was his predominant intention. If the evidence establishes that profit is not being pursued, then the taxpayer is not carrying on a business (Paletta, at paragraph 39).

[Emphasis added.]

[338] More recently, the Federal Court of Appeal applied the principles enunciated by the Supreme Court in Stewart and stated that “a taxpayer’s pursuit of profit will be established where the activity in question comprises no personal or recreational element” (Fournier-Giguère v. Canada, 2025 FCA 112, at para 47). In that decision, the Federal Court of Appeal did not refer to Paletta Estate or Brown in its analysis of the existence of a source of business income under the Act.

[339] In the case at bar, even though the Respondent acknowledged that there was no personal element in the Feasibility Study, the Respondent argues that the Court should still examine whether the Feasibility Study was undertaken in pursuit of the Appellant’s profit to determine whether the Appellant had a source of business income under the Act.

[340] In support of its position, the Respondent relied on the Stewart test as extended by the Federal Court of Appeal in Paletta Estate and as rephrased by the Federal Court of Appeal in Brown.

[341] Stewart is clear that when there is no personal or hobby element then no further analysis is needed. However, Brown and Paletta Estate require that a pursuit of profit analysis be conducted regardless of the activities’ personal or commercial nature.

[342] Therefore, the state of the law is such that it is unclear whether an analysis of the taxpayer’s pursuit of profit is required when an activity is conducted in an entirely commercial manner. The foundational Supreme Court decisions suggest that no enquiry is necessary, however, as discussed above, more recent jurisprudence from the Federal Court of Appeal suggests that a pursuit of profit analysis is required.

[343] On that issue, I agree with this Court in Stackhouse TCC that when an activity has no personal or hobby element, requiring an examination as to whether there was a pursuit of profit from that activity is adding to the test as found in Stewart:

[106] The second step suggested in Brown adds to the test in Stewart a separate inquiry into whether a taxpayer pursues a commercial activity for profit. This approach would return the test to its state prior to the decision in Stewart, where the “pursuit of profit” aspect of a business was the focus even for clearly commercial activities. As stated in Stewart:

. . . Where the activity contains no personal element and is clearly commercial, no further inquiry is necessary.

[344] Given the present state of the case law, I will apply the principles enunciated in Stewart. I will then apply the extended Stewart principles described in Paletta Estate and Brown in a separate analysis.

[345] In this appeal, under both analyses, I reach the same conclusion, namely that the Appellant had a source of business income related to the Feasibility Study.

b) The Stewart test

[346] Applying the Stewart test as enunciated by the Supreme Court, I find that the Appellant had a source of business income related to the Feasibility Study.

[347] For the reasons below, I find that the purpose of the Project was to evaluate and progress a pipeline project from the ANS to Western Canada (or Alberta) and the Lower-48. I also find that the Appellant’s business includes various pipelines interests and pipeline development.

[348] The evidence showed that feasibility studies are the norm in the industry and are to be done in megaproject developments, such as the Project. I accept Mr. Carruthers’ expert opinion which was credible and persuasive.

[349] I further find that the Feasibility Study was clearly commercial activities and did not represent a personal endeavour for the Appellant. The Respondent acknowledged that the Feasibility Study did not represent a hobby or personal endeavour of the Appellant.

[350] In addition, the evidence showed that the Feasibility Study was conducted by the Project Team in a commercial manner.

[351] In such circumstances, there is no need for the Court to question the business decisions made by the Appellant at this stage of the analysis, as there was no personal or hobby element in the Feasibility Study (Stewart, at paras 53 and 60).

i. Existing business of the Appellant

[352] The evidence showed that the Appellant carried on in the business of exploring for, and producing and selling, crude oil and natural gas in Canada, and was involved in the oil and gas industry. The evidence also showed that the Appellant had experience in carrying out pipeline businesses and carried on the business of natural resources transportation through its ownership and operatorship of various pipelines.

[353] Mr. McNamara testified that the Appellant was the corporate entity responsible for ExxonMobil’s Western Canada operations. I accept the evidence that the Appellant’s Western and Eastern operations were kept separate from IOL after the Merger and during the relevant period.

[354] Mr. McNamara as well as Mr. Lamb testified that after the Merger, Mobil Corporation and Exxon combined their operations around the world. However, in Canada, they tried to combine Mobil Canada and IOL operations, but it was determined after a certain period to keep operations separate in both Western and Eastern Canada, and to only merge the business support services (human resources, tax, treasury, legal, finance, accounting, etc.) for more efficiencies, which became the Upstream Business Services.

[355] I do not agree with the Respondent that Mr. McNamara’s testimony was unreliable regarding the operations carried out by the Appellant in Western Canada. I accept the evidence that Mr. McNamara, as president of the Appellant, oversaw the Western operations, which included overseeing the operation of the South Saskatchewan Pipeline and the Rainbow Pipeline (although the pipelines located in Western Canada were owned by EM Canada, and operated by IOL after the Merger).

[356] I also accept Mr. McNamara’s testimony that in Western Canada, the Appellant had a full complement of professionals, including engineers and managers, who reported to him.

[357] Although the Appellant had no interest in gas deposits in the ANS, the Appellant owned various oil and gas fields from Fort Nielsen (British Columbia) to Southeast Saskatchewan, as well as an interest in the Frontier acreage in the Northwest Territories.

[358] The jurisprudence has indicated that the partners, which compose the partnership, are the persons that carry on the business rather than the limited partnership itself (The Queen v. Robinson et al, docket A-567-93, Federal Court of Appeal, at para 16).

[359] The Appellant owns a 40% interest in EMCP Partnership, the remaining 60% interest being owned by EM Canada. Through its ownership of an interest in EMCP Partnership, the Appellant owns an interest in natural gas resources in the Mackenzie Delta. Further, the activities of EMCP Partnership included the exploration for, and production and sale of, crude oil and natural gas in Eastern Canada. EMCP Partnership also owned various pipelines and resources interests in Eastern Canada.

[360] I also accept Mr. McNamara’s testimony that EM Canada was responsible for Eastern Canada’s operations, through its ownership of a majority interest in EMCP Partnership.

[361] The evidence also showed that the Appellant owned an interest in the Maritimes & Northeast Pipelines through its ownership of limited partnership units in the Maritimes & Northeast Pipeline Limited Partnership, which owns a pipeline transporting offshore Eastern Canada natural gas to the USA (Exhibit AR-1, Joint Book of Documents, tabs 158-159).

[362] Further, the Appellant owns a 59% interest in EMCE Partnership, where employment for ExxonMobil in Canada was centralized. The activities of EMCE Partnership also included the exploration for, and production and sale of, crude oil and natural gas in Western Canada

[363] Relying on the Amended Services Agreement, the Respondent argues that IOL and not any of the ExxonMobil subsidiaries was operating the pipelines and executing the upstream activities (e.g. drilling, well servicing, etc.). Hence, the Respondent argues that the Appellant does not own or operate any pipelines in Western Canada.

[364] I do not accept the Respondent’s argument. I accept the testimony of Mr. McNamara who stated that the Amended Services Agreement was not in place when he was president of the Appellant. Mr. Lamb corroborated that fact and testified about the Original Services Agreement. The testimonies of both Mr. McNamara and Mr. Lamb showed that the Appellant was also involved in the pipeline business in Western Canada.

[365] Under the Original Services Agreement, IOL and Mobil Canada, along with their respective subsidiaries, agreed to provide various services between themselves. According to the Original Services Agreement, IOL was to provide upstream business services (e.g. legal, tax, human resources, medical, occupational health, treasurer’s, risk management, corporate secretarial, records management, public and government affairs, procurement of services and materials, real estate, office and operations) to Mobil Canada. Further, IOL would provide production technical services to Mobil Canada for Western Canada and Northern Canada, except for the South Saskatchewan Pipeline Co. Moreover, IOL would provide personnel to Mobil Canada, including Rainbow Pipeline Company Ltd. for Western Canada and Northern Canada.

[366] The Original Services Agreement also stated that Mobil Canada, along with their respective subsidiaries, would provide IOL with services in respect of execution of drilling and well servicing for Western Canada and Northern Canada, as well as upstream technical computing services.

[367] Regarding the income tax return of the Appellant for the 2001 Taxation Year, Mr. McNamara testified that the Appellant’s business was 100% in the oil and gas industry, which meant it was all the production of oil and gas, including pipelines from a wellhead to a transportation point, including pipelines, which represented 100,000 barrels a day business (Exhibit AR-1, Joint Book of Documents, tab 156). As indicated in its income tax return for the 2001 Taxation Year, the Appellant’s net income was $462 million and net income after taxes and extraordinary items per financial statements was $612 million.

[368] I accept Mr. McNamara’s testimony that all operations of the Appellant were in Canada and that the Appellant was a fully integrated producer of oil and gas in Canada.

ii. Purpose and objective of the Project
  • (i)Circumstances under which the Project Agreement was executed

[369] The Respondent argues that EM Corp. entered into the Project Agreement as a signal to the market to gain government and third-party support.

[370] For the following reasons, I find that the Respondent’s conclusion is not supported by any evidence, as the evidence adduced at the hearing showed that that conclusion was the result of the Feasibility Study, and not the reasons why the Project Agreement was executed.

[371] As indicated in the document entitled “Alaska Producer Pipeline Update – April 2002” (Exhibit AR-1, Joint Book of Documents, tab 86), the Feasibility Study conducted by the participants brought them to conclude that the projected pipeline was not currently commercially viable and that governments would play a key role in reducing costs and risks, these risks including Alaska fiscal certainty, NEB/First Nations regulatory process clarity, and US Federal regulatory enabling legislation.

[372] Further, I accept Mr. Carruthers’ testimony that one of the results of the Feasibility Study was to gain government support, but it was not the reason why the Project Agreement was executed.

[373] The testimonies of both Mr. McMahon and Ms. DuCharme were very relevant in explaining the circumstances under which the Project Agreement was executed. Both were involved with the Exxon group well before 2000 and throughout the duration of the Project. This was Mr. McMahon’s second time being involved in the commercialization of ANS natural gas for EM Corp. Further, Ms. DuCharme was responsible for negotiating the Project Agreement for EM Corp. with both BP Alaska and Phillips Alaska. Moreover, during the 2000-2002 period, Ms. DuCharme was working for a division of EM Corp. in charge of gas marketing and was the joint venture coordinator representing ExxonMobil’s interests in various joint ventures in North America.

[374] Mr. McMahon testified that around 1999, the price of natural gas increased in Canada and in the Lower-48. BP Alaska, Phillips Alaska and Exxon had preliminary discussions to see if there was an interest in building a natural gas pipeline from the ANS through Canada to the Lower-48, and whether this was the next best opportunity to commercialize the ANS natural gas.

[375] I accept Mr. McMahon’s testimony that the expression “commercialization of the ANS natural gas” refers to an endeavour to find a way to take the natural gas on the ANS and find a way to bring it to market, and that it would involve both the production and the transportation of natural gas.

[376] As indicated in a presentation made to Mr. Longwell dated September 21, 2000, ExxonMobil was considering entering into an agreement with BP Alaska and Phillips Alaska on the commercialization of ANS gas and to evaluate a pipeline to the Lower-48 (Exhibit AR-1, Joint Book of Documents, tab 7). That presentation showed that the primary objective of the joint work was to select the most desirable route for the pipeline and to develop a plan to achieve that route (reservoir planning, pipeline route evaluation, external affairs plans, permitting plans, plans for transporting gas from Alberta to Lower-48 via pipeline, fiscal strategy, structure/financing alternatives, benefits/timing of involving non-producers, plans for subsequent work program).

[377] Further, according to Mr. McMahon, a Management Committee meeting regarding the Project was held on October 19, 2000 (Exhibit AR-1, Joint Book of Documents, tab 9). The Management Committee proposed that joint teams be put in place to explore the following areas: commercial, environmental/regulatory, external affairs and technical, and consulting with third parties. The document described the key work planned to be done under the Project as well as the staffing of the various programs’ teams. The key work assumptions included to conduct comparable work for the Northern and Southern Routes to meet FERC and NEB filing requirements, evaluate a new build concept from the ANS to Alberta and from Alberta to Chicago, and evaluate alternatives to newly built systems from Alberta to Chicago. One minor issue raised in the document was the identity of the signatories to the proposed Project Agreement, namely whether it would be executed by the parent companies or any of their subsidiaries.

[378] The testimony of Ms. DuCharme is also very relevant in understanding the prevailing market at the time the Project Agreement was executed. Her testimony, which I find was very credible and reliable, corroborated Mr. McMahon’s testimony.

[379] According to Ms. DuCharme, starting in the summer of 2000, she was involved with the Project, but she was not seconded to the Project Team. She met with representatives of BP Alaska and Phillips Alaska to come to an agreement in respect of the ANS natural gas, and to structure the agreement, including the structuring for the ownership of the projected pipeline. Further, the idea under the Project was to build the pipeline rapidly because of the unusual natural gas market. Moreover, given the length of the pipeline, the liability issue was also very important.

[380] Ms. DuCharme was involved in negotiating and drafting the Project Agreement, as a representative of EM Corp. She stated that in the summer of 2000, the natural gas market was at an unusual place because of market deregulation. The price was at 2 USD/kcf, but at the end of the year, the price went up to 9 USD/kcf. However, the price of oil went down to 20-10 USD a barrel. Politicians got involved because their constituents were anxious that the price of natural gas was so high. At the end of 2000, natural gas was a very valuable resource.

[381] Because the oil price was so low and the natural gas price was so high, EM Corp. wanted to join with BP Alaska and Phillips Alaska to see if there was an opportunity to bring the ANS stranded gas to market via a pipeline and realize economies of scale. According to Ms. DuCharme, the purpose of the Project was to take the ANS stranded natural gas and bring it to market, through a pipeline from the ANS to Alberta, and from Alberta to the Lower-48 markets.

[382] As indicated by Ms. DuCharme, in September 2000, and more specifically on the date of the presentation made to Mr. Longwell on September 21, 2000, the Project was going forward with the construction of a pipeline (Exhibit AR-1, Joint Book of Documents, tab 7).

  • (ii)The Project: A Feasibility Study for a Pipeline Project

[383] The Respondent raised various arguments to suggest that the purpose of the Feasibility Study was to determine whether it would be profitable for the producers, namely EM Corp., BP Alaska and Phillips Alaska, to bring their natural gas to market.

[384] For the following reasons, I do not agree with that conclusion and with the Respondent’s various arguments. I find that the Project’s purpose and objective were to evaluate and progress a potential pipeline project for transporting natural gas from the ANS to Western Canada and the Lower-48 markets and were not to determine whether it would be profitable for the producers, namely EM Corp., BP Alaska and Phillips Alaska, to bring their natural gas to market. The evidence showed that the Project was a feasibility study for a pipeline project.

[385] Documentary evidence, as well as credible and reliable testimony of numerous witnesses at the hearing, established that the purpose of the Feasibility Study was to evaluate a pipeline project to transport natural gas from the ANS to Western Canada and the Lower-48 markets, and that the Project was a feasibility study for a projected pipeline.

[386] I accept Mr. McMahon’s testimony that the Project was a feasibility study for a pipeline project, which was a very large capital project qualifying as a megaproject. Capital costs to build the pipeline was estimated to be more than $20 billion (including all steps in building the pipeline).

[387] Mr. Carruthers also testified that the Project qualified as a megaproject. In proceeding under the Project, and carrying out the Feasibility Study, the parties followed megaproject practices. I will come back to Mr. Carruthers’ expert testimony below.

[388] According to Mr. McMahon, the Project was advancing downstream activities, namely a gas treating plant, NGLs, and a pipeline, but it was not advancing upstream activities, namely exploring, drilling, bringing to surface for natural gas. Mr. McMahon referred to section 2.3 of the Project Agreement which specifically provides that the agreement does not provide for the shipment or the marketing of natural gas or NGLs, and that each party remains individually responsible for shipping and marketing.

[389] In fact, the Feasibility Study was in relation to the purpose of evaluating and advancing a projected pipeline from the ANS to Alberta and the Lower-48 markets and did not include any study with respect to production of resources.

[390] Mr. McMahon further testified that the Project Agreement contained all the terms and conditions between the parties regarding the Project, and all parties agreed with these terms.

[391] The preamble to the Project Agreement clearly defines the objective of the Project as the parties wanting to “evaluate and progress a pipeline project to transport its natural gas from the Alaska North Slope into the Western Canada and U.S. market hubs”, which is defined as the “Project”.

[392] The preamble to the Project Agreement also indicates that the parties wanted to “further evaluate the costs and benefits associated with a pipeline route from the Alaska North Slope through Northern Canada following the Mackenzie River (‘Northern Route’) as well as a pipeline route that follows the Alaska Highway (‘Southern Route’)”.

[393] Article 1 of the Project Agreement describes the Project as containing a gas treating plant and a pipeline from the ANS to Alberta, and as may be containing a pipeline from Alberta to a terminal point in Canada, or continental USA, and NGLs facilities.

[394] Further, in March 2002, in a document entitled “Project Executive Summary - March 2002”, the Project Team summarized the overview of the Project as follows, which summary clearly indicates the purpose of the Project being a feasibility study for a pipeline project (Exhibit AR-1, Joint Book of Documents, tab 77, at p. 2):

Developed feasibility cost estimates for a world class pipeline project, Gas Treatment Plant and NGL facilities; $125M USD spent for this phase of the project; 110 owner company representatives and 1,000,000 plus staff-hours (including contractors) with about 20% in the field; Performed multiple environmental field studies along 5,400 miles of right-of-way.

[395] Further, according to Ms. DuCharme’s testimony, the Project was a Feasibility Study to progress and evaluate a pipeline. In addition to having been very credible, Ms. DuCharme would have had numerous discussions with BP Alaska and Phillips Alaska on the financing and structuring of the construction of a pipeline.

[396] As indicated above, all costs incurred and activities undertaken under the Project, as we can infer from the numerous job books prepared under the Project as well as from the Integrated Economic Model, were in relation to the purpose of evaluating and advancing a pipeline from the ANS to Western Canada and to the Lower-48.

[397] Mr. Carruthers, who was the ERL program manager of the Project Team, also testified on the purpose of the Project. His testimony, which was very credible and reliable, corroborated, inter alia, the testimonies of Ms. DuCharme, Mr. McMahon and Mr. McNamara on that issue.

[398] Mr. Carruthers testified that the managers of the various programs on the Project Team had a very detailed execution plan (Exhibit AR-1, Joint Book of Documents, tab 74).

[399] According to Mr. Carruthers, the Project Team was created to study the potential of developing a natural gas pipeline including a gas treating plant, compressor stations, and NGL plant from Prudhoe Bay, Alaska to Chicago, Illinois; the Project entailed the evaluation of the costs and benefits associated with a pipeline from the ANS to markets in Canada and the Lower-48. The responsibility of the ERL team was to define the environmental, regulatory and land requirements and to begin the process of fulfilling those requirements in coordination with the Project Team’s commercial, legal and technical programs. ERL components of costs for the initial study phase amounted to 38 million USD.

[400] Moreover, I find that Mr. Carruthers’ expert opinion on pipeline project development should be given a lot of weight. His credibility was not undermined at trial. According to Mr. Carruthers, the Project qualifies as a megaproject, because its capital costs would have exceeded $1 billion, namely $20 billion. As such, the participants in the Project followed the megaproject gate decisions process.

[401] According to Mr. Carruthers, on megaprojects, objectives of the parties involved must be clear. He did not agree that the predominant purpose of the Feasibility Study was to determine whether it would be profitable for the producers to bring their natural gas to market.

[402] Further, according to Mr. Carruthers, the fundamental objective of the Project was to progress a pipeline from the ANS to the Lower-48 markets. Throughout the Project, the objectives were clear and did not change. It would be inconceivable that the Project, being a megaproject, would have an unstated objective overriding the documented objective agreed to by the parties to the Project Agreement. The Project’s objectives were clearly documented in the Project Agreement and consistently referenced and well communicated in the subsequent Project materials. Further, as indicated above, the Project Agreement specifically excluded the shipping and marketing of natural gas and NGL (section 2.3 of the Project Agreement).

[403] Mr. Kubasek, who was the Program Manager for the Northern Sector on the Project Team, also testified that the Project entailed a gas treating plant on the ANS, a pipeline from the ANS to Alberta by the Southern Route or the Northern Route, a pipeline from Alberta to Lower-48, and a NGL plant either in Alberta or Chicago. I find that Mr. Kubasek’s testimony was credible. Further, his testimony corroborated all previous testimonies on the purpose of the Project, being a feasibility study for a pipeline project.

[404] According to Mr. Kubasek, the Project was to do a feasibility study to determine whether it was feasible to build a pipeline and what would be the technical aspects of doing so. For the Project, Mr. Kubasek’s team had to perform various analysis to determine whether a pipeline from Prudhoe Bay to a terminus around Edmonton was feasible, both using the Southern Route and the Northern Route, and what would be the costs of constructing such a pipeline.

[405] Further, Mr. Kubasek’s team had to determine whether it was feasible to process natural gas on the ANS, how to process it and the costs of doing so. The costs schedule and time element had been provided to the Commercial program of the Project Team to determine the economics. Many factors had to be considered in the Project, some being whether it was possible to lay pipes in the Beaufort Sea, in the Mackenzie Valley for the Northern Route and the Alaska Highway for the Southern Route given the permafrost and the mountain ranges.

[406] Further, if it was deemed feasible to build a pipeline from the ANS to the Lower-48, then the Project would include preparing the materials for filing with the FERC and NEB. Mr. Kubasek’s team prepared many job books for the Project (Exhibit AR-1, Joint Book of Documents, tabs 58, 59, 64) and had commissioned numerous third-party contractors job books (Exhibit AR-1, Joint Book of Documents, tabs 71, 65, 66, 67, 72, 73, 80, 81 and 84). Mr. Kubasek also awarded the survey to be done on the Beaufort Sea for the Northern Route, but it was never completed due to bad weather and a broken ship (Exhibit AR-1, Joint Book of Documents, tab 82).

[407] In addition, Mr. Kubasek referred to the document entitled “Early Project Execution Plan” (Exhibit AR-1, Joint Book of Documents, tab 64). That document was primarily prepared by Mr. Kubasek’s team and showed the scope of the Project: what it would look like, how it would get procured, how it would get engineered, the regulatory process, construction, logistics, how it would be commissioned and put in service.

[408] As indicated by Mr. Kubasek, the Early Project Execution Plan was a dynamic document and would have been updated if the Project had proceeded further, up to when the pipeline would have been put in service in 2009-2010.

[409] Section 2.1 of the Early Project Execution Plan describes the Project’s scope as follows:

The Alaska Gas Producers are planning to market associated gas related to oil and gas production on the North Slope of Alaska (ANS). A pipeline system is being proposed to transport this gas to Lower 48 Markets. The gas will be treated in a Gas Treatment Plant (GTP) located near Prudhoe Bay and transported via a pipeline to Alberta, Canada. At this point, the gas may be processed to remove Natural Gas Liquids at a NGL plant or will be transferred to existing gas “take-away” facilities or to a new take-away pipeline, or some combination of both.

[410] Further, the Early Project Execution Plan stated that the Project involved the design and construction of the following components: GTP, gas transmission pipeline from Alaska to a point in Alberta (near Edmonton), NGL, pipeline from Alberta to Lower 48 markets (either using existing capacity or building their own pipeline) (Exhibit AR-1, Joint Book of Documents, tab 64, at p. 19).

[411] The Early Project Execution Plan also indicated that the Project Team commissioned conceptual engineering packages to engineering firms for the conceptualization of the four primary project components: (i) GTP at Prudhoe Bay: Parsons; (ii) A to B pipeline (Alaska to Alberta): Fluor VECO; (iii) NGL Straddle Plant: Fluor VECO; and (iv) B to C Pipeline (Alberta to Chicago): Alascan. This document clearly shows that a pipeline was projected to be built.

[412] In addition, the minutes of the Steering Committee meeting of September 12, 2001, where the members discussed the pipeline design for the Alaska to Alberta pipeline, the subsea survey of the Beaufort Sea, gas treating plant and the NGL plants, clearly show that a pipeline was projected to be built (Exhibit AR-1, Joint Book of Documents, tab 40).

[413] In September 2001, Mr. Kubasek’s team was halfway through the work under the Project. They had determined, inter alia, the pipe size, as well as the number and locations of compressor stations. However, detailed technical work would not have been done.

[414] Mr. Lamb’s testimony also demonstrated that the Project was a feasibility study for a pipeline project. He testified on various email exchanges between the tax group of EM Corp. in the USA and himself regarding three possible alternatives to structure the Canadian portion of the pipeline (Exhibit AR-1, Joint Book of Documents, tab 16). According to Mr. Lamb, a pipeline construction was considered under the Project.

[415] Further, Mr. Lamb testified that on June 22, 2001, they believed that the ANS pipeline will be built. In his testimony, he referred to a document dated June 22, 2001, showing that the ExxonMobil tax group contacted the Department of Finance in Canada to discuss and obtain a change in the rate of depreciation for pipelines in Canada (which was at 4% at the relevant time) (Exhibit AR-1, Joint Book of Documents, tab 31). In that document, Mr. Lamb indicated that “the ANS group are currently considering a Limited Partnership to hold the Canadian portion of the line as it has the potential to optimize the overall EM tax position. The other portions of the Limited Partnership would be owned by BP and Phillips…”

[416] Further, I find that the Integrated Economic Model, a key deliverable for the Commercial program of the Project Team, shows that the Project was not a producers’ study, but a feasibility study for a pipeline project.

[417] I accept Mr. McMahon’s testimony that the Integrated Economic Model was not developed to tell the producers how to run their economics, but it was developed for calculating the investors’ rate of return (“IRR”) for the construction of the pipelines, including the gas treating plant, the NGL plant, the A to B (ANS to Alberta) pipeline and the B to C (Alberta to Chicago) pipeline. There was no IRR calculation made for upstream activities. However, Mr. McMahon calculated the net present value (“NPV”) for upstream activities, namely how much revenue the Prudhoe Bay unit, the Point Thompson unit, and new fields to be discovered would receive from the production of the resources if a pipeline was built.

[418] According to Mr. McMahon, the IRR is dictated by the toll structure chosen, which was to be 12% return on equity, 7% debt and a debt/equity ratio of 70/30. The IRR for the downstream activities based on the base case was approximately 7%. If both the upstream and downstream activities are combined, the IRR was 10.9% (combining net cash flow from upstream and downstream activities).

[419] I also understand that Mr. McMahon built in the Integrated Economic Model the net back pricing from the producers’ or marketers’ perspective. To make that calculation, Mr. McMahon collected forecasts of oil and natural gas production and built in the reduction of oil productivity if natural gas was taken out of the fields. Furthermore, one of the other key components of the Integrated Economic Model was the calculation of taxes and royalties payable to various governments if a pipeline was built. However, I do not find that these additional components to the Integrated Economic Model showed that the purpose of the Feasibility Study was whether it would be profitable for the producers, namely EM Corp., BP Alaska and Phillips Alaska, to bring their natural gas to market.

[420] Finally, in finding that the Project was a feasibility study for a pipeline project, I also consider the fact that there was no program under the Project Team dealing with the production of natural gas resources per se.

  • (iii)Other means of bringing EM Corp.’s ANS natural gas to market

[421] To support their position that the Project was a producers’ study and not a feasibility study for a pipeline project, the Respondent argues that a pipeline was only one means EM Corp. was considering during that period to commercialize its ANS natural gas resources. According to the Respondent, EM Corp. was also looking at commercializing its ANS natural gas by building a gas-to-liquids (“GTL”) plant in the ANS, using existing pipeline to transport the natural gas to the coast of Alaska. Further, EM Corp. was also looking at an LNG project.

[422] Moreover, the Respondent argues that Foothills had exclusivity under the Foothills Certificates to build a pipeline from the ANS to Canada, and accordingly, the Project could not have been a feasibility study for a pipeline project.

[423] For the following reasons, I do not agree with the Respondent. I find that the evidence showed that during the 2000 to 2002 period, EM Corp. did not look at means other than a projected pipeline to bring its ANS natural gas resources to markets.

[424] The evidence shows that Exxon’s GTL project study ended in 1999. I accept Mr. McMahon testimony that in 1999, EM Corp. decided not to pursue a GTL project, which is an expensive technology, and had determined to go ahead with the Project Agreement, given the market for the natural gas and oil resources at the time.

[425] Further, documentary evidence adduced at the hearing showed that in September 2000, EM Corp. had determined to go ahead with the Project (Exhibit AR-1, Joint Book of Documents, tab 7).

[426] I also accept Ms. DuCharme’s testimony which corroborated Mr. McMahon’s testimony. According to Ms. DuCharme, EM Corp. was not looking at a GTL plant in or around December 2000. As indicated by Ms. DuCharme, the project of a GTL plant, which is a very complex project, did not make sense at the time, as it needed a market where the oil price is high, and the natural gas price is low. In 2000, the situation was the opposite.

[427] Mr. McMahon also testified on the LNG project and the Foothills Certificates, referring to the history of the ANS natural gas, which testimony I accept as it was credible and was not contradicted.

[428] The ANS natural gas was discovered in the 1960s. At that time, resources’ owners looked at building pipelines to the Lower-48 markets, or liquified the natural gas and shipped it on vessels to the far east for sale.

[429] Prior to and around 1992, Foothills and other pipelines’ owners were looking at advancing the ANS natural gas under the ANGTS project. Due to high cost of construction and low natural gas price, the ANGTS project did not proceed. Further, there were technical and commercial issues with the ANGTS project, including a substantial outstanding financial liability carried out by Foothills under the Foothills Certificates due to an obligation to reimburse parties who withdraw from the ANGTS project. If the ANGTS project was put in place (e.g. a pipeline was built), withdrawn partners of the project would have to be reimbursed in an amount of approximately 3.3 billion USD. In addition, Alberta producers who were assessed charges previously would also need to be compensated for an amount of approximately 90 million USD. In 2000-2001, the Foothills Certificates were still valid, but the project had still not been constructed in the ANS (Exhibit AR‑1, Joint Book of Documents, tab 20). Mr. Carruthers’ testimony corroborated Mr. McMahon’s testimony on that issue. I will discuss the Foothills Certificates more fully below.

[430] Because of these financial challenges and technical issues with the ANGTS project, Exxon, BP Alaska and Arco looked at an LNG project to advance the ANS natural gas, which project was Mr. McMahon’s first involvement with the commercialization of ANS natural gas. The study, which lasted from 1992 to 1995, was related to pipelines to bring the natural gas to the coast of Alaska, build an LNG plant to cool the gas and put it on LNG carriers to be sent to the far east. For that study, Mr. McMahon was a supervisor of a group of professionals involved in putting forecast and analysing data from the two operators in ANS, namely BP Alaska and Arco. Because the price of crude oil went down, the participants in the study concluded that the project was not commercially viable, and Exxon moved on to other projects to commercialize its ANS natural gas.

  • (iv)Third-party meetings

[431] The Respondent also asserts that the third-party meetings Mr. McMahon attended showed that the Project was a producers’ study, as the purpose of these meetings was to determine if there could be some economic benefits for the producers to use other pipeline companies’ assets to ship their natural gas instead of constructing their own pipeline.

[432] For the following reasons, I do not agree with the Respondent.

[433] As mentioned above, Mr. McMahon, as Manager of the Commercial program on the Project Team, met with third-party pipeline owners during the spring and summer of 2001 to see if they could bring value to the Project, and to determine if they should be part of the Project, mostly for the B to C (Alberta to Chicago) portion of the pipeline.

[434] I accept Mr. McMahon’s testimony that during the period from February to June 2001, the primary option considered by the Project Team was to build their own pipeline for the ANS to Alberta segment, and that the Project Team planned to meet with TCPL to determine what was their position on the Foothills Certificates.

[435] I also accept Mr. McMahon’s testimony that he specifically advised third-party pipelines owners that he was not representing potential shippers (namely producers or gas marketers), but pipeline owners (Exhibit AR-1, Joint Book of Documents, tab 22: meeting with Alliance Pipeline; tab 23: meeting with Enbridge; tab 24: meeting with TCPL; tab 33: meeting with Westcoast Energy Ltd.; tab 34: meeting with Williams; tab 30: meeting with Alliance Pipeline).

[436] Mr. Carruthers’ testimony also corroborated Mr. McMahon’s testimony. Referring to a Steering Committee Review of December 5, 2000, detailing the Project and to which the ERL program contributed information, Mr. Carruthers testified that one of the objectives was to evaluate a newly built concept from the ANS to Alberta and from Alberta to Chicago, and evaluate alternatives to a newly built system from Alberta to Chicago (Exhibit AR-1, Joint Book of Documents, tab 14). Regarding the segment from Alberta to Chicago, the Project Team was very interested in meeting with other pipelines owners to see if synergies were possible, and more particularly to meet with Alliance Pipeline to obtain their data because the pipeline route under the Project would be parallel to the Alliance Pipeline, which was built in May 2000.

iii. Activities carried out under the Feasibility Study

[437] The Respondent argues that the Appellant failed to carry out any activity related to the Feasibility Study, and therefore, the Appellant cannot be found to have a business and be pursuing profit.

[438] According to the Respondent, the work carried out under the Project was carried out by EMPC, IOL, and some third-party contractors, but none were carried out by the Appellant. Further, according to the Respondent, although the Appellant asserts that it contributed employees and office space to the Feasibility Study, the evidence adduced at trial showed that the Appellant did not make any such contribution.

[439] Whether the Appellant, by itself, carried out any specific activities under the Feasibility Study is irrelevant to the issue as to whether the Appellant has a source of business income under the Act. A taxpayer can hire contractors and subcontractors to perform activities under its name, as agent or otherwise, and still be found to carry on the activities.

[440] The activities performed under the Project consisted of multiple specific studies on various aspects of the Project, namely route comparisons, tolls and tariffs methodology, financing plans, structure of ownership of the potential pipeline, matters for regulatory applications (socio-economic, financing, gas supply, etc.), environmental assessment, landowner and right of ways, governmental affairs, technical aspects of the pipeline’s design and cost estimates, preliminary project execution plans, issues and risks management. As indicated above, all activities were described in numerous job books prepared by the Project Team and various contractors and subcontractors.

[441] Mr. McMahon testified that 90 employees from BP, Phillips and ExxonMobil were seconded to the Project, and that hundreds of independent contractors and subcontractors were hired to perform the various activities under the Feasibility Study, including engineering firms and construction companies specialized in that kind of work. Mr. McMahon also testified that the Appellant furnished personnel and managed the Project by working with Mr. Schilhab, the named representative of ExxonMobil’s interest in the Project at the Management Committee.

[442] Further, I accept Mr. McNamara’s testimony that a couple of persons from the Appellant’s Calgary organization were seconded to the Project, including Mr. Kubasek and another individual from their environmental department. During the Project, they did not report to Mr. McNamara, but to the Management Committee, which is a standard process in a multinational environment when specific projects are undertaken.

[443] Moreover, the evidence showed that feasibility studies are the norm in the industry and are to be done in megaproject developments, such as the Project.

[444] I accept Mr. Carruthers’ expert opinion dealing with the development of megaprojects using gate decision process that shows that the Feasibility Study undertaken under the Project is the norm for potential pipeline projects (Carruthers Expert Report, p. 13). For example, feasibility studies were completed at the outset of other proposed pipeline investments, such as the Alliance Pipeline, Northern Gateway Pipeline and Mackenzie Gas Pipeline.

[445] I also accept Mr. Carruthers’ opinion that a potential pipeline owner would undertake the type of activities performed by the parties under the Feasibility Study to advance a potential pipeline project to the regulatory authority application stage.

[446] According to Mr. Carruthers, pipeline projects qualifying as megaprojects are developed following a stage gate process which divides the major capital project investments into stages, with specific points for corporate executives and boards to make decisions before continuing to the next stages. Each gate assessment examines different issues and its own deliverables. Planning phases of megaprojects are referred to as front-end loading (“FEL”) process, and usually comprise three stages called FEL-1, FEL-2 and FEL-3. After each phase, parties will determine if they proceed further, which is called “decision-gate”. After the FEL-3 stage, decisions are made by the parties on whether or not to begin construction. If the parties decide to go ahead after the FEL-3 stage, the large financial commitments to commence construction are made. According to Mr. Carruthers, megaprojects never skip the FEL phases, since these phases are critical in obtaining stakeholders’ interest.

[447] As indicated by Mr. Carruthers, the Project was pursued under the FEL-1 phase, including some FEL-2 phase work which was the preparation for the NEB/FERC filing applications. The actual filing applications with the NEB/FERC are done at the FEL-3 stage. The FEL-1 stage is a critical component of project development best practices. It is undertaken to confirm strategic alignment, assess risk exposure, determine economic feasibility and confirm return on investment, establish expected key performance measures, and evaluate alternative options and approaches.

[448] Further, according to Mr. Carruthers, the Appellant and all other parties to the Project Agreement performed activities under the Feasibility Study to achieve the parties’ objective, which was to evaluate and progress a pipeline project to transport natural gas from the ANS into the Western Canada and the Lower-48 market hubs, and the activities were consistent with project management best practices, typical of third-party feasibility studies.

[449] Similarly, Mr. McMahon testified that the Project was pursued under the conceptual phase (other similar terminology), which involved defining the project and estimating costs.

[450] Mr. Carruthers also testified that the activities performed under the Project also aligned with NEB requirements for new pipeline development. The role of the NEB at the time was to determine if the potential pipeline was in the public interest, by assessing economic, environmental and social interests. If a project qualified under the NEB regulations, the NEB issued a certificate of public convenience and necessity. NEB regulation also extended to the commercial aspects of pipeline construction and operations, including tolls and the terms and conditions of service for these pipelines. In reviewing applications, the NEB considered and reviewed many factors, such as the project description, environmental and socio-economic assessment, public consultation processes, economic justification, safety and technical standards and any other relevant facts.

[451] In the case at bar, it is sufficient to establish that the Appellant paid its share of the aggregate feasibility study costs incurred for the Feasibility Study. As a result of the PACA Agreement, the Appellant agreed to pay, and did pay, a 22.67% share of the aggregate expenses borne by all participants under the Project Agreement.

[452] Further, the evidence showed that KPMG, as well as BP Alaska and Phillips Alaska, received notice of the assignment of EMPC’s Participating Interest in the Project Agreement to the Appellant. KPMG directly invoiced the Appellant based on its 22.67% Participating Interest in the Project Agreement. I accept Mr. McMahon’s testimony in that respect.

[453] For all these reasons, considering the nature of the Appellant’s business, the purpose and objective of the Project Agreement, the activities carried out under the Feasibility Study, and the absence of any personal or hobby element in the Feasibility Study to the Appellant, I find that the Appellant had a source of business income related to the Feasibility Study.

c) The Stewart test as rephrased by the Federal Court of Appeal

[454] When I apply the Stewart test as rephrased by the Federal Court of Appeal in Paletta Estate and Brown, I also find that the Appellant had a source of business income related to the Feasibility Study, because the Appellant was pursuing profit in undertaking the Feasibility Study. Numerous objective factors examined below show the Appellant’s intention to pursue profit in undertaking the Feasibility Study.

[455] The evidence showed that the Appellant could reasonably expect to make profit if the project progressed. In addition, as indicated in the previous section of these Reasons for Judgment, the Appellant had experience in carrying out pipeline businesses and was already involved in the oil and gas industry.

[456] Further, the evidence showed that the Appellant intended to benefit from the Project Agreement to the extent that the Project leads to a pipeline project in Canada; a potential benefit would be pipeline ownership of a segment of the projected pipeline in Canada, if the pipeline was built and if the ExxonMobil group owned an interest in the pipeline.

[457] The Respondent’s position, namely that the Feasibility Study was undertaken in pursuit of the producers’ profit and not in pursuit of the Appellant’s profit because the Appellant was not a producer and did not own any natural gas deposits in the ANS, cannot stand in light of the evidence adduced at the hearing.

[458] I acknowledge that according to Brown, it is not required to establish a predominant intention, but only that the Appellant pursued profit in undertaking the Feasibility Study (Brown, at para 35).

[459] As Mr. Carruthers’ expert testimony showed, pipeline owners get guaranteed returns from the tolls they charge to the shippers on the pipelines, as established by the NEB return on equity. Mr. Carruthers’ expert testimony showed that the Canadian owner of part of the projected pipeline would stand to profit if a pipeline was built. I accept Mr. Carruthers’ expert opinion on that issue, as his opinion was credible and uncontradicted.

[460] As I will discuss below, the Appellant had the potential to gain profits from NEB tolling regulations and from the licensing of the proprietary information acquired under the Project Agreement. I find that the Appellant was aware of these potential revenue streams and entered into the PACA Agreement with the intention to pursue these profits through undertaking the Feasibility Study.

[461] Further, for the following reasons, I find that the Project was not advancing under the Foothills Certificates, but advancing the Appellant’s business.

i. Pipeline structuring/ownership:

[462] To support its position, the Respondent argues that no commitment was made to the Appellant, or any other ExxonMobil entity, regarding any ownership or operation of a pipeline resulting from the Project.

[463] For the following reasons, I do not agree with the Respondent’s arguments.

  • (i)A Canadian affiliate of EM Corp. would be the owner of the Canadian segment of the projected pipeline, if constructed and if the ExxonMobil group had an ownership interest in the pipeline

[464] I find that a Canadian affiliate of EM Corp. was considered early in the Project, and as early as September 2000, to be the owner of the Canadian segment of the projected pipeline, if a pipeline was built and if the ExxonMobil group had an ownership interest in the pipeline.

[465] I accept Ms. DuCharme’s testimony that EM Corp. always owns pipelines or operates pipelines through affiliates located in countries where the pipelines are situated, to limit EM Corp.’s exposure to civil liability.

[466] According to Ms. DuCharme, as early as September 2000 there was consideration to include a Canadian ExxonMobil entity as part of the structuring of the projected pipeline.

[467] Further, when negotiating the terms of the Project Agreement in 2000, Ms. DuCharme testified that the PACA Agreement was contemplated. As indicated above, Ms. DuCharme was involved particularly with the negotiation and drafting of articles 9 and 10 of the Project Agreement, explaining that in large multinational groups like ExxonMobil, it was common to assign interests in various projects to affiliates (section 10.4 of the Project Agreement). However, restrictions as found in article 9 of the Project Agreement are put in place if a party wants to assign to third parties, because of liability issues.

[468] As indicated by Ms. DuCharme, because the projected pipeline would be located both in the USA and in Canada, a Canadian affiliate would own the Canadian portion of the pipeline, and a US affiliate would own the US portion of the pipeline. Ms. DuCharme raised additional reasons for that consideration, including differences in Canada and in the USA on issues regarding liabilities, regulatory matters, environmental matters and different partners in Canada and the USA as owners of the projected pipeline – e.g. First Nations in Canada and the State of Alaska in the USA.

[469] I also accept Mr. McMahon and Ms. DuCharme’s testimonies that under the Project, the parties thoroughly examined the structure to be used for the ownership of the projected pipeline, both in Canada and in the USA. However, the parties did not arrive at an agreement on the structure for the segment of the pipeline located in Canada.

[470] After December 5, 2000, Ms. DuCharme testified that she had many discussions with BP Alaska and Phillips Alaska on the structuring and the financing of the pipeline. She indicated that for EM Corp., the preferred structure in the USA was a Limited Liability Company, with EM Corp., BP Alaska and Phillips Alaska as shareholders. The US structure was all agreed upon by the parties, but the parties never agreed on the structure to be used on the Canadian side. They had very lengthy and contentious discussions on that matter.

[471] In Canada, EM Corp.’s preferred structure was a limited liability structure referred to as an “unincorporated joint venture” formed of limited partnerships, with Canadian affiliate entities of BP Alaska, Phillips Alaska and EM Corp. as partners in their own limited partnership. The Project Team commissioned Fraser Milner Casgrain for that task. Fraser Milner Casgrain prepared a document dated October 30, 2001, on the proposed Canadian structure for the Canadian segment of the pipeline as an unincorporated joint venture (Exhibit AR-1, Joint Book of Documents, tab 48).

[472] Ms. DuCharme testified that because Phillips Alaska did not have strong financial capacities at that time (prior to its merger with Conoco), the structuring of the Project was more complicated, as Phillips Alaska would need financing for the construction of the projected pipeline. However, both EM Corp. and BP Alaska did not need any financing. Further, because pipelines operate for a very long period (decades), parties involved in such a project always started by discussing the structuring of the pipelines and the financing of the project.

[473] On July 11, 2001, referring to a presentation made to Mr. Longwell, Ms. DuCharme testified that, in addition to analyzing economic costs for the Northern Route and the Southern Route, and concluding that the Northern Route was most economical (given the economies of scale: using two reservoirs, namely Prudhoe Bay and Mackenzie Delta), they continued having discussions on structuring and financing issues for the pipeline (Exhibit AR-1, Joint Book of Documents, tab 35).

[474] At that time in July 2001, there was no change in the plan: the parties wanted to build a pipeline, and they needed to know how to structure the project. However, according to Ms. DuCharme, misalignment with Phillips Alaska still existed on structuring in Canada, on how to engage the Alaska government and being reticent with the Northern Route.

[475] In addition, I accept Mr. Lamb’s testimony that in 2001, they were considering how to structure the pipeline ownership and discussing how the Canadian segment would be owned.

[476] Further, I accept Mr. Carruthers’ expert testimony on the NEB regulatory requirements which indicated that a Canadian entity would be used for owning the Canadian segment of the projected pipeline.

[477] According to Mr. Carruthers, under the NEB regulations, a Canadian entity is required to own the NEB certificate (a CBCA corporation or an entity created under an act of Parliament). Further, according to Mr. Carruthers, it was anticipated that a Canadian entity would be used in the Project because only development costs incurred in Canada, including feasibility study costs, would be included in the cost of service used to calculate tolls and tariffs for the projected pipeline under NEB regulations.

[478] Furthermore, although Mr. Kubasek was not involved in the structuring of the projected pipeline’s ownership, he testified that it would make sense that a Canadian entity would own the Canadian portion of the pipeline, as it was required by the NEB regulations, and the NEB would want to be able to regulate that entity. More particularly, Mr. Kubasek testified that if there was a hearing at the NEB, costs would have to be assigned to a Canadian entity because costs will enter into the calculation of the tariffs. Mr. McMahon testimony was to the same effect.

[479] I also accept Mr. McNamara’s testimony that the assignment of an interest under the Project by EMPC to a Canadian affiliate of ExxonMobil, for purposes of owning the Canadian segment of the projected pipeline, was decided around December 2000.

[480] Finally, in reaching my conclusion, I considered that the Integrated Economic Model included the various taxes in Canada and in the USA if a pipeline was built. Regarding the various taxes in Canada and in the USA, the Commercial program of the Project Team commissioned a note on taxation (Exhibit AR-1, Joint Book of Documents, tab 43). Under the review of the Canadian tax rules, I note that no branch tax consequences were considered, supporting the fact that a Canadian entity would be used to own the Canadian segment of the projected pipeline.

  • (ii)The PACA Agreement: the Appellant intended to be part of a pipeline project and be the owner of the Canadian segment of the projected pipeline, if constructed and if the ExxonMobil group had an ownership interest in the pipeline

[481] I do not agree with the Respondent that it was far from guaranteed that the Appellant would have been the chosen affiliate of EM Corp. to be the owner of an interest in the projected pipeline. For the following reasons, I find that the Appellant was considered very early in the process for being EM Corp.’s Canadian affiliate to own the Canadian segment of the projected pipeline.

[482] Further, I find that the evidence showed that the Appellant intended to be part of a pipeline project and be the owner of the Canadian segment of the pipeline, if constructed and if the ExxonMobil group had an ownership interest in the pipeline.

[483] The Respondent based their reasoning on the fact that the parent of the Appellant and IOL owned pipelines in Western Canada, and that the Appellant did not own any natural gas resources in the ANS. Further, the Respondent asserts that activities relating to the operation of pipelines and shipping of oil or natural gas in Western Canada were transitioned to IOL after the Merger. Therefore, in the Respondent’s view, the Appellant would not be the owner or operator of a pipeline in Western Canada.

[484] I accept Mr. Lamb, Mr. McNamara, Mr. McMahon and Ms. DuCharme’s testimonies that the decision to bring the Appellant as a participant in the Project was made at an early stage of the Project, namely between December 2000 and no later than February 2001. Witnesses gave a variety of reasons, including the fact that the Appellant already owned an interest in the Maritimes & Northeast Pipeline, and that the projected pipeline would be in Western Canada, under the western Canadian organization headed by Mr. McNamara.

[485] Mr. Lamb testified that as of February 2001, although the Appellant was already considered to be the assignee of EMPC’s Participating Interest under the Project Agreement, the decision was not yet finalized to bring the Appellant as a participant in the Project. However, before February 14, 2001, there would have been a management conceptual approval in place for the assignment of EMPC’s Participating Interest under the Project Agreement to the Appellant. The endorsement of the transaction by ExxonMobil management was done around April 2001, and the PACA Agreement was executed on June 15, 2001.

[486] Mr. Lamb also testified that sometime in March 2001, EM Corp. would have started drafting the PACA Agreement (Exhibit AR-1, Joint Book of Documents, tab 16). In support of that position, Mr. Lamb referred to an email exchange between him and Mr. Lowy (who was the leader of US tax for EM Corp.), referring to the Appellant as the Canadian participant in the Feasibility Study under the Project Agreement (Exhibit AR-1, Joint Book of Documents, tab 18).

[487] Furthermore, by May 2001, an advance funding commitment was requested by EMPC to Mr. Longwell in favour of the Appellant to finance the costs of the Appellant’s share of the feasibility costs under the Project Agreement (Exhibit AR‑1, Joint Book of Documents, tab 28).

[488] According to Mr. McNamara, from a business point of view, it made sense to execute the PACA Agreement, as pipelines made good returns regulated by the NEB. Further, because the pipeline would be in Western Canada, and the Appellant could bring synergies with its Mackenzie Delta operations where the Appellant owned interests in natural gas resources, it made sense to assign interests under the Project to the Appellant. Mr. McNamara also indicated that there were no impediments for the Appellant to own a pipeline.

[489] In addition, I accept Mr. McNamara’s testimony that an important issue under the Project was to determine which of the Southern Route or the Northern Route would be economically viable. Although the Appellant did not own any natural gas rights in the ANS, the Appellant owned interests in the Mackenzie Delta natural gas resources.

[490] Consistent with Mr. McNamara’s testimony, Mr. McMahon testified that under the Project Agreement, the parties were examining both the Southern Route and the Northern Route to make an informed decision as to which route would be the most economical to build a pipeline. The Project was studying the Southern Route, even though Foothills was claiming exclusivity in Canada under the Foothills Certificates, as discussed above. Moreover, the Project was studying the Northern Route, because it was 700 miles shorter than the Southern Route. However, the logistics for that route were less known.

[491] I also accept Mr. McMahon’s testimony that he became aware that the PACA Agreement was negotiated around April 2001. According to him, it was important for EMPC to have a Canadian affiliate involved in the Canadian segment of the pipeline. Furthermore, the NEB regulations require a Canadian entity to file NEB applications. Mr. McMahon testified that the rationale for concluding the PACA Agreement was that EMPC wanted the resources, expertise and knowledge of the Appellant in Canada, particularly in dealing with NEB applications.

[492] I also accept Mr. McMahon’s testimony that because EMPC assigned 68% of its one-third Participating Interest in the Project Agreement to the Appellant under the PACA Agreement, and the Appellant paid the Feasibility Study Costs, the Appellant would have the right to own the Canadian portion of Project, namely: the Canadian segment of the pipeline from the ANS to Alberta, the NGLs plant if it was built in Canada, and the Canadian segment of the pipeline from Alberta to Chicago.

[493] Further, according to Mr. McMahon, if no pipeline was built, the Appellant would still get the data from the Feasibility Study carried out under the Project.

[494] In that respect, the preamble to the PACA Agreement states:

WHEREAS, the parties expect that EMRL will benefit to the extent that the Project Agreement leads to a pipeline project in Canada and the parties expect EMPC to benefit to the extent that the Project Agreement results in a pipeline project in Alaska and lower-48, the parties intend for EMRL to pay for the joint venture costs associated with the Canadian portion of the pipeline study and for EMPC to pay for the joint venture costs associated with the U.S. portion of the pipeline study…

[495] The Appellant received information, furnished personnel, and managed the Project by working with EMPC’s Management Committee member. As indicated by Mr. McMahon, the Appellant benefited from the proprietary information received under the Project Agreement by licensing data to the parties under the Mackenzie Gas Project in 2003 (Exhibit AR-1, Joint Book of Documents, tab 99) and again in 2009-2010 by contributing the data under the TransCanada Pipeline Joint Venture.

[496] The Respondent argues that pipeline companies (or owners) were excluded from the Project, unless they added value to it. However, it was clear from the credible testimony of Ms. DuCharme, that documentary evidence relied upon by the Respondent to make that argument was referring to third-party pipeline owners, and not to the Appellant nor to any affiliates of EM Corp. (Exhibit AR-1, Joint Book of Documents, tab 25).

[497] Moreover, according to Ms. DuCharme, because the Appellant owned an interest in natural gas resources in the Mackenzie Delta through the EMCP Partnership, and because it already owned an interest in the Maritimes & Northeast Pipeline, it made sense for the Appellant to be the Canadian affiliate used for the Project (Exhibit AR-1, Joint Book of Documents, tab 1). Further, according to Ms. DuCharme’s testimony, she was working with BP Alaska and Phillips Alaska to arrive at a resolution for the structuring of the pipeline, both in Canada and in the USA, as soon as the Project started in December 2000.

[498] In support of their position that it was far from guaranteed that the Appellant would be the Canadian affiliate chosen to own the Canadian segment of the pipeline, the Respondent also referred to the 2002 AGP Agreement (dated April 1, 2002) between BP Alaska, Phillips Alaska and EMPC, whereby no assignment of any interest was made in favour of the Appellant (Exhibit AR-1, Joint Book of Documents, tab 145). However, in that respect, I accept Mr. McMahon’s testimony that because all activities to be performed under the 2002 AGP Agreement listed in Attachments A to E were in Alaska, no assignment of interest was made in favour of a Canadian entity such as the Appellant.

[499] In addition, as indicated above, I accept that the Original Services Agreement was in place during the relevant period.

  • (iii)Events that occurred after 2001

[500] In coming to the conclusion that EM Corp. generally uses Canadian affiliates to own Canadian portion of pipelines, and further that the Appellant was considered very early in the process to become EM Corp.’s Canadian affiliate to own the Canadian segment of the projected pipeline, I also took into account events that occurred after 2001, although I put less weight on these facts.

[501] Following the termination of the Project Agreement, the evidence shows that EM Corp. used Canadian affiliates to own Canadian segments of projected pipelines. The evidence also showed that the Appellant was considered in some projects. I accept Mr. McMahon’s testimony in that respect. Further, contemporaneous documentation shows that the Appellant was considered for some of the future projected pipelines.

[502] According to Mr. McMahon, after the termination of the Project Agreement, the parties were still looking at more fiscal certainty with the State of Alaska. In 2005, EM Corp., BP Alaska, and ConocoPhillips worked together under the Stranded Gas Development Act enacted by the State of Alaska, trying to obtain more fiscal certainty with Alaska. EM Corp., BP Alaska and ConocoPhillips had discussions on the structuring of the pipeline, including Canadian entity structuring (Exhibit AR-1, Joint Book of Documents, tab 104, Canadian Entity Structuring Issues dated March 2, 2005). Again, the parties were aligned on the US structure but had to work on the Canadian structure, proposing either a limited partnership or an unincorporated joint venture structure.

[503] Further, on September 21, 2005, the same parties had discussions on Canadian structuring issues regarding the projected pipeline (Exhibit AR-1, Joint Book of Document, tab 105 – Alaska North Slope Pipeline – Canadian Structure). The parties questioned again as to whether a limited partnership or an unincorporated joint venture should be used. The document shows that Canadian affiliates of the three parties would be part of the Canadian structure.

[504] During the summer of 2006, they presented a draft agreement to the State of Alaska under the Stranded Gas Development Act, which was however never executed.

[505] In 2006, new legislation called the Alaska Gasline Inducement Act was enacted by the State of Alaska. EM Corp., BP Alaska and ConocoPhillips did not agree on terms, but a draft agreement was prepared again in 2007, which draft agreement refers to a BP Alaska affiliate, a ConocoPhillips affiliate and an ExxonMobil affiliate (Exhibit AR-1, Joint Book of Documents, tab 110). Hence, it was considered that affiliates would own interests in the projected pipeline, and it was also anticipated that the joint work done under the Project would be contributed to that new project.

[506] The document prepared in 2005/2006 entitled “Alaska Gas resources and Major Producers”, contains a description of the state of the industry at that time (Exhibit AR-1, Joint Book of Documents, tab 107). In addition, the Canadian structure to be used in a projected pipeline is discussed and specifically shows the Appellant as the specific affiliate of EM Corp. as a party to the unincorporated joint venture.

[507] In addition, in a document entitled “Project Summary for a proposed Gas Pipeline Project – May 10, 2006”, prepared by BP Alaska, ConocoPhillips and ExxonMobil to brief the Alaskan officials at the Department of Revenue, the Appellant was considered as the Canadian affiliate of EM Corp. to own the Canadian part of the project (Exhibit AR-1, Joint Book of Documents, tab 108).

[508] Around 2009-2010, when ExxonMobil stood alone because BP Alaska and ConocoPhillips decided to work together for the Denali Pipeline Project under the Alaska Gasline Inducement Act, ExxonMobil explored a possible joint venture with TCPL. TCPL had obtained a license under the Alaska Gasline Inducement Act to build a pipeline. At that time, TCPL owned Foothills, and the Foothills Certificates were still valid.

[509] In a document entitled “Alaska Pipeline Project, Development phase, proposal sub-phase, work program and budget dated May 5, 2009” describing the project scope which included a pipeline from the ANS to Alberta, EM Corp. is referred to as including certain of its affiliates (Exhibit AR-1, Joint Book of Documents, tab 112).

[510] Finally, the document entitled “Amended and Restated Alaska Gas Pipeline Interim Project Agreement dated October 29, 2010”, between TCPL, TransCanada Alaska Development Inc., ExxonMobil Alaska Midstream Gas Investments, LLC and the Appellant (which is the TransCanada Pipeline Joint Venture) was not finalized as there were another shift in the energy industry, due to new fracking technology permitting the economic recovery of natural gas (Exhibit AR-1, Joint Book of Documents, tab 113). Given the abundance of natural gas, the price went down. Because the forecast tolls to be paid for shipping gas on the pipeline was more than the market price of natural gas, the parties did not proceed with this pipeline project. The data from the Project was also intended to be contributed to this joint project.

[511] Then, after that time, according to Mr. McMahon, and referring to a consensus in industry, the next concept was to pursue an LNG project. BP Alaska, ConocoPhillips and ExxonMobil, together with the State of Alaska, shared that view. Further, TCPL was involved. So, the five parties went through the preliminary feed phase, engineering phase, and the preliminary, front-end engineering design phase. However, the Appellant was not involved in that project because the project was based only in Alaska, and there were no Canadian assets involved.

ii. The Project was not advancing under any of the Foothills Certificates, but advancing the business of the Appellant

[512] As indicated above, the Respondent argues that the Project was not advancing the business of the Appellant, because, inter alia, Foothills had exclusivity to develop a pipeline from the ANS to Alberta under the Foothills Certificates. For the following reasons, I do not agree with the Respondent’s argument.

[513] The evidence adduced at trial shows that the Project Team was not advancing under any of the Foothills Certificates, and if a pipeline was built, Foothills would not have been the owner of the Canadian segment of the pipeline, but the Appellant would have been, if the ExxonMobil group had an ownership interest in the pipeline.

[514] Mr. Carruthers’s testimony, which was credible and reliable, carries a lot of weight in my findings. According to Mr. Carruthers, in 2000, the assumption was that the Project would be assessed and developed by the three partners, namely EMPC, BP Alaska and Phillips Alaska, and their Canadian affiliates. Mr. Carruthers stated that the Foothills Certificates were issued under the ANGTA and the NPA (Canada). He explained that only phase 1 of the pipeline project from Alberta to Chicago and from Alberta to California was built. Phase 2 of the pipeline, which is a pipeline from the ANS following the Alaska TransCanada Highway to Alberta, was never built. Foothills had operated a pipeline since 1982 and kept renewing its Certificates under the ANGTA and NPA annually, hoping that the ANS natural gas would be developed in the future. As explained by Mr. Carruthers, the NPA offered a quick regulatory process in Canada for the ANS natural gas, which process was parallel to the NEB regulatory process.

[515] However, I accept Mr. Carruthers’ testimony that under the Project, the assumption was that regulatory applications would be filed under the NEB and FERC, and that the Project Team would not use any of the Foothills Certificates.

[516] Further, Mr. Carruthers testified that the Project Team was working under the Project on the basis that Foothills did not have exclusivity to build a pipeline from the ANS to central Alberta. The position of the FERC was that a certificate could be issued either under the Natural Gas Act, or the ANGTA, even with the Foothills Certificates in place. The NEB would also entertain an application for a pipeline on a similar route. Mr. Carruthers further stated that other entities pursued the development of an Alaska pipeline project, like Enbridge. TCPL, as the owner of Foothills, also recognized that it had competition (Exhibit A-9, NEB Reasons for Decision, TransCanada PipeLines Limited, RH-4-2001, June 2002, at p. 18).

[517] In support of his testimony, Mr. Carruthers referred to documentary evidence, namely the presentations made to both the NEB and FERC in November 2000, to apprise the regulatory bodies of the Project, including the parties’ intent to file regulatory applications for the projected pipeline by the second half of 2001 (Exhibit AR-1, Joint Book of Documents, tabs 11 and 8).

[518] Further, Mr. Carruthers referred to the Steering Committee Review dated December 5, 2000, where the work planning basis for the Project is outlined as including a target objective to file regulatory applications with the FERC and the NEB by the second half of 2001 (Exhibit AR-1, Joint Book of Documents, tab 14).

[519] In addition, as discussed above, the Foothills Certificates carried large financial liability.

[520] I also accept Mr. McMahon’s testimony on the commercial issues and financial liabilities carried out under the Foothills Certificates to conclude that the Project was not advancing the Foothills project, as mentioned above. Further, according to Mr. McMahon, the Project Team had received advice from both the NEB and FERC that they would each accept a pipeline application from the Project Team regarding the ANS natural gas, despite the Foothills Certificates. Mr. McMahon stated that a full-time program on the Project Team was looking at ways to bring the natural gas out of Alberta. Foothills had already built a pipeline from Alberta to San Francisco and from Alberta to Chicago, but it was fully used. Further, Alliance had already built an NGL plant in Chicago, but it was fully prescribed, so there was no possibility to use it to ship gas.

[521] Ms. DuCharme also testified that the participants under the Project Agreement were not advancing the Foothills project, but their own project (namely, the project of BP Alaska, Phillips Alaska, EMPC and their affiliates). Mr. Lamb’s testimony was to the same effect.

[522] Ms. DuCharme further indicated that because of EM Corp.’s strong financial position, the Appellant would not have needed third-party financing to finance the construction of the pipeline, if the construction had gone ahead.

[523] Mr. Lamb testified similarly. According to Mr. Lamb, the Appellant had the necessary background and expertise (technical, environmental) and financial ability to build the pipeline through EM Corp. funds. I accept Mr. Lamb’s testimony that the Appellant would have had the financial capacity to build the pipeline considering it would have been able to borrow from EM Corp., subject to Canadian tax rules.

iii. Return for participating in the Project if a pipeline was built

[524] The Respondent also argues that the Feasibility Study Costs were not related to any pursuit of profit by the Appellant because the objective of the PACA Agreement was to share costs, and not to share profits. The Respondent referred to an email between Mr. Lowy and Mr. Lamb where it was said that the PACA Agreement did not create a partnership under US laws because there was no profit sharing (Exhibit AR-1, Joint Book of Document, tab 18).

[525] For the following reasons, I do not accept the Respondent’s argument.

[526] According to Mr. Carruthers’ expert opinion, at this stage of a megaproject gate process, only costs are incurred by participants. In the pipeline industry, pipeline owners earn revenue only when the pipeline is put into service, when shippers pay tolls and tariffs to ship the gas on the pipeline. Mr. Carruthers testified that the Alliance Pipeline, Mackenzie Gas Project, Foothills Pipelines and Northern Gateway Pipelines all made similar investments at the feasibility study stage.

[527] Further, for the following reasons, I find that if a pipeline had been built, the Appellant would have earned a return on equity invested in the construction of the pipeline. According to the credible and consistent testimonies of various witnesses, pipelines in Canada are regulated by the NEB and make good returns.

[528] More particularly, as indicated by Mr. McMahon, in owning the Canadian segment of the pipeline, the Appellant would have earned a return on equity as regulated by the NEB from parties shipping natural gas on that segment of the pipeline.

[529] Also, Mr. Carruthers testified as an expert on returns that pipeline owners get under the NEB regulations. His testimony was credible and not contested by any witness. Since deregulation of the industry around 1985, pipeline owners are purely transporters of natural gas. Pipeline owners do not take commodity risks, nor do they explore for, develop or own the resources shipped on the pipeline. Pipeline owners will get a return on the equity put in the construction and operation of the pipeline, as regulated by the NEB.

[530] As indicated by Mr. Carruthers, the return for a potential pipeline owner is well established in Canada and subject to extensive stakeholders and regulatory review and approval. The pipeline owners will earn a risk-weighted return on the equity invested. Pipeline owners bear the risks, and the NEB recognizes those risks when reviewing tolls and tariffs. None of the pipeline owners’ regulatory risk and return relates to gas deposit ownership.

[531] Further, according to Mr. Carruthers’ expert opinion, the Feasibility Study Costs allocated to the Appellant under the PACA Agreement was a small fraction of the potential benefits of owning a pipeline in the order of 0.006 of the long-term return on equity expected to be received by the Appellant. Using the Minister’s assumptions, Mr. Carruthers calculated that if construction of the pipeline went ahead, the Appellant would invest approximately $4.5 billion in the construction of the projected pipeline (that is 68% of one-third interest in total costs of $20 billion). Assuming a 30% equity and a NEB-approved rate of return of 12% on equity, the annual equity return for the Appellant would be $162 million. Over the life of the pipeline (40 years), the equity return would be $6.5 billion.

iv. Other benefits for participating in the Project

[532] For the following reasons, I also find that the Appellant obtained additional benefits for participating in the Project, other than an expectation of being the owner of the Canadian segment of the pipeline, if the pipeline was built and if the ExxonMobil group had an ownership interest in the pipeline.

[533] As indicated by Mr. Carruthers, because the participants in the Project spent 125 million USD in the Feasibility Study, they obtained a lot of valuable information on how to build a pipeline and apply to the NEB and the FERC, which information was all collected in the various job books, including the Restart Manual.

[534] I also accept Mr. McMahon’s testimony that the Appellant received all job books prepared under the Project.

[535] Further, the evidence showed that the Appellant licensed the data received under the Project to the Mackenzie Gas Project’s participants in 2003, as the Appellant was allowed to do under the Project Agreement.

[536] Paragraph 8.2.1 of the Project Agreement provides that:

All Project Information shall be held in confidence by the Parties as set forth in Paragraphs 8.2.2 and 8.2.3 below. Following termination of this Agreement, each Party may freely use, copy, disclose, publish, distribute, license or otherwise transfer all or any part of the Project Information to any third party, without restriction and without accounting to each other or any third party therefor.

[537] Effective June 17, 2003, an agreement was entered into to license certain confidential and proprietary data from the Feasibility Study to parties to the Mackenzie Gas Project (Exhibit AR-1, Joint Book of Documents, tab 99). The Appellant reported licensing income of $1,031,022 in its taxation year ending November 30, 2004.

[538] In 2009-2010, the evidence also showed that the Appellant contributed the data received under the Project to the TransCanada Pipeline Joint Venture.

2) Paragraph 18(1)(a)

[539] Having found that the Appellant had a source of business income relating to the Feasibility Study, the next issue is to determine whether paragraph 18(1)(a) applies to limit the deductibility of the Feasibility Study Costs in computing the Appellant’s business income for the 2001 Taxation Year.

[540] Paragraph 18(1)(a) reads as follows:

18(1) In computing the income of a taxpayer from a business or property no deduction shall be made in respect of

(a) an outlay or expense except to the extent that it was made or incurred by the taxpayer for the purpose of gaining or producing income from the business or property;

18(1) Dans le calcul du revenu du contribuable tiré d’une entreprise ou d’un bien, les éléments suivants ne sont pas déductibles :

a) les dépenses, sauf dans la mesure où elles ont été engagées ou effectuées par le contribuable en vue de tirer un revenu de l’entreprise ou du bien;

[541] According to the Respondent, the Feasibility Study Costs were not made or incurred by the Appellant for the purpose of gaining or producing income from any of its business and are therefore not deductible because of the application of the limiting provision in paragraph 18(1)(a).

[542] In support of its position, the Respondent argues that the Appellant had no business related to the Feasibility Study Costs, because the Appellant had no natural gas assets to develop on the ANS. Further, the Respondent argues that until the producers decided to proceed with a pipeline to transport the ANS natural gas to market through Canada and committed to using that pipeline to transport their gas, the Appellant had no potential to earn income.

[543] I do not agree with the Respondent’s arguments.

[544] For the following reasons, I find that the Feasibility Study Costs were made or incurred by the Appellant for the purpose of gaining or producing income from the Appellant’s business, which business includes various pipelines interests and pipeline development and were properly deductible in computing the Appellant’s business income. There were sufficient business connections between the Feasibility Study Costs and the Appellant’s business, and therefore, the limitation provided for in paragraph 18(1)(a) is not applicable. Accordingly, the Appellant is entitled to deduct the Feasibility Study Costs in computing its business income.

[545] I find that the Respondent conflated the source test by relying on Paletta Estate and Brown for the application of paragraph 18(1)(a), which is incorrect.

[546] As stated in Stewart, the deductibility of an expense is not to be confused with a source analysis, and the profitability of the activity to which the expense relates does not affect the deductibility of the expense; further, when the deductibility of an expense is in question, the issue is the relationship between the expense and the source to which it purportedly relates (Stewart, at paras 56 to 58).

[547] Under paragraph 18(1)(a), in addition to showing that an expense was made or incurred, which is not at issue in this appeal, the Appellant must demonstrate a sufficient business connection between the expense and its business.

[548] In addition, the test under paragraph 18(1)(a) is not whether an expense was made or incurred for the purpose of “earning income”, but whether the expense was made or incurred for the purpose of “gaining or producing income”. An earlier version of paragraph 18(1)(a) refers to “earning of income” as the test, but that paragraph was changed. The test now refers to whether an expense was made or incurred for the purpose of “gaining or producing income”, which is a different test. Further, case law has found that an expense is deductible even when it resulted in a loss (Symes, at para 57).

[549] The Feasibility Study Costs were made or incurred by the Appellant pursuant to the Appellant’s legal obligation to pay for these costs under the PACA Agreement, as provided for in the Project Agreement. The Respondent did not argue that the transaction between the Appellant and EM Corp. was a sham, nor that the Project Agreement was a sham.

[550] Further, KPMG, as named business coordinator under the Project, invoiced the Appellant for the feasibility study costs borne under the Project Agreement, in proportion to the Appellant’s Participating Interest in the Project Agreement, as established under the PACA Agreement, that is 22.67%. The Appellant was responsible for its share of the costs borne under the Project Agreement and paid the Feasibility Study Costs accordingly.

[551] As indicated by this Court in Laurentian Bank of Canada v. The Queen, 2020 TCC 73:

[45] In The Queen v. Burns, the Federal Court of Appeal held that to incur an expense, the taxpayer must have been obliged to pay the amount of money. The Federal Court of Appeal stated as follows in this regard:

In our opinion, an expense, within the meaning of paragraph 18(1)(a) of the [Act] is an obligation to pay a sum of money. An expense cannot be said to be incurred by a taxpayer who is under no obligation to pay money to anyone.

[Emphasis added.]

[552] Under paragraph 18(1)(a), an expense will not be deductible in computing a taxpayer’s business income unless it was incurred by the taxpayer for the purpose of gaining or producing income from the business. The purpose is a question of fact and does not need to be exclusive, primary or dominant (Symes, at paras 34-41).

[553] Further, according to the Supreme Court, where purpose or intention is to be ascertained under the Act, a court “should objectively determine the nature of the purpose, guided by both subjective and objective manifestations of purpose” (Ludco Enterprises Ltd. v. The Queen, 2001 SCC 62, at para 54).

[554] In Symes, the Supreme Court provided guidance to determine whether a particular expense was incurred for the purpose of gaining or producing income: (i) whether the deduction is ordinarily allowed as business expense by accountants; (ii) whether the expense would have been incurred if the taxpayer was not engaged in the pursuit of business income; (iii) whether the expense is one normally incurred by others in the same business; and (iv) whether the need for the expense exist apart from the business (applying a business-need test) (Symes, at paras 41 to 44).

[555] Applying the test above in Symes, I find that the Feasibility Study Costs: (i) would ordinarily be allowed as a business expense by accountant; (ii) would not have been incurred by the Appellant if the Appellant was not engaged in the pursuit of business income; (iii) are normally incurred by others in the same business; and (iv) would not be needed apart from the Appellant’s business.

[556] In addition, the following factors show a sufficient business connection to the Appellant’s business for incurring the Feasibility Study Costs.

[557] As indicated in the previous section of these Reasons for Judgment, I find that the Project’s purpose was to evaluate a potential pipeline project for transporting natural gas from the ANS to Western Canada and the Lower-48. I did not find that the Project was a producers’ study as argued by the Respondent.

[558] Further, by entering into the PACA Agreement, the Appellant was obtaining a proportionate share of the rights, benefits and rewards arising in connection with the Project Agreement and obtained the potential right to own the Canadian segment of the pipeline, if the projected pipeline was built and if ExxonMobil group owned an interest in the pipeline. It was a business opportunity for the Appellant, as pipelines make good returns. In addition, if no pipeline was built, the Appellant got the rights to all information created under the Project.

[559] Moreover, the Appellant, as a participant under the Feasibility Study, obtained a copy of the numerous job books prepared by the Project Team and the various contractors and subcontractors. I accept Mr. McNamara’s testimony that the Appellant got a copy of all job books prepared under the Feasibility Study, including the Restart Manual, that contained all data derived from the Feasibility Study (Exhibit AR-1, Joint Book of Documents, tabs 81, 87 and 90). Mr. McNamara’s testimony was corroborated by Mr. McMahon and Mr. Carruthers’ testimonies.

[560] The Appellant licensed the data obtained through its participation in the Project to the Mackenzie Gas Project in 2003 and later contributed the data in 2009-2010 under the TransCanada Pipeline Joint Venture.

[561] I also find that the Appellant was made aware of the Project’s advancement, as shown by Mr. McNamara’s testimony. I do not agree with the Respondent that the role of Mr. McNamara, as president of the Appellant, was limited to signing the PACA Agreement.

[562] Although the evidence showed that Mr. McNamara had no formal role in the Feasibility Study, Mr. McNamara received periodic updates on the advancement of the Feasibility Study. Mr. Kubasek or Mr. Schilhab also provided updates on the Project while having informal discussions with him. Furthermore, Mr. McNamara received copies of the minutes of the Management Committee meetings (Exhibit AR-1, Joint Book of Documents, tab 68). Mr. McNamara would have known if major decisions were taken by the Management Committee.

[563] Moreover, Mr. McNamara would be aware of the Project’s updates as he was involved in making regular report updates on the Project to the senior management of EM Corp., namely Mr. Longwell and Mr. Sikkel (Exhibit AR-1, Joint Book of Documents, tabs 25, 35, 37 and 44).

[564] However, because the Project was a feasibility study, I accept Mr. McNamara’s testimony that there were not many major decisions taken during this phase because feasibility studies deal with cost estimates, materials to be used, routes, compressors’ location, etc. Mr. Carruthers’ testimony is to the same effect.

[565] As indicated in the previous section of these Reasons for Judgment, I found the evidence showed that the Appellant had experience in carrying out pipeline businesses and was already involved in the oil and gas industry. More specifically, the evidence showed that the Appellant carries on business of exploring for, and producing and selling, crude oil and natural gas in Canada. Further, the Appellant also carries on the business of natural resources transportation through its ownership and operatorship of various pipelines. Accordingly, as argued by the Appellant, a pipeline to transport natural gas was clearly within the scope of the Appellant’s activities in the oil and gas industry.

[566] In addition, I find that the Project Team was evaluating both the Southern Route following the Alaska Highway, and the Northern Route, through the Mackenzie Delta and following the Mackenzie Valley. The evidence showed that the Appellant owned natural gas resources interests in the Mackenzie Delta.

[567] Further, as indicated by Mr. Carruthers’ expert testimony, feasibility studies are normally undertaken by entities involved in megaprojects, and feasibility studies are the norm in the industry. The credibility and reliability of Mr. Carruthers’ expert opinion was not challenged. Furthermore, the Respondent did not adduce any evidence to show otherwise.

[568] In the case at bar, the evidence showed that the Project qualifies as a megaproject and that the Project Team followed the megaproject gate decision process. Feasibility studies would normally then be undertaken as a necessary step in progressing the Project. Specifically, the Project was at the FEL-1 phase (and partly in FEL-2), which includes feasibility studies. I therefore find that feasibility study costs would normally be incurred by entities involved in the development of pipeline project which qualifies as a megaproject. I also find that in accordance with megaproject gate process, the Appellant was taking steps in advancing, owning and operating the Canadian portion of the projected pipeline, if built and if the ExxonMobil group owned an interest in the pipeline.

[569] As indicated above, the Appellant was chosen early on as the Canadian affiliate of EM Corp. to own the Canadian segment of the projected pipeline. According to regulatory framework, as opined by Mr. Carruthers, the ownership and operatorship of the Canadian portion of the pipeline are required to be housed in a Canadian entity so that feasibility costs are appropriately taken into account in the tolls and tariffs at the NEB level.

[570] Further, as found above, the Project Team was not advancing under the Foothills Certificates, as the participants under the Project Agreement were of the view that there was no exclusivity to Foothills for the development of the ANS natural gas resources. I accept the evidence adduced at the hearing that the Project Team made a presentation to the NEB and FERC in November 2000 and obtained an assurance that the NEB and FERC would consider regulatory applications for the development of a pipeline from the ANS to Alberta and the Lower-48.

[571] In addition, the Feasibility Study Costs were not personal expenses to the Appellant, as acknowledged by the Respondent, and would not have been incurred by the Appellant in the absence of its business activities described above.

[572] For all these reasons, I find that the Feasibility Study Costs were made or incurred by the Appellant in further advancing its business, which business includes pipelines interests and the development of pipeline projects. There were sufficient business connections between the Feasibility Study Costs and the Appellant’s business to allow the deduction of the Feasibility Study Costs in the computation of the Appellant’s business income for the 2001 Taxation Year.

IV. Transfer pricing issues: section 247

[573] The Court must determine whether paragraphs 247(2)(b) and 247(2)(d) apply to deny the deduction of the Feasibility Study Costs, or in alternative, whether paragraphs 247(2)(a) and 247(2)(c) apply to adjust the deduction of the Feasibility Study Costs to zero.

1. The Law

[574] The relevant part of subsection 247(2) as it read in 2001 states:

247(2) Where a taxpayer … and a non-resident person with whom the taxpayer … does not deal at arm’s length are participants in a transaction or a series of transactions and

(a) the terms or conditions made or imposed, in respect of the transaction or series, between any of the participants in the transaction or series differ from those that would have been made between persons dealing at arm’s length, or

(b) the transaction or series

(i) would not have been entered into between persons dealing at arm’s length, and

(ii) can reasonably be considered not to have been entered into primarily for bona fide purposes other than to obtain a tax benefit,

any amounts that, but for this section and section 245, would be determined for the purposes of this Act in respect of the taxpayer … for a taxation year … shall be adjusted (in this section referred to as an “adjustment”) to the quantum or nature of the amounts that would have been determined if,

(c) where only paragraph 247(2)(a) applies, the terms and conditions made or imposed, in respect of the transaction or series, between the participants in the transaction or series had been those that would have been made between persons dealing at arm’s length, or

(d) where paragraph 247(2)(b) applies, the transaction or series entered into between the participants had been the transaction or series that would have been entered into between persons dealing at arm’s length, under terms and conditions that would have been made between persons dealing at arm’s length.

247(2) Lorsqu’un contribuable… et une personne non-résidente avec laquelle le contribuable… a un lien de dépendance… prennent part à une opération ou à une série d’opérations et que, selon le cas:

a) les modalités conclues ou imposées, relativement à l’opération ou à la série, entre des participants à l’opération ou à la série diffèrent de celle qui auraient été conclues entre personnes sans lien de dépendance,

b) les faits suivants se vérifient relativement à l’opération ou à la série:

(i) elle n’aurait pas été conclue entre personnes sans lien de dépendance,

(ii) il est raisonnable de considérer qu’elle n’a pas été principalement conclue pour des objets véritables, si ce n’est l’obtention d’un avantage fiscal,

les montants qui, si ce n’était le présent article et l’article 245, seraient déterminés pour l’application de la présente loi quant au contribuable… pour une année d’imposition… font l’objet d’un redressement de façon qu’ils correspondent à la valeur ou à la nature des montants qui auraient été déterminés si:

c) dans le cas où seul l’alinéa a) s’applique, les modalités conclues ou imposées, relativement à l’opération ou à la série, entre les participants avaient été celles qui auraient été conclues entre personnes sans lien de dépendance;

d) dans le cas où l’alinéa b) s’applique, l’opération ou la série conclue entre les participants avait été celle qui aurait été conclue entre personnes sans lien de dépendance, selon des modalités qui auraient été conclues entre de telles personnes.

2. Applicable Principles

1) General overview of the transfer pricing rules

[575] In GlaxoSmithKline v. R., 2012 SCC 52 [GlaxoSmithKline SCC], the Supreme Court provided guidance on how to apply the transfer pricing rules. Although this decision covered former subsection 69(2), I agree with this Court’s conclusion in McKesson Canada Corp v. R., 2013 TCC 404 [McKesson] (at para 121) that these principles are relevant for purposes of applying subsection 247(2) even if the wording is different.

[576] In GlaxoSmithKline SCC, the Supreme Court provided the following comments:

[61] …. First, s. 69(2) uses the term “reasonable amount”. This reflects the fact that, to use the words of the 1995 Guidelines, “transfer pricing is not an exact science” (para. 1.45). It is doubtful that comparators will be identical in all material respects in almost any case. Therefore, some leeway must be allowed in the determination of the reasonable amount. As long as a transfer price is within what the court determines is a reasonable range, the requirements of the section should be satisfied. If it is not, the court might select a point within a range it considers reasonable in the circumstances based on an average, median, mode, or other appropriate statistical measure, having regard to the evidence that the court found to be relevant….

[62] Second, while assessment of the evidence is a matter for the trial judge, I would observe that the respective roles and functions of Glaxo Canada and the Glaxo Group should be kept in mind…. Transfer pricing should not result in a misallocation of earnings that fails to take account of these different functions and the resources and risks inherent in each…..

[63] Third, prices between parties dealing at arm’s length will be established having regard to the independent interests of each party to the transaction. That means that the interests of Glaxo Group and Glaxo Canada must both be considered. An appropriate determination under the arm’s length test of s. 69(2) should reflect these realities.

[Emphasis added.]

[577] Whether the terms and conditions of a transaction differ from those that would have been made between persons dealing at arm’s length under subparagraph 247(2)(a) requires a judge to consider all transactions, characteristics, and circumstances (including risks, resources, functions, etc.) that are relevant (McKesson, at para 120). The Organisation for Economic Co‑operation and Development (“OECD”) guidelines, including OECD methodology or commentary, are not controlling, and the test to any transaction or prices must be determined according to the Act (GlaxoSmithKline SCC, at para 20; McKesson, at para 120).

[578] Further, the arm’s length price under the transfer pricing rules must be determined having regards to the independent interest of each party to the transaction. The application of the transfer pricing rules is not an exact science (GlaxoSmithKline SCC, at para 61). So long as the transfer price is within a reasonable range, the requirements of the transfer pricing rules should be satisfied.

[579] In Canada v. Cameco Corporation, 2020 FCA 112 [Cameco FCA], the most recent Federal Court of Appeal decision to deal with the transfer pricing rules, the Federal Court of Appeal emphasized the background and preconditions for subsection 247(2) when it stated (at paras 28-30):

[28] Parliament added Part XVI.1 – Transfer Pricing to the Act to address issues related to transactions between a Canadian taxpayer and a non-arm's length person in another jurisdiction. In particular, a Canadian corporation could effectively shift profit to a lower tax jurisdiction by selling goods or providing services to a wholly-owned subsidiary in another jurisdiction for an amount that is less than the amount that would be paid in an arm's length transaction or by buying goods or services from that subsidiary for an amount that is greater than the amount that would be paid in an arm's length transaction.

[29] Any adjustments that are to be made under this Part of the Act are made under subsection 247(2) of the Act. The opening part of this subsection sets out the general condition for its application: “[w]here a taxpayer ... and a non-resident person with whom the taxpayer ... does not deal at arm's length ... are participants in a transaction or series of transactions”….

[30] If this condition in the opening part of subsection 247(2) of the Act is met, the next question is whether the conditions in paragraphs 247(2)(a) or (b) of the Act are satisfied.

[Emphasis added.]

2) Transfer pricing rules: paragraphs 247(2)(a) and 247(2)(c)

[580] The purpose of paragraphs 247(2)(a) and 247(2)(c) was described by the Federal Court of Appeal in General Electric Capital Canada Inc. v. R., 2010 FCA 344 [GE Canada] as follows:

[54] The concept underlying subsection 69(2) and paragraphs 247(2)(a) and (c) is simple. The task in any given case is to ascertain the price that would have been paid in the same circumstances if the parties had been dealing at arm's length. This involves taking into account all the circumstances which bear on the price whether they arise from the relationship or otherwise.

[55] This interpretation flows from the normal use of the words as well as the statutory objective which is to prevent the avoidance of tax resulting from price distortions which can arise in the context of non arm's length relationships by reason of the community of interest shared by related parties. The elimination of these distortions by reference to objective benchmarks is all that is required to achieve the statutory objective. Otherwise all the factors which an arm's length person in the same circumstances as the respondent would consider relevant should be taken into account.

[Emphasis added.]

[581] In Agracity Ltd. v. The Queen, 2020 TCC 91 [Agracity], the Court commented on the scope of paragraphs 247(2)(a) and 247(2)(c) and indicated that these provisions require the Court to consider whether the terms and conditions of the parties’ transaction would have been agreed to by arm’s length parties, and if not, what would be the terms and conditions that arm’s length parties would have agreed to (at para 22).

[582] In McKesson (at para 119), the Court commented on the function of the mid‑amble of subsection 247(2) and how the activation of paragraph 247(2)(a) would be used to apply paragraph 247(2)(c), stating that if “the “terms and conditions” do so differ, then the “amounts” that would otherwise be used by the taxpayer for purposes of the Act shall be “adjusted” to the “quantum or nature” of the amounts that would have been determined had the “terms and conditions” been those that arm’s length parties would have agreed to.

[583] In addition, case law indicates that although adjustments under paragraph 247(2)(c) do not allow for a recharacterization of the transaction, they are not strictly limited to pricing (McKesson, at para 126; Agracity, at para 23).

[584] Consequently, meeting the requirement of paragraph 247(2)(a) requires a finding that the terms and conditions of the parties’ transaction differ from those that would have been agreed to by arm’s length parties. If paragraph 247(2)(a) applies, then paragraph 247(2)(c) instructs the Court to determine what terms and conditions arm’s length parties would have agreed to. The amounts that would otherwise be used by the taxpayer should be adjusted to the “quantum or nature” of the amounts determined based on the “terms and conditions” that arm’s length parties would have agreed to.

3) Transfer pricing rules: paragraphs 247(2)(b) and 247(2)(d)

[585] Both subparagraphs 247(2)(b)(i) and 247(2)(b)(ii) must be satisfied for paragraph 247(2)(d) to apply to any given transaction.

[586] Subparagraph 247(2)(b)(i) “raises the issue of whether the transaction … would have been entered into between persons dealing with each other at arm’s length (an objective test based on hypothetical persons) – not whether the particular taxpayer would have entered into the transaction … with an arm’s length party (a subjective test)” (Cameco FCA, at paras 43-44, 82).

[587] Subparagraph 247(2)(b)(i) will only be satisfied if it is determined that “no arm’s length persons would have entered into the transaction … under any terms and conditions” (Cameco FCA, at para 44).

[588] Therefore, the question that must be answered under subparagraph 247(2)(b)(i) is whether any hypothetical arm’s length persons would have entered into the transaction under any terms and conditions. The analysis under subparagraph 247(2)(b)(i) is not a speculative exercise but involves an objective assessment of the commercial rationality of the transaction, which assessment may be aided by expert evidence (Cameco Corporation v. The Queen, 2018 TCC 195 [Cameco TCC], at para 714).

[589] Subparagraph 247(2)(b)(ii) will be satisfied when it is determined that the “transaction … can reasonably be considered not to have been entered into primarily for bona fide purposes other than to obtain a tax benefit”.

[590] At the relevant time, the term “tax benefit” was defined under subsection 247(1) as meaning “a reduction, avoidance or deferral of tax or other amount payable under this Act or an increase in a refund or tax or other amount under this Act”.

[591] In Cameco TCC, the Court relied on the Supreme Court’s interpretation of the similarly worded former subsection 245(3) in Canada Trustco Mortgage Co. v. Canada, 2005 SCC 54 [Canada Trustco] (at paras 28-29) to state that subparagraph 247(2)(b)(ii) requires a weighting of the evidence to “make an objective assessment of the relative importance of the driving forces behind the transaction or the series to determine whether it is reasonable to consider that the transaction or the series was not entered into primarily for bona fide purposes other than to obtain a tax benefit” (Cameco TCC, at para 694).

[592] When the requirements of both subparagraphs 247(2)(b)(i) and (ii) are met, paragraph 247(2)(d) applies. The Court must then “replace the transaction … with the transaction …. that would have been entered into between persons dealing with each other at arm’s length” (Cameco FCA, at para 53). Under paragraph 247(2)(d), the transaction or series can be recharacterized, rather than adjusting the terms and conditions as if paragraphs 247(2)(a) and (c) were to apply.

[593] Moreover, the Federal Court of Appeal held that the same arm’s length persons should be considered under both paragraphs 247(2)(b) and 247(2)(d) (Cameco FCA, at para 52). Further, the Federal Court of Appeal also held that paragraph 247(2)(d) contemplates replacing the transaction with some other transaction, but not with nothing (Cameco FCA, at para 53).

3. Overview of the Positions of the Parties

1) The Appellant

[594] According to the Appellant, paragraphs 247(2)(a) and 247(2)(b) do not apply to the PACA Agreement, and no adjustment or recharacterization is necessary under paragraphs 247(2)(c) and 247(2)(d).

[595] The Appellant relies on the lay witnesses’ testimony, the expert evidence and testimony of Mr. Greg Noble and Mr. Caton Walker of Ernst & Young LLP (Mr. Noble and Mr. Walker, together being referred to as “EY experts” or “EY”), and the expert evidence and testimony of Mr. Carruthers.

[596] Both Mr. Noble and Mr. Walker were qualified as transfer pricing experts. Mr. Noble and Mr. Walker prepared an Expert Report dated January 6, 2025 (Exhibit A-10, “EY Expert Report”), and a Rebuttal Report dated February 6, 2025 (Exhibit A-13, “EY Rebuttal Report”).

[597] As indicated above, Mr. Carruthers was qualified as an expert on pipeline project development and pipeline regulatory matters. Mr. Carruthers prepared the Carruthers Expert Report (Exhibit A-3) and the Carruthers Rebuttal Report (Exhibit A-6).

[598] Further, the Appellant relies on the complete failure of the Respondent’s transfer pricing experts to undertake the requisite transfer pricing analysis.

[599] According to the Appellant, the sole non-arm’s length transaction that could be reviewed under section 247 is the PACA Agreement, and more specifically, the consideration paid by the Appellant to EMPC for the acquisition of 68% of EMPC’s one-third Participating Interest in and to the Project Agreement. Once the Appellant acquired that interest, all rights, benefits, obligations, costs (including the Feasibility Study Costs), rewards, risks and liabilities arose under the Project Agreement. The Project Agreement is an arm’s length agreement and cannot not be reviewed under section 247.

[600] The Appellant argues that the expert evidence provided by EY and by Mr. Carruthers supports the position that paragraphs 247(2)(a) and 247(2)(c) do not apply to the PACA Agreement. Consequently, no adjustments to the PACA Agreement should be made under paragraph 247(2)(c).

[601] Further, the Appellant denies that the PACA Agreement would not have been entered into by notional arm’s length persons and also denies the PACA Agreement can reasonably be considered not to have been entered into primarily for bona fide purposes other than to obtain a tax benefit.

[602] Therefore, the PACA Agreement should not be recharacterized under subparagraphs 247(2)(b) and 247(2)(d).

[603] According to the Appellant, the expert opinion provided by Dr. Thomas Horst, namely the expert proposed by the Respondent in this appeal, was purely speculative, and should be given no weight, as, inter alia, there was no comparable transaction considered to suggest what arm’s length persons would have done.

2) The Respondent

[604] The Respondent’s primary transfer pricing assessing position is the application of paragraphs 247(2)(b) and 247(2)(d). The Respondent argues paragraphs 247(2)(a) and 247(2)(c) apply as their alternative transfer pricing assessing position.

[605] The Respondent submits that they do not intend to take any position as to whether paragraphs 247(2)(a) and 247(2)(b) could both apply to the same transaction and whether this would lead to the application of paragraph 247(2)(d).

[606] The Respondent relies upon the expert evidence adduced by Dr. Horst at the hearing. Dr. Horst and Mr. Thomas Meyer prepared numerous expert reports for this appeal. At the hearing, only Dr. Horst testified. Dr. Horst was qualified as an expert in transfer pricing.

[607] The following expert reports were filed in evidence: Expert Report dated December 27, 2024 (Exhibit R-3; “Horst Expert Report”); Rebuttal of EY Transfer Pricing Report dated February 5, 2025 (Exhibit R-7, Horst Rebuttal of EY Report”); Rebuttal of Carruthers Expert Report dated February 5, 2025 (Exhibit R-11); Surrebuttal of EY Rebuttal Report dated March 6, 2025 (Exhibit R-15, “Horst Surrebuttal of EY Rebuttal Report”); Surrebuttal of Carruthers Rebuttal Report dated March 6, 2025 (Exhibit R-19).

[608] The Respondent argues that parties dealing at arm’s length would not have entered into the PACA Agreement under any terms and conditions. Further, the PACA Agreement was entered into by the parties solely to save tax, as there were no other bona fide purposes to enter into the PACA Agreement.

[609] Instead of entering into the PACA Agreement, the Respondent argues that parties dealing at arm’s length would have entered into a fee-for-services agreement, if any transaction would have been entered into at all, bringing the Feasibility Study Costs to nil.

[610] In the alternative, if the Court does not find that paragraphs 247(2)(b) and 247(2)(d) apply, the Respondent argues that paragraphs 247(2)(a) and 247(2)(c) apply, requiring also a downward adjustment of the Feasibility Study Costs to zero.

[611] Relying on Dr. Horst’s expert opinion, the Respondent takes issue with three specific terms under the PACA Agreement (paragraphs 2, 4, and 6). The Respondent argues that these terms differ from those terms that would have been entered into had the Appellant and EM Corp. been dealing at arm’s length. Although changes may be made to paragraphs 2 and 4, there is no way to bring paragraph 6 within a range that arm’s length parties would consider acceptable.

[612] Finally, the Respondent took issue with numerous sections of the EY Expert Report and with some parts of the expert evidence provided by Mr. Carruthers, which I will discuss below.

4. Analysis

[613] The preamble of subsection 247(2) requires that a taxpayer and a non-resident person with whom the taxpayer does not deal at arm’s length be participants in a transaction or series of transactions before applying any of paragraphs 247(2)(a), 247(2)(b), 247(2)(c), or 247(2)(d).

[614] The parties agreed to the following for purposes of the transfer pricing issue in this appeal:

  • (i)the Appellant and EM Corp. (acting through its division EMPC) did not deal at arm’s length with each other at the relevant time;

  • (ii)the PACA Agreement is the transaction to be reviewed; and

  • (iii)the Appellant and EM Corp. were participants in the transaction.

[615] The requirements found in the preamble to subsection 247(2) are therefore met.

[616] At the hearing, the Respondent made it clear that its primary assessing position for purposes of the transfer pricing rules was based on the application of paragraphs 247(2)(b) and 247(2)(d). In the alternative, the Respondent argued that paragraphs 247(2)(a) and (c) apply to the PACA Agreement. The Respondent also indicated that no sham arguments are being raised in this appeal.

[617] The issues are therefore whether paragraphs 247(2)(b) and 247(2)(d) apply and alternatively, whether paragraphs 247(2)(a) and 247(2)(c) apply to the PACA Agreement.

[618] For the following reasons, I find that the evidence clearly showed that the transfer pricing provisions do not apply to the PACA Agreement. Consequently, there should be no adjustment to, and no recharacterization of, the transaction under either paragraph 247(2)(c) or paragraph 247(2)(d).

[619] I find that the Appellant provided convincing lay and expert evidence showing that the transfer pricing provisions do not apply to the facts in this appeal.

[620] On the other hand, I find that the Respondent did not provide satisfactory evidence to demonstrate, on a balance of probabilities, that its allegations and positions should be maintained in the case at bar.

[621] For the reasons detailed below, I find that Dr. Horst’s expert opinion should be given very limited weight by the Court. Dr. Horst did not provide any comparable transactions but made assertions which were not verified and made unsupported conclusions on what arm’s length parties would or would not do.

[622] I also find that part of Dr. Horst’s testimony and opinions were not within his sphere of transfer pricing experience and therefore, Dr. Horst’s opinion was unpersuasive with respect to feasibility studies and megaprojects development, and what arm’s length parties would or would not do, as more fully explained below.

[623] Further, the expert opinion provided by EY as well as the expert opinion provided by Mr. Carruthers were credible and persuasive, and therefore, I find that a lot of weight should be given to their respective expert evidence.

1) Overview of the weight to be given to the expert opinions

a) The transactional recognition principle

[624] In the Horst Expert Report, Dr. Horst premised that he was allowed to determine the reality behind the PACA Agreement in applying the arm’s length principle, relying on paragraph 1.39 of the OECD Guidelines to support this assumption (in these Reasons for Judgment, the OECD Guidelines are the “Transfer Pricing Guidelines for Multinational Enterprises and Tax Administrations” from the OECD dated July 1995).

[625] Paragraph 1.39 of the OECD Guidelines reads as follows:

1.39 Associated enterprises are able to make a much greater variety of contracts and arrangements than can unrelated enterprises because the normal conflict of interest which would exist between independent parties is often absent. Associated enterprises may and frequently do conclude arrangements of a specific nature that are not or are very rarely encountered between unrelated parties. This may be done for various economic, legal, or fiscal reasons dependent on the circumstances in a particular case. Moreover, contracts within an MNE could be quite easily altered, suspended, extended, or terminated according to the overall strategies of the MNE as a whole and such alterations may even be made retroactively. In such instances tax administrations would have to determine what is the underlying reality behind a contractual arrangement in applying the arm’s length principle.

[626] Relying on that paragraph, Dr. Horst stated that the underlying reality of the PACA Agreement was that EMPC assigned to the Appellant 100% of EMPC’s one-third Participating Interest in the Project Agreement pertaining to the Canadian segments of the pipeline, not 68% of EMPC’s one-third Participating Interest in the Project Agreement pertaining to the combined Canadian and US segments of the pipeline (Horst Expert Report, p. 56, as corrected in the Horst Surrebuttal of EY Rebuttal Report, p. 5). Dr. Horst then proceeded to analyse the PACA Agreement on that basis.

[627] However, the PACA Agreement provides for an assignment to the Appellant of “68% of EMPC’s one-third Participating Interest in and to the rights, duties, benefits, obligations, costs, rewards, risks, and liabilities arising in connection with the Project Agreement” (paragraph 2). The assignment under the PACA Agreement is an assignment of a proportionate share of the Participating Interest of EMPC in and to the Project Agreement as a whole. EMPC and the Appellant intended for the Appellant to pay for the joint venture costs associated with the Canadian portion of the pipeline study and for EMPC to pay for joint venture costs associated with the US portion of the pipeline study. Costs associated with the Canadian portion of the pipeline study were aggregated by KPMG and billed to the Appellant. I also accept Mr. Lamb’s testimony that that was the business deal between EMPC and the Appellant.

[628] Further, on that same premise, Dr. Horst opined that the PACA Agreement should be recharacterized as a fee-for-services agreement between EMPC and the Appellant, where EMPC would authorize the Appellant to act as EMPC’s agent to file for permits to do environmental work in Canada, which agreement would have been consistent with the arm’s length principle (Horst Expert Report, p. 69).

[629] As indicated in the OECD Guidelines, there are two possible exceptions to the transactional recognition general principle as described in paragraphs 1.36 and 1.37:

1.36 A tax administration’s examination of a controlled transaction ordinarily should be based on the transaction actually undertaken by the associated enterprises as it has been structured by them, using the methods applied by the taxpayer insofar as these are consistent with the methods described in Chapters II and III. In other than exceptional cases, the tax administration should not disregard the actual transactions or substitute other transactions for them. Restructuring of legitimate business transactions would be a wholly arbitrary exercise the inequity of which could be compounded by double taxation created where the other tax administration does not share the same views as to how the transaction should be structured.

1.37 However, there are two particular circumstances in which it may, exceptionally, be both appropriate and legitimate for a tax administration to consider disregarding the structure adopted by a taxpayer in entering into a controlled transaction. The first circumstance arises where the economic substance of a transaction differs from its form. In such a case the tax administration may disregard the parties’ characterisation of the transaction and re-characterise it in accordance with its substance.... The second circumstance arises where, while the form and substance of the transaction are the same, the arrangements made in relation to the transaction, viewed in their totality, differ from those which would have been adopted by independent enterprises behaving in a commercially rational manner and the actual structure practically impedes the tax administration from determining an appropriate transfer price.

[Emphasis added.]

[630] According to EY, none of the exceptions to the application of the transactional recognition principle as found in the OECD Guidelines were met in the present case. Further, EY opined that by failing to respect the transactional recognition principle, Dr. Horst incorrectly recharacterized the PACA Agreement as a fee-for-services agreement under paragraph 247(2)(d) (EY Rebuttal Report, p. 19).

[631] I agree with EY’s conclusions and expert evidence.

[632] In Cameco FCA, the Federal Court of Appeal considered both exceptional circumstances described in the OECD Guidelines and provided guidance on their potential application to paragraphs 247(2)(b) and 247(2)(d):

[68] There are two circumstances identified in paragraph 1.37 of the 1995 Guidelines that would allow a tax administration to disregard a structure put in place by a taxpayer. As noted, “[t]he first circumstance arises where the economic substance of a transaction differs from its form”. There is no allegation in this appeal that the transactions undertaken did not reflect the substance of the transactions. This was essentially the sham argument that was raised before the Tax Court and which the Tax Court Judge rejected. As noted above, the Crown has not appealed this finding.

[69] The second circumstance identified in the 1995 Guidelines “arises where, while the form and substance of the transaction are the same, the arrangements made in relation to the transaction, viewed in their totality, differ from those which would have been adopted by independent enterprises behaving in a commercially rational manner and the actual structure practically impedes the tax administration from determining an appropriate transfer price”. In this case, there is no indication that the structure, as implemented, impeded the determination of an appropriate transfer price. There is nothing to indicate or suggest that the structure impeded either the Canada Revenue Agency’s or the Tax Court Judge’s ability to determine the appropriate transfer price. The Tax Court Judge was able to determine the value of the Tenex and Urenco agreements when they were entered into and whether the prices at which the uranium was sold by Cameco to CEL “were well within an arm’s length range of prices” (paragraph 856 of his reasons).

[Emphasis added.]

[633] As indicated above, the Respondent did not raise any sham argument in this appeal, and therefore, the first exception to the transactional recognition general principle described in the OECD Guidelines is not applicable.

[634] Further, as will be explained in the analysis of subparagraph 247(2)(b)(i) below, none of the requirements for applying the second exception are found in this appeal. No evidence was adduced at the hearing showing that the structure as implemented by the parties impeded the determination of an appropriate transfer price, and that the PACA Agreement was not commercially rational.

[635] In arriving at my findings, I also recognized the weight to be given to the OECD Guidelines, which guidelines are not controlling, but the provisions of the Act are (GlaxoSmithKline SCC, at para 20).

[636] This appeal will ultimately turn on the application of the provisions of the Act to the PACA Agreement. Dr. Horst’s failure to properly apply the widely accepted interpretative aid of the OECD Guidelines, as well as his failure to review the PACA Agreement as drafted and intended by the parties, leads me to find that his expert opinion should be given very limited weight.

b) Shortcomings of Dr. Horst’s expert opinion

[637] I also find that Dr. Hort’s expert opinion should be given less weight for the following reasons.

[638] In the Horst Expert Report, Dr. Horst did not provide an industry analysis, a company analysis and a functional analysis, as instructed by the OECD Guidelines, but only provided a partial economic analysis. Dr. Horst testified that he was not asked by the Respondent to evaluate and rely on the OECD Guidelines. Dr. Horst stated that he was not asked to carry a transfer pricing analysis in exact accordance with the OECD Guidelines, but he was asked to answer three specific questions from the Respondent.

[639] I agree with EY that the failure by Dr. Horst to consider the building blocks (as called by EY, namely an industry analysis, a functional analysis and a company analysis) in the Horst Expert Report leads to an incomplete analysis of the PACA Agreement under the transfer pricing rules (EY Rebuttal Report, p. 10).

[640] Further, although Dr. Horst made an economic analysis, it was misapplied as there was no selection of a transfer pricing method and of a comparable transaction, and no consideration of any adjustment.

[641] In addition, as will be discussed below, the three questions asked to Dr. Horst were flawed questions, not in line with the wording of subsection 247(2).

[642] During the voir-dire, it was established that Dr. Horst is a prominent economist, having experience in oil pipeline regulatory issues representing the State of Alaska and oil pipeline shippers on tariff disputes at the FERC and at the Alaska regulatory board, as well as in transfer pricing disputes (tax planning, audit, documentation). However, Dr. Horst admitted he did not have experience with natural gas pipeline regulatory matters, but only with oil pipeline regulatory matters. Further, Dr. Horst testified that he did not have any experience with feasibility studies for pipeline projects and had no experience in relation to the FEL-1 to FEL-3 development stages of megaprojects and in relation to the oil and gas industry.

[643] Given Dr. Horst’s lack of experience regarding the stages of megaprojects development and his lack of experience with the oil and gas industry, I find that Dr. Horst’s opinion should be given less weight than EY and Mr. Carruthers’ expert opinions. I find that accepting Dr. Horst’s opinion on how parties would deal with feasibility study costs, either in an arm’s length or non-arm’s length situations, under a megaproject would be inappropriate, as Dr. Horst admitted he was not an expert in feasibility studies for pipeline projects and given his lack of consideration of comparable transactions.

[644] I also find that Dr. Horst’s expert opinion showed a lack of understanding of the Project Agreement and the PACA Agreement, and the resulting effects of these agreements on the parties involved.

[645] For example, when evaluating benefits under the Project, Dr. Horst testified that he did not turn his mind to paragraph 8.2.1 of the Project Agreement which allowed the Appellant to license the data obtained under the Project, after termination of the Project Agreement. As mentioned above, the Appellant licensed the data it obtained under the Project to the Mackenzie Gas Project in 2003 (Exhibit AR-1, Joint Book of Documents, tab 99) and contributed these data in 2009-2010 under the TransCanada Pipeline Joint Venture (Exhibit AR-1, Joint Book of Documents, tabs 112 and 113).

[646] Furthermore, Dr. Horst was not aware that the Appellant owned interest in natural gas resources in the Mackenzie Delta, which is part of the Northern Route, and that the Appellant was part of the Mackenzie Gas Project.

[647] Further, Dr. Horst did not consider section 9.2 of the Project Agreement which deals with the right of a party to withdraw from the Project Agreement, and the consequences arising from the ability to withdraw from the Project. As indicated above, because the Appellant stepped into the shoes of EM Corp. as an assignee, I find that the Appellant had the ability to withdraw from the Project.

[648] Moreover, as more fully discussed below, I find that the Horst Expert Report is factually flawed due to its reliance on the Integrated Economic Model which reflects “hindsight bias, since the Integrated Economic Model was not completed until February 2002 where the [PACA Agreement] was entered into in June 2001” (EY Rebuttal Report, p. 17).

[649] In addition, Dr. Horst’s expert opinion always refers to June 2001 as being the relevant date for the PACA Agreement, and his expert opinion. However, although the PACA Agreement was executed on June 15, 2001, all parties acknowledged that the PACA Agreement was effective December 5, 2000.

[650] As indicated in the previous section of these Reasons for Judgment, I find that the Appellant was identified very early in the process to be a participant under the Project, and more particularly no later than February 2001 with a conceptual management approval obtained before that date. The memorialization process started no later than March 26, 2001. The effective date of the PACA Agreement is December 5, 2000, and the Respondent had no issue with that date. I also accept the evidence that showed that cost estimates indicating that the Project may be nonviable were only received starting in the fall of 2001.

[651] Dr. Horst testified using December 5, 2000, instead of June 15, 2001, would not change his ultimate expert opinion. I find it very unlikely that Dr. Horst would not have modified or qualified his expert opinion had he considered the facts existing as of December 5, 2000, instead of June 15, 2001.

c) EY and Mr. Carruthers’ expert opinions

[652] The Respondent took issue with numerous sections of the EY Expert Report and the Carruthers Expert Report, in addition to other sections of their expert reports discussed more fully below. The Respondent asked that little weight be given to EY and Mr. Carruthers’ expert opinions.

[653] I do not agree with the Respondent.

[654] For the reasons below, and as it will be more fully discussed in the following sections of these Reasons for Judgment, I find that the expert opinion provided by EY and by Mr. Carruthers should be given a lot of weight by the Court, as both EY and Mr. Carruthers provided expert opinions which were credible and persuasive.

[655] The Respondent asserts that EY and Mr. Carruthers were not provided with all documents and evidence that was before the Court to opine appropriately, and further, questions which were asked by the Appellant to the experts were restrictive and subjective. I do not agree with the Respondent, as the questions asked to the experts were appropriate, and the expert reports and the testimonies of the experts showed their understanding of the transactions entered into by all parties.

[656] According to the Respondent, EY relied on the wrong provisions of the Act to carry out its transfer pricing analysis and gave undue weight to the OECD Guidelines. I do not agree with the Respondent. EY analyzed the transfer pricing provisions found in the Act and provided their expert opinion on their application to the present facts in this appeal, recognizing that the OECD Guidelines, including OECD methodology or commentary, were not controlling and the test to any transaction or prices must be determined according to the Act (GlaxoSmithKline SCC, at para 20; McKesson, at para 120).

[657] I find that EY provided a complete transfer pricing opinion respecting the arm’s length principle and applying the transactional recognition principle to the PACA Agreement.

[658] The Respondent also argues that EY were unaware of key documents that addressed the stated purpose of the PACA Agreement. I do not agree with the Respondent. EY analyzed the PACA Agreement, as informed by the Project Agreement. EY’s understanding of the Project and how a megaproject is advanced informs the opinion provided in the EY Expert Report and should be accepted by the Court.

[659] With respect to Mr. Carruthers’ expert testimony, the Respondent does not dispute Mr. Carruthers’ following testimony:

- the Project as defined in section 1 of the Project Agreement would be a megaproject and would be managed as such;

- that megaprojects are managed through a stage-gate or decision-gate process;

- that some work would be carried out at the front-end of a megaproject before a decision was made to proceed with the project; and

- that pipeline companies would participate in a pipeline megaproject at some point during the life of the project.

[660] However, the Respondent’s main concern with Mr. Carruthers’ expert testimony is the failure of Mr. Carruthers to appreciate the full effect and properly interpret paragraph 6 of the PACA Agreement. In the Respondent’s view, Mr. Carruthers failed to interpret paragraph 6 correctly.

[661] For the reasons discussed in the next section dealing with paragraph 6 of the PACA Agreement, I do not agree with the Respondent.

2) Paragraphs 247(2)(b) and 247(2)(d)

a) Subparagraph 247(2)(b)(ii): can the PACA Agreement reasonably be considered not to have been entered into primarily for bona fide purposes other than to obtain a tax benefit?
i. Positions of the parties:
  • (i)The Appellant

[662] The Appellant denies the PACA Agreement can reasonably be considered not to have been entered into primarily for bona fide purposes other than to obtain a tax benefit.

[663] Although the Appellant conceded that there was a tax benefit for the Appellant to enter into the PACA Agreement, namely a deduction of the Feasibility Study Costs, the PACA Agreement does not meet the requirement of subparagraph 247(2)(b)(ii), because it has been entered into primarily for bona fide purposes other than to obtain a tax benefit.

[664] According to the Appellant, the primary purpose of the PACA Agreement was to avoid subjecting EMPC to Canadian civil and tax jurisdiction and allow the Appellant to advance its entitlement to the Project.

[665] The Appellant argues that the testimony clearly demonstrated that the primary purpose of entering into the PACA Agreement was much more than one statement found in a funding request made to senior management “to capture the beneficial tax treatment associated with the Canadian portion of the line” (Exhibit AR-1, Joint Book of Documents, tab 28). Mr. Lamb, Mr. McMahon, Mr. McNamara and Ms. DuCharme all testified that the sole or primary purpose of the PACA Agreement was not to capture beneficial tax treatment associated with the Canadian portion of the pipeline.

[666] Further, the evidence showed that the Canadian portion of the pipeline needed to be owned by an ExxonMobil Canadian entity as a matter of EM Corp.’s policy to avoid civil liability exposure, as Ms. DuCharme testified. Furthermore, the Appellant would benefit from the ownership of the pipeline with the potential to earn significant revenues ($162 million per year as calculated by Mr. Carruthers). Even if the pipeline was not built, the Appellant was entitled to benefit from having rights to the information created by the Project.

[667] The evidence showed that the obtention of a tax benefit was not the driving force behind the transaction. The driving forces were to move the ANS natural gas from the ANS to Western Canada and the Lower-48. Further advancing a pipeline in a large corporate group that goes through countries is to everyone’s benefit, and the PACA Agreement recognized benefits to the Appellant to own a pipeline in Canada.

[668] The Appellant was chosen because it owned an interest in the Mackenzie Delta resources and had pipeline experience.

[669] Further, EY also opined that it was reasonable to conclude that the PACA Agreement is bona fide and has not been entered into primarily to obtain a tax benefit (EY Expert Report, p. 56).

  • (ii)The Respondent

[670] According to the Respondent, the PACA Agreement was entered into by the parties solely to save tax, as there were no other bona fide purposes to enter into the PACA Agreement. To support their position, the Respondent relied on various documents and other evidence adduced at the hearing, which I will examine below, as well as on Dr. Horst’s opinion as to the third question he was asked to opine on.

ii. Analysis:

[671] For the following reasons, I find that the PACA Agreement can reasonably be considered to have been entered into primarily for bona fide purposes other than to obtain a tax benefit. The requirement of subparagraph 247(2)(b)(ii) is therefore not met in this case.

[672] As indicated by the Supreme Court in Canada Trustco (at para 27), when dealing with subsection 245(3):

If there are both tax and non-tax purposes to a transaction, it must be determined whether it was reasonable to conclude that the non-tax purpose was primary.

[673] In Canada Trustco, the Supreme Court also recognized that tax and non-tax purposes can be intertwined in a particular transaction. It requires then a weighting of the evidence to make an objective assessment of the relative importance of the driving forces behind the transaction (Canada Trustco, at para 8; Cameco TCC, at para 694).

[674] Therefore, to determine whether the transaction could reasonably be considered not to have been entered into primarily for bona fide purposes other than to obtain a “tax benefit”, subparagraph 247(2)(b)(ii) requires a weighting of the evidence to make an objective assessment of the relative importance of the driving forces behind the transaction.

[675] I cannot just accept a statement by the Appellant that the PACA Agreement was undertaken primarily for a non-tax purpose, as I must weigh the evidence to determine whether it is reasonable to conclude that the PACA Agreement was not undertaken primarily for a non-tax purpose (Canada Trustco, at para 29).

[676] The Supreme Court had also recognized that the expression “non-tax purpose” has a broader meaning than the expression “business purpose” and referred for example to transactions arranged for family or investment purposes (Canada Trustco, at para 33).

[677] As indicated above, the Appellant had conceded the existence of a tax benefit, being the deduction of the Feasibility Study Costs, but had not conceded that that was the primary purpose for entering into the PACA Agreement.

[678] To support their position that there was no reason, other than achieving a tax benefit, for both parties to enter into the PACA Agreement, the Respondent relied on the following:

  • (i)An email dated February 2, 2001, where BP Alaska shared its plan with Phillips Alaska and EM Corp. to allocate a portion of its feasibility study costs to a Canadian affiliate, along with calculations of the tax benefits (Exhibit AR-1, Joint Book of Documents, tab 56);

  • (ii)By March 26, 2001, ExxonMobil tax group specialists were looking at the draft assignment agreement BP Alaska proposed to use to assign an interest in the Project Agreement to one of its Canadian subsidiaries (Exhibit AR-1, Joint Book of Documents, tab 16, pp. 5-7, and Mr. Lamb’s testimony);

  • (iii)By early April 2001, the potential strategy of assigning an interest to the Appellant was circulated among the ExxonMobil management personnel for approval and endorsement (Exhibit AR-1, Joint Book of Documents, tabs 18 and 55);

  • (iv)During the discovery process, the Appellant’s nominee, namely Mr. McMahon, confirmed that the reasons for EMPC’s allocation of feasibility study costs to the Appellant was a belief that the costs could be expensed in Canada, but not in the USA where the expenses would be capitalized and would only be deductible once the project was constructed;

  • (v)A request for funding made to Mr. Longwell on how the cost sharing structure of the PACA Agreement was made “to capture the beneficial tax treatment associated with the Canadian portion of the line” (Exhibit AR-1, Joint Book of Documents, tab 28);

  • (vi)The Project was a producer study, and the producers were trying to maintain control of the Project, as shown in a presentation made to Mr. Longwell (Exhibit AR-1, Joint Book of Documents, tab 25). Furthermore, Ms. DuCharme testified that EM Corp. would only allow a non-producer company if it could add value;

  • (vii)An email dated April 12, 2001, where Mr. C.W. Culver indicated that the purpose of the PACA Agreement was to avoid EM Corp. being subject to Canadian tax and/or civil jurisdiction (Exhibit AR-1, Joint Book of Documents, tab 26).

[679] Additionally, the Respondent relied on Dr. Horst’s answer to the third question he was asked to opine on by the Respondent (Horst Expert Report, p. 69):

Whether the transaction is one that parties dealing at arm’s length would have entered into, and whether that transaction can reasonably be considered to have been entered into solely to obtain a tax benefit.

[Emphasis added.]

[680] Dr. Horst opined that the PACA Agreement can reasonably be considered to have been entered into solely to obtain a tax benefit (Horst Expert Report, p. 70). To support his opinion, Dr. Horst referred to the documents listed above under (i) and (v), as well as an email from Mr. John Carr (Managing Project Counsel to the Project) dated March 22, 2001 and a memorandum from Fraser Milner Casgrain LLP dated March 5, 2001 (Exhibit AR-1, Joint Book of Document, tabs 16 and 56, and tab 38). I will discuss these documents further below.

[681] The Respondent seems to imply that the tax benefit in the present appeal includes not only the reduction of taxes or amount payable under the Act by the Appellant resulting from the deduction of the Feasibility Study Costs, which tax benefit was conceded by the Appellant, but also that a tax benefit would include EM Corp.’s objective to avoid Canadian tax jurisdiction, as part of its corporate policy. For the following reasons, I do not agree with the Respondent.

[682] At the relevant time, the expression “tax benefits” meant “a reduction, avoidance or deferral of tax or other amount payable under this Act or an increase in a refund or tax or other amount under this Act” (subsection 247(1); emphasis added).

[683] There are no assumptions in the Reply to the Notice of Appeal dealing with the existence of a tax benefit for transfer pricing purposes, other than paragraph 45ddd) dealing with the purpose of the PACA Agreement, which states:

The purpose of the Assignment Methodology – that is, the use of 68% as the allocation portion under the Assignment Agreement – was to capture the beneficial tax treatment associated with the Canadian portion of the Alaska Pipeline.

[684] At this stage of the Project, only costs were paid by the participants to the Feasibility Study in relation to costs for services performed by various third-party service providers and to costs for contributions made by the participants. No evidence was provided to show that if EM Corp. had paid the Feasibility Study Costs, which were feasibility study costs relating to the Canadian portion of the Feasibility Study, that EM Corp. would have reduced, avoided or deferred any tax or other amount payable under the Act. I find that, with respect to the facts of this case, EM Corp.’s objective to avoid Canadian tax jurisdiction would not be captured under the definition of “tax benefit” in subsection 247(1).

[685] Further, although avoiding Canadian tax jurisdiction may be construed as a tax purpose, I find that, in this appeal, that objective is part of the overreaching business purposes of EM Corp. to avoid both Canadian civil and tax jurisdiction, in accordance with EM Corp.’s corporate policy. As indicated by Ms. DuCharme, in accordance with EM Corp.’s policy to avoid any civil liability exposure, a Canadian entity would be the owner of the Canadian segment of the pipeline.

[686] Therefore, for the purposes of this analysis, I consider that the sole “tax benefit” under subsection 247(1) was the “reduction … of tax or other amount payable under the Act…” as a result of the deduction of the Feasibility Study Costs by the Appellant.

[687] Subparagraph 247(2)(b)(ii) refers to the word “primarily”. I find that just because the Appellant obtained a tax benefit by entering into the PACA Agreement, that does not mean that the primary purpose of the PACA Agreement was to obtain a tax benefit.

[688] To make a determination under subparagraph 247(2)(b)(ii), I also consider the purpose of the Project Agreement, which informs the purpose of the PACA Agreement. The purpose of the Project Agreement was to advance and progress a potential pipeline from the ANS to Western Canada and the Lower-48, within a regulated industry that is lucrative.

[689] Considering the evidence adduced at the hearing, I do not agree with the Respondent that the sole reason for entering into the PACA Agreement was to achieve a tax benefit. Further, I do not find that achieving a tax benefit outweighs the business and investment purposes for entering into the transaction. In other words, for the following reasons, I find that the business and investment purposes described below were the primary purposes for entering into the PACA Agreement as these purposes greatly outweigh the tax purpose for entering into the PACA Agreement.

[690] I find that the evidence showed, on a balance of probabilities, that the business and investment purposes described below were the primary purposes for entering into the PACA Agreement, all being primary business and investment purposes for entering into the PACA Agreement and all being non-tax purposes:

  • (i)For EM Corp.: to avoid Canadian civil jurisdiction;

  • (ii)For EM Corp.: to avoid Canadian tax jurisdiction; and

  • (iii)For the Appellant: to progress its entitlement to the Project.

[691] In coming to my conclusion, I also consider that the driving forces behind the PACA Agreement was to move the ANS natural gas from the ANS to Western Canada and the Lower-48, which are of benefit to the ExxonMobil group, as informed by the Project Agreement.

[692] Further, entering into the PACA Agreement allowed the Appellant to advance its entitlement to the Project. As will be discussed in the following section of these Reasons for Judgment, the Appellant expected to benefit from obtaining 68% of EMPC’s one-third Participating Interest in the Project Agreement. If a pipeline was built, the Appellant would benefit from ownership of a segment of the pipeline (if the ExxonMobil group had an ownership interest in the pipeline) with the potential to earn significant revenues, namely $162 million per year as described by Mr. Carruthers.

[693] In addition, even if a pipeline was not built, the Appellant was entitled to benefit from having rights to the information and data created by the Project, which the Appellant licensed to the Mackenzie Delta Project in 2003 and further contributed to the TransCanada Pipeline Joint Venture in 2009 and 2010.

[694] Obtaining these rights and benefits allowed the Appellant to advance its entitlement to the Project. I find that this business purpose or investment purpose is very important for the Appellant and outweighs the tax purposes identified above for entering into the PACA Agreement.

[695] Referring to the request for funding made to Mr. Longwell where it is indicated that the cost sharing under the PACA Agreement was made to “capture the beneficial tax treatment associated with the Canadian portion of the line”, and although Mr. Lamb testified that that sentence was a reference to the different tax treatment of feasibility study costs in Canada and in the USA, I accept Mr. Lamb’s testimony that the overall tax position of the ExxonMobil group is always of concern (Exhibit AR-1, Joint Book of Documents, tab 31). Mr. Lamb, Mr. McMahon, Mr. McNamara and Ms. DuCharme all testified that the sole or primary purpose of the PACA Agreement was not to capture beneficial tax treatment associated with the Canadian portion of the pipeline. I accept their testimonies.

[696] I also accept Mr. Lamb’s testimony that one of the primary reason for entering into the PACA Agreement was because, as a matter of corporate policy, EM Corp. does not do business in foreign jurisdictions and, in these particular circumstances, EM Corp. wants to avoid any risk that it be considered to carry on business in Canada, with the result that it may be subject to tax in Canada.

[697] Mr. Lamb further stated that entering into the PACA Agreement represented a business opportunity for the Appellant to invest in a segment of a pipeline that would be regulated by the NEB and would set a guaranteed rate of return. Mr. McNamara testified similarly, and I accept their testimonies.

[698] Mr. McMahon testified that it was important for EM Corp. to have a Canadian affiliate involved in the Canadian segment of the pipeline. Furthermore, according to Mr. McMahon, a Canadian entity is required because NEB applications must be filed by a Canadian entity.

[699] Further, contemporaneous communication (emails listed above as referred to by the Respondent) as well as additional testimonies showed that EM Corp. does not do business in Canada and did not want to take the risk that it would be considered as carrying on business in Canada.

[700] As indicated above, the credible testimony of Ms. DuCharme clearly established that the Canadian portion of the pipeline needed to be owned by an ExxonMobil Canadian entity as a matter of EM Corp.’s policy to avoid civil liability exposure.

[701] An email exchange between Mr. Lamb, Mr. Mike Morin (from ExxonMobil Canada) and Mr. Peter Lowy (from EM Corp.) shows that ExxonMobil was aware of the risk of creating a permanent establishment and wanted to structure the PACA Agreement to avoid that result (Exhibit AR-1, Joint Book of Documents, tab 18 at p. 1-2). This email is also an illustration of the corporate policy that EM Corp. follows of not wanting to be subject to Canadian tax jurisdiction.

[702] Further, the evidence that EM Corp. does not do business in Canada is illustrated by the following email dated March 22, 2001, dealing with the filing for field permits in Canada, which Dr. Horst referred to when he opined on the third question. In that email, Mr. Carr, as legal Counsel for the Project Team, stated that (Exhibit AR-1, Joint Book of Document, tab 56):

It is my understanding that [EM Corp.] does not do business in Canada, and accordingly would not want to participate in making a permit filing if that would cause any risk of becoming subject to taxation.

[Emphasis added.]

[703] This email also corroborates the credible testimony of Ms. DuCharme on EM Corp.’s corporate policy and how EM Corp. structures its operation and investment ownership in foreign jurisdictions. Therefore, I find that this email shows that one of the primary non-tax purposes for entering into the PACA Agreement was to avoid any risk that EM Corp. would be considered to carry on business in Canada and, and as a potential result, be subject to Canadian tax jurisdiction.

[704] Dr. Horst assumed that the memorandum from Fraser Milner Casgrain LLP dated March 5, 2001 was in response to Mr. Carr’s email and was a tax opinion explaining to Phillips Alaska that an assignment similar to the PACA Agreement was not necessary to avoid being subject to Canadian tax and civil jurisdiction (Exhibit AR-1, Joint Book of Document, tab 38).

[705] However, Dr. Horst’s assumption that this memorandum was prepared in response to Mr. Carr’s email is wrong as the memorandum was dealing with the recovery of costs at the NEB and was not dealing with tax matters. Given the content of Fraser Milner Casgrain’s memorandum, I find that Dr. Horst’s opinion on this issue should be given no weight.

[706] I also relied on the email from Mr. Culver dated April 12, 2001, which specifically indicates that (Exhibit AR-1, Joint Book of Documents, tab 26):

[B]ecause we do not want to subject Exxon Mobil Corporation to Canadian tax and/or civil jurisdiction we will notify the other participants (BP and Phillips) of the partial assignment to EMRL of EMPC’s interest. We will also notify KPMG of the partial assignment so they can bill EMRL directly for the portion of the project agreement cost related to work involving the Canadian portion of the project. Furthermore, any Canadian permits will be taken in the name of EMRL, not EMPC….

[Emphasis added.]

[707] The above emails do not indicate that the purpose of the PACA Agreement was to obtain a tax benefit but show that one of the primary purposes of the PACA Agreement was to avoid subjecting EM Corp. to Canadian tax and civil jurisdiction, as part of its corporate policy to avoid any civil liability exposure, being a business purpose.

[708] Further, I also find that the answer given by Mr. McMahon, the Appellant’s nominee, as referred to by the Respondent, does not support the Respondent’s position. The question asked by the Respondent on discovery was as follows:

“Mr. McMahon, do you know what the beneficial tax treatment was that the Exxon Group is attempting to capture? And this is in relation to the May 17, 2001, funding request”.

[Emphasis added.]

[709] Mr. McMahon answered that the beneficial tax treatment was that feasibility study costs are deductible as current expenses in Canada but are not in the USA. Mr. McMahon was not asked what the purpose of the PACA Agreement was, or what was the purpose of the funding request made to Mr. Longwell to finance the Appellant’s obligations under the PACA Agreement.

[710] To support their position, the Respondent also relies on the fact that the Project was a producers’ study, and that EM Corp. would only allow non-producers into the Project if they added value (Exhibit AR-1, Joint Book of Documents, tab 25). I do not find these arguments persuasive.

[711] Ms. DuCharme testified about the purpose of various sections of the Project Agreement, namely assignment to affiliates (section 10.4 of the Project Agreement) and participation of third parties (article 9 of the Project Agreement). I accept Ms. DuCharme’s testimony that in a multinational context, agreements would provide for similar terms and are not specific to the Project Agreement. Adding these terms while drafting the Project Agreement does not suggest that the parties wanted to leave the door open to creating a tax benefit from a future assignment.

[712] I also accept EY’s expert opinion that it is reasonable to conclude that the PACA Agreement was not entered into primarily to obtain a tax benefit (EY Expert Report, p. 56). All the relevant circumstances must be considered, so that it is not a speculative exercise. EY considered all the relevant circumstances to opine on the purpose of the PACA Agreement.

[713] For these reasons, weighting the evidence, I find that the primary purposes of the PACA Agreement were of a business and investment nature, being to avoid subjecting EM Corp. to Canadian tax and civil jurisdiction, and to allow the Appellant to advance its entitlement to the Project (including entitlement to data and information from the Project), outweighing the tax purpose for entering into the PACA Agreement.

[714] Therefore, for these reasons, the requirement of subparagraph 247(2)(b)(ii) is not met in the present appeal. Although this dispenses with the application of subparagraph 247(2)(b), for the sake of completeness, I will address, in the following sections of these Reasons for Judgment, whether the requirements of subparagraph 247(2)(b)(i) are met and whether paragraph 247(2)(d) applies in this case.

b) Subparagraph 247(2)(b)(i): the PACA Agreement would not have been entered into between persons dealing at arm’s length; and paragraph 247(2)(d): recharacterization provision
i. Positions of the parties:
  • (i)The Appellant

[715] The Appellant denies that the PACA Agreement would not have been entered into by notional arm’s length persons.

[716] According to the Appellant, the evidence adduced at the hearing established that arm’s length parties commonly enter into joint venture arrangements such as the Project Agreement and the PACA Agreement which involves cost sharing with the objective of advancing a common goal. EY opined that it is common for arm’s length parties to enter into joint venture arrangements like the Project Agreement and the PACA Agreement to share the costs with the objective of advancing a common goal (EY Expert Report, at pp. 18-19).

[717] Further, the evidence established that the type of governance agreed to under such arrangements reflects the common goal of advancing the FEL process (Carruthers Rebuttal Report, at pp. 28-30). Mr. Carruthers’ expert testimony described how pipeline project developments are advanced and how parties come together in advancing that kind of project. Mr. Carruthers was involved in the Northern Gateway Pipeline project involving Enbridge and ten funding participants, where the ten funding participants contributed $283 million of the $656 million and further authorized Enbridge to control the advancement of the NEB regulatory application process (Carruthers Expert Report, p. 28).

[718] According to the Appellant, Dr. Horst’s expert opinion was purely speculative, and should be given no weight, as there was no comparable transaction considered to suggest what arm’s length persons would have done. Dr. Horst replaced the PACA Agreement with a fee-for-services agreement, to avoid the risk that EMPC “would be exposed to Canadian tax and civil jurisdiction if EMPC itself had filed for permits to do the environmental work in Canada” (Horst Expert Report, p. 68). Under the alternate arrangement, the Appellant would have the authority as agent to enter into contract on behalf of its principal, EMPC. Dr. Horst did not lay out the terms and conditions of that agreement.

[719] In reality, according to the Appellant, Dr. Horst is replacing the transaction with nothing, which is not the principle to be followed according to the transfer pricing jurisprudence.

[720] EY also opined that the PACA Agreement should not be recharacterized under subparagraphs 247(2)(b) and 247(2)(d) (EY Expert Report, p. 56).

  • (ii)The Respondent

[721] The Respondent argues that the requirements of subparagraph 247(2)(b)(i) are met because parties dealing at arm’s length would not have entered into the PACA Agreement under any terms and conditions.

[722] For the purposes of applying subparagraph 247(2)(b)(i), the Respondent asserts that the stage at which the Project was during the 2000-2002 period is very important. In their submissions, the Respondent stressed that entering into the PACA Agreement is a timing issue. The Appellant may have gotten involved in the Project at some future point but not at a very preliminary stage where three producers, namely EMPC, BP Alaska and Phillips Alaska, are merely evaluating costs and evaluating different ways to commercialize their stranded natural gas.

[723] According to the Respondent, EY and Dr. Horst took different approaches; however, Dr. Horst followed the approach endorsed by this Court and the Federal Court of Appeal, and accordingly, the Respondent argues that Dr. Horst’s expert opinion should be accepted.

[724] The Respondent relies on Dr. Horst’s opinion as follows:

- Paragraphs 2, 4 and 6 of the PACA Agreement are not terms and conditions that the Appellant and EMPC would have entered into if they had been dealing at arm’s length, under the facts and circumstances in June 2001 (Horst Expert Report, pp. 53-62);

- The recharacterization of the PACA Agreement as a fee-for-services agreement, where “EMCP would authorize [the Appellant] to act as EMPC’s agent in filing for permits to do environmental work in Canada required to support the [Project Team’s] analysis” is consistent with the arm’s length principle (Horst Expert Report, p. 69); and

- The PACA Agreement was not an agreement that parties dealing at arm’s length would have entered into in June 2001 (Horst Expert Report, p. 70).

[725] The Respondent further argues that because the producers wanted to maintain complete control over the feasibility study, they would not have allowed an arm’s length party to participate in the Feasibility Study.

[726] In addition, the Respondent argues that the divergent interests of the parties to the PACA Agreement would preclude them from entering into an assignment and cost allocation agreement of any kind. The Respondent argues that producers and pipeline companies are on opposite sides of transactions, and their interests are not aligned. Producers want to pay less tolls, and the tolls are the source of the revenue of pipeline companies.

[727] Instead of entering into the PACA Agreement, the Respondent argues that parties dealing at arm’s length would have entered into a fee-for-services agreement, if any transaction would have been entered into at all.

ii. Analysis:

[728] For the reasons below, I do not agree with the Respondent that the evidence showed that the PACA Agreement would not have been entered into between persons dealing at arm’s length under any terms and conditions.

[729] Further, for the reasons below, I do not find that Dr. Horst’s expert opinion supports that conclusion, and moreover, I find that Dr. Horst’s opinion should be given very limited weight.

[730] I find that the evidence adduced at the hearing showed that the PACA Agreement was a commercially rational transaction and therefore, that the requirements of subparagraph 247(2)(b)(i) are not met (Cameco TCC, at para 714).

[731] Further, for the reasons below, I find that it is not appropriate to recharacterize the PACA Agreement as a fee-for-services agreement to reduce the Feasibility Study Costs to nil.

[732] The test under subparagraph 247(2)(b)(i) “raises the issue of whether the transaction … would have been entered into between persons dealing with each other at arm’s length (an objective test based on hypothetical persons) …” (Cameco FCA, at para 43).

[733] Subparagraph 247(2)(b)(i) requires the application of an objective test based on hypothetical persons, not the particular taxpayer, and requires that no arm's length persons would have entered into the disputed transaction under any terms and conditions (Cameco FCA, at paras 43-44, 82).

[734] In order to recharacterize the transaction under subparagraph 247(2)(d), the Court must look at what transaction notional arm’s length parties would have entered into (an objective test based on hypothetical persons) and then apply this transaction to the participants in the PACA Agreement, namely EMPC and the Appellant (Cameco FCA, at paras 43-44, 82).

[735] However, Dr. Horst’s expert opinion does not follow the standard test set out in Cameco FCA for the application of subparagraph 247(2)(b)(i). Dr. Horst opined on what EMPC and the Appellant would have done if they were dealing at arm’s length, namely he applied a subjective test, and not an objective test in his analysis in support of subparagraph 247(2)(b)(i).

[736] I also find that Dr. Horst’s expert opinion is the result of a speculative exercise by suggesting that a fee-for-services agreement is consistent with the arm’s length principle under paragraph 247(2)(d) (Horst Expert Report, at p. 69).

  • (i)Subparagraph 247(2)(b)(i)

[737] In the Horst Expert Report, Dr. Horst was asked by the Respondent to answer three questions. The third question Dr. Horst was asked to answer reads as follows:

Whether the transaction is one that parties dealing at arm’s length would have entered into, and whether the transaction can reasonably be considered to have been entered into solely to obtain a tax benefit.

[Emphasis added.]

[738] To answer the first part of that third question, Dr. Horst relied on his answer to the first question he had examined in his report, namely:

Whether the terms and conditions of the transaction entered into between the Appellant [EMRL] and its related non-resident entity [EMPC] were terms and conditions that entities dealing at arm’s length would enter into.

[Emphasis added.]

[739] Dr. Horst stated that “[o]ur response to CRA Question #1 above explains why we conclude that …the PACA Agreement would not have been entered into in June 2001 if the parties, EMPC and EMRL, had been dealing at arm’s length” (Horst Expert Report, p. 70).

[740] I find a few preliminary problems with this conclusion. Firstly, as stated above, Dr. Horst’s conclusion applies a subjective standard about what the parties to the PACA Agreement would have done instead of what notional arm’s length parties would have done, which is not the appropriate test under subparagraph 247(2)(b)(i).

[741] Furthermore, Dr. Horst appears to improperly conflate his answer to whether the “terms and conditions” of the PACA Agreement would have been entered into between arm’s length parties with whether the entire PACA Agreement (or the transaction) would have been entered into by notional arm’s length parties. As noted in Cameco FCA, these are separate inquiries (Cameco FCA, at para 44).

[742] More particularly, Dr. Horst relies on three terms of the PACA Agreement, namely paragraphs 2, 4 and 6 to justify his opinion, without considering whether the entire transaction was commercially rational or not, which is the test to be applied under subparagraph 247(2)(b)(i).

[743] Further, at the hearing, Dr. Horst testified that although paragraphs 2 and 4 could be changed, it would be impossible to make changes to paragraph 6 to meet the arm’s length principle. Hence, Dr. Horst testified that parties dealing at arm’s length would not agree to the PACA Agreement under any terms and conditions.

[744] As mentioned above, the analysis under subparagraph 247(2)(b)(i) is not a speculative exercise but involves an objective assessment of the commercial rationality of the transaction. Dr. Horst did not provide convincing evidence that paragraphs 2, 4 and 6 were not commercially rational and would not have been agreed to by arm’s length parties. Further, Dr. Horst’s opinion failed to show that the PACA Agreement was not a commercially rational transaction and would not have been entered into between arm’s length persons under subparagraph 247(2)(b)(i).

[745] Dr. Horst’s conclusion cannot be accepted, as it is not supported by the evidence adduced at the hearing, as the alleged non-arm’s length terms do not mean that the transaction itself is commercially irrational. Otherwise, this would collapse the clear distinction between paragraphs 247(2)(a) and 247(2)(b) made by the Federal Court of Appeal in Cameco FCA (at para 44) and would allow the Minister to invoke subparagraph 247(2)(b) when only certain terms of a transaction are shown to be unsatisfactory in respect of the arm’s length standard.

[746] As will be explained below, I find that the expert evidence provided by EY and Mr. Carruthers established the commercial rationality of the PACA Agreement.

[747] I will review below the three terms of the PACA Agreement Dr. Horst took issue with, namely paragraphs 2, 4 and 6.

[748] Under paragraph 2, EMPC assigned to the Appellant “68% of EMPC’s one-third Participating Interest in and to the rights, duties, benefits, obligations, costs, rewards, risks, and liabilities arising in connection with the performance of the Project Agreement”. Under paragraph 2, the Appellant was assigned by EMPC a 22.67% Participating Interests in and to the rights, duties, benefits, obligations, costs, rewards, risks and liabilities arising in connection with the performance of the Project Agreement.

[749] Dr. Horst stated that to avoid Canadian tax and civil jurisdiction, EMPC should have assigned to the Appellant 100% of EMPC’s one-third Participating Interest in the Project Agreement pertaining to the Canadian segment of the pipeline, and 0% of EMPC’s one-third Participating Interest in the Project Agreement pertaining to the US segments of the pipeline (Horst Expert Report, p. 55). However, under the PACA Agreement as drafted, Dr. Horst opined that EMPC retained a 32% interest in the Canadian segment of the pipeline. Dr. Horst ultimately concluded that “[i]n short, the PACA’s assignment of a proportionate interest is not a term which entities dealing at arm’s length would have agreed”.

[750] By stating that if the parties had been dealing at arm’s length, both parties would have insisted that the PACA Agreement provides that EMPC would assign to the Appellant, and the Appellant would accept, 100% of EMPC’s one-third Participating Interest in the Project Agreement pertaining to the Canadian segment of the pipeline, Dr. Horst effectively opined that it would be possible for EMPC and the Appellant to enter into a similar transaction as the PACA Agreement, but on different terms and conditions, if they were dealing at arm’s length.

[751] Furthermore, Dr. Horst’s ultimate conclusion is not supported by the evidence or any comparable transaction. Dr. Horst did not convince me that the assignment of a proportionate interest in the Project Agreement makes the entire PACA Agreement a commercially irrational transaction under subparagraph 247(2)(b)(i).

[752] I find that both the Respondent and Dr. Horst did not appreciate the stage of the Project, which was a feasibility study, and did not appreciate the FEL-1 to FEL-3 stages of a megaproject. The purpose of the Project Agreement is to advance a pipeline project. The Project is a megaproject that follows the megaproject gate decisions’ phases, as indicated by Mr. Carruthers. The Project was at the FEL-1 phase, with some work being in the FEL-2 phase. At the FEL-1 phase, feasibility studies are conducted to determine the feasibility of a project, but the project is not constructed or built during that phase. At that stage, costs are incurred to determine the feasibility of a project. Further, the PACA Agreement is not contemplating an assignment of segments of pipeline, but an assignment of rights under a feasibility study regarding a pipeline project.

[753] I accept Ms. DuCharme’s testimony that the parties to the Project Agreement had commenced early in the process to discuss the structure of ownership and operatorship of the projected pipeline, both in Canada and in the USA, but no consensus was reached for the Canadian structure.

[754] Further, no evidence was provided to the Court as to whether EMPC or the Appellant would be subject to tax in Canada or in the USA, with respect to any costs incurred under the Feasibility Study. The evidence adduced at the hearing provides that KPMG was advised to bill the Appellant for its share of the Feasibility Study Costs arising in Canada (Mr. Culver’s email – Exhibit AR-1, Joint Book of Documents, tab 26).

[755] The Respondent also asserted that the percentage assigned under the PACA Agreement is based on a flawed methodology. For the following reasons, I do not agree with the Respondent.

[756] I accept the testimony of Mr. Lamb, Mr. McNamara and Mr. McMahon who testified that it was an objective calculation based on the length of various routes located in Canada and in the USA, under various scenarios.

[757] I also accept Mr. Carruthers’ testimony that, given the stage of the Feasibility Study and given the purpose of the Feasibility Study, the percentage assigned based on the length of various routes under various scenarios was objective and reasonable. According to Mr. Carruthers, the pipeline length is the main driver of costs and it is a reasonable way to allocate costs at the feasibility study stage, as it was done under the PACA Agreement.

[758] I also accept EY’s opinion that the allocation was based on industry standards and based on common practice (EY Expert Report, p. 51).

[759] The Respondent also asserts that the term “Participating Interest” is vague. I do not agree. The term “Participating Interest” is defined in Project Agreement. The defined terms under the Project Agreement have the same meaning ascribed to them by virtue paragraph 1 of the PACA Agreement. The Project Agreement is part of the PACA Agreement and was also attached as Exhibit “A” to the PACA Agreement.

[760] Further, the Respondent stated that the defined term “Participating Interest” does not indicate that the Appellant would be the owner or operator of any segment of the projected pipeline.

[761] However, the evidence that I accepted shows that the Appellant expected to be the owner of a proportionate interest in the pipeline segment in Canada, if the pipeline was built and if the ExxonMobil group had an ownership interest in the pipeline.

[762] Although the assignment under the PACA Agreement relates to feasibility studies costs and not directly to the assignment of any pipeline segment, the preamble to the PACA Agreement refers to intended expected benefits the parties will gain from the Project: “…the parties expect that EMRL will benefit to the extent that the Project Agreement leads to a pipeline project in Canada and the parties expect EMPC to benefit to the extent that the Project Agreement results in a pipeline project in Alaska and the lower-48…”

[763] Further, according to the Respondent, a Canadian investor would not be expected to assume costs associated with the US segment of the pipeline. Dr. Horst also asserts that only the Canadian costs are of value to the Canadian participants. I do not agree with that conclusion.

[764] I accept Mr. Carruthers’ expert opinion that the finding that only the Canadian costs are of value to the Canadian participants “ignores the fact that the benefits are only shared if a cross-border pipeline is advanced, with the potential benefits on each side of the border being dependent upon each other” and ignores the fact that a well-informed decision requires consideration of both sides of the border for a cross-border project (Carruthers Rebuttal Report, p. 27).

[765] For all these reasons, I find that Dr. Horst did not provide convincing evidence that paragraph 2 of the PACA Agreement was not commercially rational and would not have been agreed to by arm’s length parties.

[766] Paragraph 4 of the PACA Agreement reads as follows:

Obligations to pay expenses under the Project Agreement shall be borne in proportion to the Participating Interests and consistent with the intent of the parties for EMRL to bear the expense associated with the Canadian portion of the pipeline and for EMPC to bear the costs associated with the U.S. portion of the pipeline. In consideration thereof, the parties agree that EMRL shall bear all joint venture costs arising in Canada, plus joint venture costs necessary to bring EMRL’s total burden of the joint venture costs to 68% of the total cost for which EMRL and EMPC are, in the aggregate, responsible under the Project Agreement. In no event, however, shall EMRL’s burden of the total joint venture costs exceed 68% of the total costs for which EMRL and EMPC are, in the aggregate, responsible under the Project Agreement, unless pursuant to the terms of a valid amendment to this Agreement in accordance with Paragraph 12….

[Emphasis added.]

[767] Paragraph 4 allocates to the Appellant 68% of the joint venture costs for which the Appellant and EMPC were responsible under the Project Agreement.

[768] Dr. Horst opined that the Appellant would not have entered into the PACA Agreement with EMPC had they been dealing at arm’s length “because the modest return that EMRL would achieve if and only if the [pipeline] was ultimately placed in service was insufficient to compensate EMRL for the high risk as of June 2001 that the [pipeline] might never be placed in service” (Horst Expert Report, p. 62). According to Dr. Horst, paragraph 4 should be nil.

[769] Dr. Horst focused on evaluating whether the benefits that the Appellant might reasonably expect to receive under the PACA Agreement were commensurate with the risk that the pipeline might never be constructed, placed in service and thus realized the projected tariff revenues.

[770] Dr. Horst opined that the preliminary projected pipeline tariff rates were well below what a third-party investor would require as compensation for the substantial downside risk the investor would face if the Project might never be placed in service, or if the investor would ultimately never own an interest (Horst Expert Report, pp. 59-62).

[771] Dr. Horst testified that the Integrated Economic Model developed by the Project Team was a key document he reviewed for the purposes of his expert opinion. Using the Integrated Economic Model and examining one iteration of this model, Dr. Horst calculated that the Appellant would be projected to earn an IRR on its after-tax cash flow of 7% per annum. On that basis, according to Dr. Horst, it did not make sense to pay 68% of the feasibility study costs.

[772] According to Dr. Horst, several factors contributed to the Appellant’s risk that the pipeline would never be built, one being the fact that the pipeline project was not commercially viable. To reach that conclusion, Dr. Horst testified that the DCFR for the Southern Route was analysed in September 2000 under the internal ExxonMobil economic model as being between 10-12%, and the DCFR for the Southern Route under the Integrated Economic Model was calculated to be 10.9%.

[773] In his cross-examination, Dr. Horst however stated that he was not suggesting that EM Corp. knew from the outset that the Project was not commercially viable. Further, Dr. Horst accepted that the DCFR calculated under the internal ExxonMobil economic model in May 2001 had increased to 12-14% for the Southern Route (Exhibit AR-1, Joint Book of Documents, tab 29).

[774] Dr. Horst also understood the Integrated Economic Model was finalized in early 2002 at the conclusion of the Project and understood the Appellant did not have the benefit of the Integrated Economic Model at the time of signing the PACA Agreement, much less at the effective date. Dr. Horst also testified that generally, independent parties evaluating a cost allocation agreement would rely on information available when the agreement is executed.

[775] However, Dr. Horst testified that he nonetheless relied on the Integrated Economic Model in formulating his conclusion (Horst Expert Report, p. 60):

Because EMPC concluded in September 2001 and (again) in April 2002 that the [pipeline] was not technically and commercially feasible, we see no reasonable basis for EMPC or EMRL’s having a more optimistic assessment of the [pipeline]’s commercial prospects in June 2001 when the PACA Agreement was made.

[776] In the Horst Surrebuttal of EY Rebuttal Report (p. 7), Dr. Horst maintained his position and stated the following:

In our view, the AGP Integrated Economic Model provides the best available evidence of the costs and benefits that EMPC and EMRL, respectively, might reasonably have expected at the time they entered into the PACA Agreement on June 15, 2001. Although the results of the AGP Integrated Economic Model were not released until February 12, 2002, to the best of our knowledge, the data and assumptions underlying the AGP Integrated Economic Model do not reflect any unforeseen events that occurred in the eight months between June 15, 2001 and February 12, 2002.

[Emphasis added.]

[777] I find that the conclusions reached by Dr. Horst reflect hindsight bias, because the Integrated Economic Model was not completed until February 2002, whereas the PACA Agreement was executed in June 2001, with an effective date of December 5, 2000.

[778] Further, I find that Dr. Horst’s assumption that no unforeseen events occurred between June 15, 2001, and February 2002 is an unfounded assumption.

[779] I accept both Mr. McMahon and Mr. Kubasek’s testimony that in September 2001, cost estimates under the Feasibility Study were still being collected by the Project Team, and they were still within a +/- 20% range. Dr. Horst testified that that was not relevant for him, but I find that the whole purpose of a feasibility study is to assess the feasibility of a project and obtain cost estimates.

[780] To support his risk analysis, Dr. Horst also listed alternative methods of commercializing the ANS natural gas as being a risk factor for the Appellant as these alternative methods would not require building the projected pipeline, which I do not accept as being relevant risk factors.

[781] As indicated above, Mr. McMahon testified that in 1999 and by the time he joined the Project Team, EM Corp. had decided not to pursue a GTL project, which is an expensive technology and had determined to go ahead with the Project Agreement, given the market for the natural gas and oil resources at the time. Documentary evidence adduced at the hearing showed that in September 2000, EM Corp. had determined to go ahead with the Project (Exhibit AR-1, Joint Book of Documents, tab 7).

[782] As for the Foothills Certificates which Dr. Horst listed as a risk factor, I also found that the evidence showed that Foothills had no exclusivity on the A to B segment of the pipeline, and that the NEB and the FERC had indicated to the Project Team that they would be ready to entertain regulatory greenfield applications for the pipeline. Dr. Horst acknowledged at the hearing that he was not aware that the Foothills Certificates relates to old technology and smaller pipes, and that he was not aware of the important debt carried under the Foothills Certificates.

[783] As for the LNG project (a project relating to pipelines to bring the natural gas to the coast of Alaska, build an LNG plant to cool the gas and put it on LNG carriers to be sent to the far east), being Mr. McMahon’s first involvement with the commercialization of the ANS natural gas, I accept his testimony that that study lasted from 1992 to 1995. Because the price of crude oil went down, the participants in the study concluded that the project was not commercially viable, and Exxon moved on to other projects to commercialize its ANS natural gas.

[784] Dr. Horst further referred to various potential showstoppers identified by EM Corp. that could severely impair the viability of the projected pipeline (Exhibit AR‑1, Joint Book of Documents, tab 13). However, I accept Mr. McMahon’s testimony that the document was dated early 2002 and would not have been considered at the relevant time. This document was more probably than not a result of the Feasibility Study.

[785] Further, relying on his conclusion that the Project was modelled on the Alliance Pipeline, Dr. Horst described the projected benefits for the Appellant as being of a modest return (using a 70-30 debt-equity ratio, and a 12% after-tax return on equity) which return did not include any risk premium that would compensate an investor “for the significant risk as of June 2001 that the [pipeline] might never be constructed and placed in service” (Horst Expert Report, p. 61). According to Dr. Horst, on that basis, the expected return for the Appellant is not high enough to justify the risks.

[786] To support his conclusion that the Alliance Pipeline was a model for the Project, Dr. Horst refers to the document entitled “Information Exchange with IOL” dated November 5 and 6, 2001 which outlines the lessons learned to that date under the Project (Exhibit AR-1, Joint Book of Documents, tab 50). Dr. Horst stated that this document specifically refers to the use of the Alliance Pipeline as a model for tariffs and rates principles. Also, according to Dr. Horst, the three components used under the Alliance Model would be used for the Project, namely using negotiated rates (instead of higher recourse rates), marketing of all available capacity during open season and negotiating of take-or-pay precedent agreements during open season. Further, according to Dr. Horst, the parties to the Project Agreement would likely sell their participation after the holding of the open season to pipeline investors.

[787] However, the evidence that I accepted showed that the Alliance Pipeline was not a model for the Project, but for tariffs and rate principles at the Feasibility Study assessment stage. Further, I also accept that the evidence showed that tariffs and rates principles were still not yet finalized under the Project.

[788] The document entitled “Information Exchange with IOL” dated November 5 and 6, 2001 also indicates that rates principles and tariffs issues were still under discussion with the Project Team. Other sections of that documents also indicate that work was still to be done regarding tariff design, precedent agreements and other open season documents.

[789] I also accept Mr. Carruthers’ expert opinion that the conclusion reached by Dr. Horst that the Alliance Pipeline was a model for the potential pipeline under the Project is simply wrong (Carruthers Rebuttal Report, p. 17).

[790] According to Mr. Carruthers, any reference to the Alliance Pipeline being a model for the Project, was only referencing the Alliance Pipeline as a model for tolls and tariffs principles. Mr. Carruthers opined that the Alliance Pipeline reflected an industry standard at the relevant time in respect of rates and tariffs principles, including the holding of an open season, using negotiated rates and not higher recourse rates, as well as using a 70-30 debt-equity ratio and 12% return on equity.

[791] As indicated by Mr. Carruthers, the Alliance Pipeline was an important consideration for framing the potential pipeline being advanced under the Project Agreement, because it was a recent NEB-approved large diameter, fuel efficient, successful, greenfield and cross-border pipeline (from Northeast British Columbia to Chicago). The Alliance Project was a good illustration from a general project management perspective with respect to time, costs and benefits (Carruthers Rebuttal Report, p. 9). However, at the feasibility study stage of the Project, matters such as the ownership structure of the pipeline, holding of an open season, shippers’ subscriptions, tariffs rates, FERC and NEB applications and subsequent transfers were not yet determined or finalized by the Project Team. Specifically, Mr. Carruthers noted that the tolls were not yet finalized and would require approval by the NEB.

[792] Additionally, Mr. Carruthers testified that beginning in the mid-1990s, the use of negotiated rates and holding of open seasons were common to NEB-regulated pipelines and not specific to the Alliance Pipeline. Mr. Carruthers referred to the decision entitled “Cost of Capital Decision RH-2-94” by the NEB in 1994 which determined that many pipelines had common equity rates of return and capital structure.

[793] Further, according to Mr. Carruthers, the following factors would be assessed at the NEB regulatory application stage, including the availability of long-term gas supply, long-term outlook for gas demand in the markets, and the contractual commitments underpinning the proposal and project financing.

[794] As indicated above, I accept that lower negotiated rates were the norm in the industry at the relevant time.

[795] For all these reasons, I find that Dr. Horst did not provide convincing evidence that paragraph 4 of the PACA Agreement was not commercially rational and would not have been agreed to by arm’s length parties.

[796] Paragraph 6 of the PACA Agreement reads as follows:

For the purpose of voting and reaching decisions under the Project Agreement, and as required by the Project Agreement, the Participating Interests of EMPC and EMRL shall be aggregated and treated as one vote. Such vote shall be exercised through representative(s) mutually agreed by EMPC and EMRL; further, upon request by either party, such party shall be given reasonable opportunity to give input into the exercise of such vote. Also, if requested by EMRL, EMPC shall provide EMRL a copy of the minutes of Management Committee meetings that occur after execution of this Cost Allocation Agreement. Until and unless EMPC and EMRL otherwise agree in writing, Harry J. Longwell, Mark A. Sikkel, and Robert D. Schilhab shall be authorized to represent and bind both EMPC and EMRL in all meetings and decisions respectively of the Executive Committee, the Steering Committee, and the Management Committee established under the Project Agreement.

[797] As indicated above, Section 10.4 of the Project Agreement allowed a Party to assign all or part of its interest to an affiliate, specifically requiring that the voting interests and decision-making authority of that Party and its affiliate be aggregated and treated as one vote.

[798] According to the Respondent, while EMPC assigned 68% of its one-third Participating Interest in the Project Agreement, EMPC maintained complete control over the Feasibility Study, and potentially, future stages of the Project.

[799] The Respondent argues that although the Appellant may have had the opportunity to give input into votes, EMPC was authorized to represent and bind the Appellant in all meetings of the Project Team’s committees. The Appellant did not have any direct representatives on the Executive, Steering and Management committees. The Appellant had no ability to change EMPC’s control over the Project unless EMPC relinquished this control.

[800] According to the Respondent, EMPC’s sole control over the Project was the basis for determining that parties dealing at arm’s length would not have entered into the PACA Agreement. In the Respondent’s view, the failure by the Appellant and its experts to appreciate the full effect of paragraph 6 is significant.

[801] Further, according to the Respondent, an arm’s length pipeline investor might reasonably disagree with the direction EMPC wished to take in the Project, such as suspending work on the Feasibility Study, route selection, or whether to proceed with own-built pipeline for the B to C portion of the pipeline.

[802] Dr. Horst opined that EMPC’s insistence on maintaining complete control of the Project would result in an inherent and unavoidable conflict with a third-party equity investor’s reasonable expectation of balanced governance. Dr. Horst opined that an arm’s length pipeline investor would not agree to such one-sided governance, and a producer who required sole control over the study would not agree to balanced governance.

[803] Dr. Horst concluded that such conflict was insurmountable and a partial assignment of EMPC’s interest in the Project Agreement would not be included in any agreement with a third-party under the facts and circumstances in June 2001 (Horst Expert Report, p. 59).

[804] I do not agree with the Respondent’s submissions, and I do not agree with Dr. Horst’s expert opinion regarding paragraph 6.

[805] I find that the Appellant had a representative on the various Project Team’s committees, although the Appellant’s representatives were the same as EMPC’s representatives. I do not agree with the Respondent that EMPC kept control over the Feasibility Study. Further, the Respondent’s argument that EMPC kept control over future stages of the Project cannot be accepted as no evidence was provided to the Court.

[806] Dr. Horst testified that there was a large potential for misalignments at the stage of a feasibility study. However, Dr. Horst acknowledged that he was not an expert on feasibility studies for pipelines projects. For this reason, and given the expertise of Mr. Carruthers, I accept Mr. Carruthers’ opinion that, at the feasibility study stage of a project, risk of material misalignment between participants is minimal as all participants are seeking information to make an informed decision on the project. Moreover, in this particular case, because both the US and Canadian segments of the pipeline were needed for the entire pipeline to work, the risk of misalignment was low.

[807] In addition, I accept Mr. McNamara’s testimony that few decisions are taken at the feasibility study stages of a project.

[808] I agree with Mr. Carruthers that paragraph 6 shows appropriate governance, considering that there were clear and well-articulated objectives of the Project and work plans. As indicated by Mr. Carruthers, a third-party investor would not require equal governance at this stage of a megaproject but instead would want to ensure there is appropriate governance from that party’s perspective. Mr. Carruthers opinion is supported by his experience with Northern Gateway Pipeline where the funding partners who owned 49.5% of the project gave Enbridge full control over the regulatory application process, with the funding partners being only provided updates over the course of the project. Mr. Carruthers’ expert opinion established that the type of governance agreed to under the PACA Agreement reflected the common goal of advancing the FEL process under a megaproject (Carruthers Rebuttal Report, pp. 28-30).

[809] Further, I also considered that updates and reporting were done through various slide deck presentations to Mr. Longwell and Mr. Raymond. Mr. McNamara, as president of the Appellant, was involved in the process of updating upper management. The fact that Mr. McNamara was getting regular updates on the Project from Mr. Schilhab and Mr. Sikkel, so the Appellant was apprised of the development of the Project and could have given input as the Project was progressing, is indicative of an appropriate level of governance.

[810] In addition, as discussed above, I find that the Appellant had the ability to withdraw from the Project, because it stepped into the shoes of EMPC, being a factor contributing to the Appellant’s appropriate level of governance.

[811] Further, according to Mr. Carruthers, a third-party pipeline owner would find it very compelling to be part of a feasibility study where commercially sophisticated stakeholders are sharing the relatively minimal costs of a feasibility study with respect to a megaproject investment. Moreover, EMPC’s support as a credit worthy shipper would be a key requirement for a third-party investor (Carruthers Rebuttal Report, p. 29).

[812] For all these reasons, I find that Dr. Horst did not provide convincing evidence that paragraph 6 was not commercially rational and would not have been agreed to by arm’s length parties.

[813] To support their position that the requirements of subparagraph 247(2)(b)(i) are met, the Respondent raised additional arguments.

[814] The Respondent asserted that the potential pipeline project for bringing natural gas from the ANS to the Lower-48 has a long history fraught with uncertainties. The Respondent relied on the fact that early projects in the 70s and 80s failed, that the Project was short lived and full of its own complexities, the proposed pipeline routes were not determined and the ownership structure of the projected pipeline was never settled. Further, the Respondent argued that the participation of various governments in the Project was unlikely.

[815] I do not agree with the Respondent. The purpose of a feasibility study is to determine the feasibility of a project, and one cannot use the uncertainties of a feasibility study as an argument to conclude that the project was too uncertain. The Project was a feasibility study to progress a pipeline from the ANS to Western Canada and the Lower-48. Ms. DuCharme testified that the market had changed, and it was a good period to examine the feasibility of a pipeline to bring the natural gas to market.

[816] Further, although the ownership structure of the projected pipeline was never settled for the Canadian segment, Ms. DuCharme had numerous discussions with her counterparts at BP Alaska and Phillips Alaska to settle that issue early in the process.

[817] Moreover, Dr. Horst opined that the tremendous uncertainty of the project, combined with low returns based on preliminary and essentially unreliable data and the inability to reconcile the governance tension (paragraph 6 of the PACA Agreement), would lead parties dealing at arm’s length away from entering into the PACA Agreement (Horst Expert Report, pp. 53-62).

[818] As indicated above, the Integrated Economic Model was not in place when the PACA Agreement was executed, much less when the PACA Agreement was contemplated. Therefore, I do not accept Dr. Horst’s opinion, as it is inappropriate to use hindsight to “now suggest that no two persons dealing at arm’s length would have entered into” the PACA Agreement (Cameco FCA, at para 86).

[819] Further, to suggest that the Appellant should have known that the Feasibility Study would not be successful is also using hindsight, which is inappropriate.

[820] In addition, the Respondent noted the absence of a termination clause in the PACA Agreement, similar to section 9.2 of the Project Agreement. Under section 9.2 of the Project Agreement, EMPC had the right to withdraw from the Project by giving 90 days’ notice to the other parties. The Respondent asserted that it is hard to imagine that an independent pipeline investor would have agreed to that.

[821] The Respondent further argued that the absence of a termination clause in the PACA Agreement, when read in combination with paragraph 6, means that as long as EMPC wanted to participate in the Project Agreement, the Appellant would have been obligated to continue to fund 68% of EMPC’s costs. Conversely, if EMPC decided to withdraw from the Project Agreement, the Appellant would have had no right to continue as a participant in the Project.

[822] I do not accept the Respondent’s arguments. As indicated above, by entering into the PACA Agreement, the Appellant stepped into the shoes of EMPC, and hence, the Appellant obtained all the rights devoted to EMPC under the Project Agreement, including a right to withdraw from the Project.

[823] Finally, the Respondent stressed that entering into the PACA Agreement is a timing issue, as the Appellant may have gotten involved in the Project at some future point, but not at the very preliminary stage where three producers are evaluating costs and ways to commercialize their stranded natural gas resources. However, this argument does not demonstrate the commercial irrationality of the PACA Agreement. Further, the evidence showed that the purpose of the Project was to evaluate a pipeline project, and not to evaluate ways for the producers to commercialize the natural gas resources.

[824] For the reasons below, I find that the expert evidence provided by EY, as supplemented and corroborated by Mr. Carruthers, established the commercial rationality of the PACA Agreement, and therefore, I find that the requirements of subparagraph 247(2)(b)(i) are not met.

[825] EY showed that it was commercially reasonable for arm’s length parties to engage in transaction similar to the PACA Agreement in consideration of expected benefits deriving from the PACA Agreement, which opinion I find persuasive and credible for the reasons below (EY Expert Report, p. 55).

[826] EY’s opinion is not the result of a speculative exercise, as EY assessed the commercial rationality of the transaction in an objective way. EY opined that “persons dealing at arm’s length routinely enter into joint development agreements related to ascertaining the feasibility of advancing midstream gas pipelines in the North American pipeline sector” (EY Expert Report, at p. 55).

[827] EY relied on its analysis of the industry of the North American pipeline sector found under section 3 of the EY Expert Report which demonstrates that many third parties participate in the midstream sector which focuses on the transportation, storage and wholesale marketing of crude and refined petroleum product. EY provided many examples of significant North American pipelines with shared ownership.

[828] Further, given the cost and scale of gas pipelines in North American market, EY opined that “it is commonplace for parties to diversify their risk by entering into partnerships, joint venture and other arrangements which facilitate unrelated third parties to combine resources to achieve a common commercial goal” (EY Expert Report, p. 54).

[829] To support its conclusion, EY referred to four arrangements: (i) the Project Agreement; (ii) the TransCanada Pipeline Joint Venture (Exhibit AR-1, Joint Book of Documents, tab 113); (iii) the Amended and Restated Limited Partnership Agreement of the Maritimes & Northeast Pipeline Limited Partnership dated June 24, 1999 between the general partner (Maritimes & Northeast Pipeline Management Ltd.) and the Appellant, Westcoast Energy Inc. and M&N Pan Energy Ltd. as limited partners (Exhibit AR-1, Joint Book of Documents, tab 158); and (iv) the Amended and Restated Limited Liability Company Agreement dated June 29, 1999, between M&N Management Company, Westcoast Energy (US) Inc., Mobil Midstream Nature Gas Investments Inc. and SableEast Corporation (Exhibit AR-1, Joint Book of Documents, tab 159).

[830] On that basis, EY concluded that it is “fundamentally reasonable and supportable that arm’s length parties would enter into a joint venture to ascertain the feasibility of the advancement of the Alaska gas pipeline” (EY Expert Report, p. 54). I accept this opinion.

[831] I also accept EY’s opinion that “it is commercially reasonable for arm’s length parties to engage in similar transactions to the [PACA Agreement] in consideration of the expectation of benefits deriving from the [PACA Agreement]” (EY Expert Report, pp. 54-55). EY came to that conclusion after performing an economic analysis (section 6 of the EY Expert Report), looking at the expectation of benefits for the parties and the factors of comparability for arm’s length parties engaged in similar transactions.

[832] I will further discuss benefits in the section of these Reasons for Judgment dealing with paragraphs 247(2)(a) and 247(2)(c).

[833] EY’s opinion is also supported by various attempts made by arm’s length parties to advance an Alaska natural gas pipeline.

[834] Further, as indicated above, Mr. Carruthers’ expert testimony described how pipeline project development is advanced and how parties come together in advancing that kind of project. I accept Mr. Carruthers’ opinion which also supports EY’s expert opinion regarding the industry analysis and the functional analysis as described in sections 3 and 5 of EY Expert Report.

  • (ii)Paragraph 247(2)(d): recharacterization provision

[835] The Respondent, relying on Dr. Horst’s expert testimony, has submitted that recharacterizing the PACA Agreement as a fee-for-services agreement using paragraph 247(2)(d) allows for an appropriate transfer pricing adjustment to reduce the Feasibility Study Costs to nil.

[836] Dr. Horst opined that a service agreement under which EMPC would have authorized the Appellant to act as EMPC’s agent in filing for permits to do environmental work in Canada would have been consistent with the arm’s length principle (Horst Expert Report, p. 69).

[837] According to Dr. Horst, EMPC would agree to pay the Appellant an arm’s length fee for services rendered, but EMPC would not assign to the Appellant or any third-party service provider any portion of EMPC’s Participating Interest in the Project Agreement (Horst Expert Report, pp. 68-69).

[838] Even if I had concluded that the requirements of both subparagraphs 247(2)(b)(i) and 247(2)(b)(ii) were met, which I did not, for the following reasons, Dr. Horst’s opinion on the recharacterization of the PACA Agreement as a fee-for-services agreement would not have met the requirement of paragraph 247(2)(d) and would not have been accepted by the Court.

[839] I agree with EY’s opinion that Dr. Horst’s expert opinion is erroneous as he referred to EMPC and the Appellant in his analysis (EY Rebuttal Report, pp. 17-18). As indicated by the Federal Court of Appeal, the analysis under paragraph 247(2)(d) is an objective test based on hypothetical persons. Under paragraph 247(2)(d), the issue to determine is what transaction would have been concluded between two arm’s length parties, and not what one of the participants would have done if they were dealing at arm’s length (Cameco FCA, at para 55). Further, the test to be applied under paragraph 247(2)(d) is between the same two notional arm’s length parties as under paragraph 247(2)(b).

[840] In addition, I find that the recharacterization as a fee-for-services agreement is speculative. Dr. Horst provided no terms for this alleged fee-for-services agreement. To restate the test from Cameco FCA (at paras 52-53):

[52] In applying paragraph (d), “the transaction or series entered into between the participants” is replaced by the transaction or series of transactions “that would have been entered into between persons dealing at arm’s length”. The text of paragraphs 247(2)(b) and (d) of the Act suggests that it would be the same arm’s length persons for paragraphs (b) and (d). The terms and conditions that such arm’s length persons would have adopted in such transaction or series of transactions then become the relevant terms and conditions for the participants—the taxpayer and the non-resident person with whom the taxpayer does not deal at arm’s length.

[53] Paragraph 247(2)(d) of the Act requires the Court to replace the transaction or series of transactions that was entered into between the participants with the transaction or series of transactions that would have been entered into between persons dealing with each other at arm’s length. It contemplates replacing the existing transaction or series of transactions with some other transaction or series of transactions. It does not contemplate replacing the existing transaction or series of transactions with nothing, which is the result proposed by the Crown in paragraph 4 of its memorandum: “Cameco Canada would not have entered into any transactions with its Swiss subsidiary if they had had been dealing at arm’s length”. Treating Cameco as if it had not entered into any transactions with CEL would, in effect, result in the separate existence of CEL being ignored or effectively CEL being amalgamated with Cameco.

[Emphasis added.]

[841] According to Dr. Horst, although the recital to the PACA Agreement provides that the parties wanted to pool their resources and knowledge, he stated that he was not aware of any significant resources, knowledge or expertise contributed by the Appellant to the Project. I do not agree with Dr. Horst as the evidence showed that the Appellant made contributions to the Project, and more specifically, had paid its proportionate share of the feasibility study costs under the Project Agreement.

[842] Further, Dr. Horst stated that he was not persuaded that EMPC entered into the PACA Agreement to avoid the risk that EM Corp. would otherwise be subject to Canadian tax and civil jurisdiction (Horst Expert Report, p. 66). To opine on this matter, Dr. Horst relied on the same documents referred to above in the section dealing with subparagraph 247(2)(b)(ii), including an opinion from Fraser Milner Casgrain LLP dated March 5, 2001, entitled “NEB – Recovery of Sponsorship Costs”. As indicated above, Dr. Horst had wrongly assumed that this document was a tax opinion concluding that it was not necessary for a Party to assign its Participating Interest in the Project Agreement to a Canadian affiliate to avoid being subject to tax in Canada (Exhibit AR-1, Joint Book of Document, tab 38).

[843] Because of Dr. Horst’s wrong assumption on the content of the Fraser Milner Casgrain LLP opinion dated March 5, 2001 to which he was not privy when he wrote his report, Dr. Horst inferred that it was not necessary for Phillips Alaska to assign any Participating Interest in the Project Agreement to a Canadian affiliate to avoid exposing Phillips Alaska to tax and civil jurisdiction in Canada. Further, Dr. Horst testified that even though he knows now that the Fraser Milner Casgrain LLP opinion does not pertain to tax matters, Dr. Horst testified that his ultimate opinion pertaining to a fee-for-services agreement was still maintained.

[844] I am not convinced by Dr. Horst’s statement. I find that the inference drawn by Dr. Horst from the content of the opinion from Fraser Milner Casgrain LLP was a very important factor he considered to opine that a fee-for-services agreement would be consistent with the arm’s length principle.

[845] I also take issue with Dr. Horst stating that because the Fraser Milner Casgrain LLP opinion was not available to him, he then relied on his “general transfer-pricing experience in opining on the terms of an alternative arm’s length agreement” (Horst Expert Report, p. 67). At the hearing, Dr. Horst acknowledged that he was not an expert on feasibility studies for pipeline projects, and he was not an expert on phases of megaprojects development, and therefore, his opinion on these matters has a very limited weight.

[846] Dr. Horst stated that US parent companies often enter into agreement with their foreign affiliates under which the foreign affiliates agree to render services to the parent companies, in consideration of arm’s length fees for services rendered typically based on fees for comparable services rendered by third-party service providers (Horst Expert Report, p. 67).

[847] However, to support this opinion, Dr. Horst did not provide any example which would demonstrate that a fee-for-services arrangement would have been consistent with the arm’s length principle. Dr. Horst’s expert opinion is not justified by any comparable agreements and is grounded on erroneous assumptions. Dr. Horst did not provide any example of cross-border agreements, as agreements he referred to in support of the recharacterization of the PACA Agreement were all agreements between parties within the same jurisdiction.

[848] To support his opinion, Dr. Horst referred to the Amended Services Agreement. However, all parties to that agreement, and all services, were within Canadian jurisdiction.

[849] Dr. Horst then opined as follows (Horst Expert Report, pp. 68-69):

Given the Amended and Restated Upstream Services Agreement between IOL and EMRL, we conclude we can reasonably assume that EMPC could have entered into a services agreement with EMRL to avoid the risk that EMPC would be exposed to Canadian tax and civil jurisdiction if EMPC itself had filed for permits to do the environmental work in Canada required to support the AGP Project team’s analysis.

[850] The evidence showed that the Feasibility Study undertaken under the Project Agreement was not limited to environmental issues as the activities were much more extensive. The numerous job books evidenced the extent of the work performed by the Project Team. I find that referring to a fee-for-services service agreement for filing for environmental permits is very limitative.

[851] Dr. Horst also opined that large companies like EMPC enter into service agreement with third parties to act as agents in entering into contracts with third parties. For example, according to Dr. Horst, EMPC, BP Alaska and Phillips Alaska appointed a Business Coordinator under the Project Agreement (KPMG), and KPMG would enter into contracts with third parties as authorized by the Management Committee (Exhibit AR-1, Joint Book of Documents, tab 15). However, most of the work performed by KPMG was related to administrative work.

[852] Dr. Horst also referred to the 2002 AGP Agreement where EMPC, BP Alaska and Phillips Alaska appointed one another to be the lead party in the performance of different functions (Exhibit AR-1, Joint Book of Documents, tab 145). However, the evidence showed that all activities under the 2002 AGP Agreement were located in the USA, and none were in Canada.

[853] As indicated by the Federal Court of Appeal, subparagraph 247(2)(d) does not allow for a recharacterization into nothing. It must be based on the commercial reality of the transaction, being the advancement of a pipeline, whether the Project is feasible and working toward filing NEB and FERC applications by mid-2001. Although Dr. Horst put a name on the recharacterized agreement, no terms and conditions were proposed. Based on Dr. Horst’s report, it would be a speculative exercise to suggest how any terms and conditions in the suggested fee-for-services agreement would adjust the quantum or nature of any amount.

[854] Finally, recharacterizing the PACA Agreement as a fee-for-services agreement fails to appreciate that a service agreement between EM Corp. and the Appellant could trigger Article V(5) of the Canada-United States Convention with Respect to Taxes on Income and on Capital signed on September 26, 1980 (the “Treaty”), which would expose EM Corp. to having a permanent establishment in Canada and jeopardizing EM Corp.’s corporate policy of avoiding exposure to Canadian tax and civil jurisdiction.

[855] Dr. Horst admitted that he did not consider the permanent establishment implications in advancing the alternate arrangement.

[856] For all these reasons, I find that the Respondent failed to provide convincing evidence that a fee-for-services agreement as recharacterized under paragraph 247(2)(d) would have been the transaction that the Appellant and EMPC should have entered into.

3) Paragraphs 247(2)(a) and 247(2)(c)

[857] Having found in the previous section of these Reasons for Judgment that the requirements of paragraph 247(2)(b) were not met, I should now determine the Respondent’s alternative argument as to whether paragraphs 247(2)(a) and 247(2)(c) apply to the PACA Agreement and require a downward adjustment of the Feasibility Study Costs to zero.

a) Positions of the parties
i. The Appellant

[858] Relying on EY’s expert evidence, Mr. Carruthers’ expert evidence, as well as the lay witnesses’ evidence, the Appellant is of the view that paragraphs 247(2)(a) and 247(2)(c) do not apply to the facts in the present appeal.

[859] More particularly, the Appellant argues that the expert evidence provided by EY and by Mr. Carruthers supports the position that paragraphs 247(2)(a) and 247(2)(c) do not apply to the PACA Agreement as:

- arm’s length parties would enter into a transaction like the PACA Agreement; and

- the terms and conditions of the PACA Agreement do not differ from those that would have been made if EMPC and the Appellant dealt at arm’s length.

[860] The conclusion reached by EY is reinforced by Mr. Carruthers’ expert evidence. According to Mr. Carruthers, activities performed by the parties under the Project Agreement were consistent with industry practices and project management best practices.

[861] Further, the Appellant asserts that the extensive evidence adduced at the hearing refutes the application of the transfer pricing provisions and refutes the “inherently unreliable evidence of Dr. Horst and the transfer pricing premises contained in the Horst Expert Report, and their rebuttal and surrebuttal reports” (Appellant’s Written Final Closing Argument, para 214).

ii. The Respondent

[862] The Respondent argues that paragraphs 247(2)(a) and 247(2)(c) apply, requiring also a downward adjustment of the Feasibility Study Costs to zero.

[863] The Respondent argues that arm’s length parties would not have been able to agree to terms and conditions as found in the PACA Agreement, at the time the PACA Agreement was executed.

[864] Relying on Dr. Horst’s expert opinion, the Respondent takes issue with three specific terms under the PACA Agreement (paragraphs 2, 4, and 6). The Respondent argues that these terms differ from those terms that would have been entered into had the Appellant and EM Corp. been dealing at arm’s length.

[865] According to the Respondent, adjustments should be made to these terms to satisfy paragraph 247(2)(c) to what arm’s length parties would have done, which bring the Feasibility Study Costs to nil.

b) Analysis

[866] For the following reasons, I find that the requirement of paragraph 247(2)(a) is not met, and therefore, no adjustment to the terms and conditions of the PACA Agreement is necessary under paragraph 247(2)(c).

[867] I find that EY provided a persuasive and reliable expert opinion that “the main terms and conditions applied by EMPC and [the Appellant] to the [PACA Agreement] (including the parties, the effective date, the purpose and objectives, the assignment of part of EMPC’s one-third participating interest in the Project Agreement, the governance and the voting rights) align with those which would have been made between EMPC and [the Appellant] had they been dealing at arm’s length” (EY Expert Report, p. 57).

[868] Mr. Carruthers also opined that i) a potential pipeline owner would indeed undertake the types of activities performed by the parties under the Project Agreement to advance a potential pipeline to the regulatory application stage; (ii) the activities undertaken by the Appellant in the Feasibility Study were consistent with project management best practices, typical of third-party pipeline feasibility studies and aligned with NEB pipeline requirements for new pipeline developments and were necessary and expected; (iii) feasibility studies are the norm for the evaluation and advancement of potential pipeline projects and were completed for the Alliance Pipeline, Northern Gateway Pipeline and the Mackenzie Gas Pipeline (Carruthers Expert Report, pp. 11-13).

[869] I was not convinced by Dr. Horst’s expert testimony that parties dealing at arm’s length would not have entered into the PACA Agreement, specifically with respect to paragraphs 2, 4 and 6 of the PACA Agreement.

[870] More specifically, the first question Dr. Horst opined on was:

Whether the terms and conditions of the transaction entered into between the appellant [EMRL] and its related non-resident entity [EMPC] were terms and conditions that entities dealing at arm’s length would enter into?

[871] As indicated in the previous section of these Reasons for Judgment dealing with paragraphs 247(2)(b) and 247(2)(d), the Horst Expert Report identifies three specific paragraphs of the PACA Agreement as terms that arm’s length parties would not have agreed to, namely paragraphs 2, 4, and 6. I will review paragraphs 2 and 4 of the PACA Agreement together, then review EY’s expert opinion, followed by a review of paragraph 6 of the PACA Agreement, keeping in mind the test under paragraph 247(2)(a).

i. Paragraphs 2 and 4 of the PACA Agreement per Dr. Horst

[872] Paragraphs 2 and 4 of the PACA Agreement are inherently related. Paragraph 2 is the provision providing that EMPC assigns 68% of its one-third Participating Interest in and to the rights, duties, benefits, obligations, costs, rewards, risks and liabilities arising in connection with the Project Agreement to the Appellant. Paragraph 4 provides the Appellant with an obligation to pay a proportionate share of the feasibility study costs that EMPC and the Appellant would be responsible for under the Project Agreement, in consideration for the assignment to the Appellant of 68% of EMPC’s one-third Participating Interest in the Project Agreement.

[873] Paragraph 4 also provides that the intent of the parties is for the Appellant to bear “the expenses associated with the Canadian portion of the pipeline and for EMPC to bear the costs associated with the U.S. portion of the pipeline.”

[874] Further, under paragraph 4, EMPC and the Appellant agreed that the Appellant would incur all joint venture costs arising in Canada, plus joint venture costs necessary to bring the Appellant’s total burden of the joint venture costs to 68% of the total costs for which EMPC and the Appellant are jointly responsible under the Project Agreement. Paragraph 4 also provides that in no event shall the Appellant’s burden of the total joint venture costs exceed 68% of the total costs for which EMPC and the Appellant are jointly responsible for under the Project Agreement.

[875] Dr. Horst’s central concern relates to the wording of paragraph 2. According to Dr. Horst, paragraph 2 provides an assignment of 68% of EMPC’s whole one-third Participating Interest in the Project Agreement instead of exclusively assigning the Canadian costs to the Appellant (Horst Expert Report, p. 55). Hence, according to Dr. Horst, the language used in paragraph 2 implies that EMPC would continue to own 32% of the Participating Interest in the Canadian segment of any pipeline built.

[876] The Horst Expert Report states that the experts (p. 55):

… would have expected that to avoid Canadian tax and civil jurisdiction, EMPC would have assigned to [the Appellant] 100% of EMPC’s interest in the AGP Project Agreement pertaining to Canadian segments of the AGP, and 0% of EMPC’s interest pertaining to the U.S. segments of the AGP.

[877] Dr. Horst opined that if EMPC and the Appellant had been dealing at arm’s length, neither party would have agreed to EMPC’s assignment of a proportionate interest in the Project Agreement (Horst Expert Report, p. 56). Rather, if the parties had been dealing at arm’s length, both parties would have insisted that the PACA Agreement provide that EMPC would assign to the Appellant, and the Appellant would accept, 100% of EMPC’s Participating Interest in the Project Agreement pertaining to the Canadian segment of the pipeline.

[878] I find that Dr. Horst’s conclusion regarding paragraph 2 as drafted which implies that EMPC would continue to own 32% of the Participating Interest in the Canadian segment of any pipeline is incorrect. The evidence clearly shows that the intention of the parties to the PACA Agreement was that the Appellant would get an eventual share of the Canadian segment of the pipeline, and not any share in any US segment, and EMPC would get an eventual share of the US segment of the pipeline, and not any share in any Canadian segment, if the Project resulted in a pipeline in either Canada or in the USA, and if the ExxonMobil group owned an interest in the pipeline.

[879] Further, the wording of the PACA Agreement is clear: EMPC assigned to the Appellant 68% of its one-third Participating Interest in and to the rights, duties, benefits, obligations, costs, rewards, risks and liabilities arising in connection with the Project Agreement. The preamble of the PACA Agreement indicates that the parties intended that the joint venture costs to be payable by the Appellant are the joint venture costs associated with the Canadian portion of the pipeline study. The costs allocation under paragraph 4 is in direct proportion to the Participating Interest in the Project Agreement that EMPC assigned to the Appellant under paragraph 2.

[880] The preamble to the PACA Agreement also indicates that the parties intended the Appellant to benefit to the extent the Project results in a pipeline in Canada and that EMPC would benefit to the extent the Project results in a pipeline in the USA. The proportionate Participating Interest of EMPC and of the Appellant in the Project under the PACA Agreement is based on the best estimates of the parties regarding “the proportions of the Northern Route and the Southern Route that lie respectively within the United States and Canada based on the estimated distances of each route” (paragraph 3 of the PACA Agreement).

[881] The Project Agreement is a feasibility study for a pipeline project. At this stage of a feasibility study, the Project Agreement does not relate to the construction of any segment of pipelines but relates to the gathering of cost estimates to progress a pipeline project and determine the feasibility of the Project. As indicated by Mr. McMahon, the construction of the projected pipeline would not be done under the Project Agreement, as the Project Agreement relates to a feasibility study to progress a pipeline project, not to construct a pipeline.

[882] I accept the testimony of Mr. Lamb as well as various email exchanges that show that the parties intended to enter into the PACA Agreement as drafted, and that the wording used in the PACA Agreement represents the business deal reached by the Appellant and EMPC at the relevant time.

[883] Furthermore, Dr. Horst opined on paragraph 4 assuming EMPC had assigned to the Appellant 100% of its one-third Participating Interest in the Project Agreement pertaining to the Canadian segment of the pipeline. As mentioned above, this assumption is incorrect.

[884] With respect to paragraph 4, Dr. Horst focused on whether the benefits that the Appellant might reasonably expect to receive under the PACA Agreement were commensurate with the risk that the pipeline might never be constructed, placed in service and thus realized the projected tariff revenues. Dr. Horst stated that the projected benefits for pipeline investors did not include any risk premium that would compensate a pipeline investor for the significant risk in June 2001 that the pipeline might never be constructed and placed in service.

[885] On that basis, the Horst Expert Report states that the Appellant would not have entered into the PACA Agreement with EMPC had they been dealing at arm’s length because the modest return the Appellant would receive if the pipeline was ultimately placed in service would be insufficient to compensate the Appellant for the high risk as of June 2001 that the pipeline might never be placed in service (Horst Expert Report, p. 62).

[886] In concluding as such, Dr. Horst used one iteration of the Integrated Economic Model built by the Project Team to calculate an IRR on after-tax cash flow of 7% per annum for pipeline investors and concluded that that return is well below what a third-party investor would require as compensation for the substantial downside risks the investor would face as of June 2001. This calculation also used the negotiated tariffs determined under the Alliance Pipeline, instead of the higher recourse tariffs.

[887] According to Dr. Horst, these risks included the fact that the ExxonMobil internal economic model had determined in September 2000 a DCFR of 10 to 12% for the Southern Route, which is equivalent to the results derived from the Integrated Economic Model prepared by the Project Team (Southern Route: IRR of 10.9%).

[888] Moreover, Dr. Horst suggested that alternative methods for commercializing the ANS natural gas (a GTL refinery, a pipeline to Valdez, and Foothills Certificates) should have been accounted for as potential risks for a pipeline owner. As discussed in the previous section of these Reasons for Judgment, I do not agree that these alternative methods were considered at the relevant time and thus represented any risk.

[889] As mentioned in the previous section of these Reasons for Judgment, Dr. Horst’s opinion reflects hindsight bias, which is inappropriate. Dr. Horst used the Integrated Economic Model to opine on the economic viability of the Project at the outset, but the Integrated Economic Model was not in existence when the PACA Agreement was executed in June 2001, and much less when the PACA Agreement was negotiated between the Appellant and EMPC.

[890] Further, I accept Mr. McMahon’s and Mr. Kubasek’s evidence that the Project Team received cost estimates during the fall of 2001, and the Project Team made various updates to the model, and that cost estimates were within a +/- 20% range.

[891] Dr. Horst’s opinion regarding paragraphs 2 and 4 is not supported by any comparable transactions and is not supported by any functional analysis, company analysis, industry analysis and is only partly supported by an economic analysis.

[892] Further, in his review of the benefits for the Appellant, Dr. Horst did not consider the fact that the Appellant licensed the data from the Project in 2003, and that the Appellant contributed the data in 2009/2010 under the TransCanada Pipeline Joint Venture, which makes his analysis unreliable.

[893] Dr. Horst also used unreliable assumptions to make his calculations of the projected benefits under the PACA Agreement for the Appellant. I will discuss the expected benefits as derived from the Project more fully below.

[894] Moreover, Dr. Horst did not opine on the projected benefits or risks for EMPC as he focused on whether the benefits the Appellant might reasonably expect to receive under the PACA Agreement were commensurate with the risk that the pipeline might never be constructed, placed in service and thus realized the projected tariff revenues.

[895] For all these reasons, I find that Dr. Horst’s opinion with respect to paragraphs 2 and 4 is unreliable and does not allow the Court to determine whether EMPC and the Appellant would have entered into these terms, if they were dealing at arm’s length.

ii. EY Expert Report and testimony

[896] The EY Expert Report contains a thorough transfer pricing analysis informed by the interpretative aide of the OECD Guidelines. The EY Expert Report also refers to comparable transactions and uses reliable assumptions verified by the evidence that I accepted, to opine on whether the terms and conditions of the PACA Agreement differ from those that would have been made if EMPC and the Appellant were dealing at arm’s length. I find that EY’s expert testimonies and the EY Expert Report carry a lot of weight.

[897] EY reviewed the PACA Agreement examining both parties to the transaction, namely EMPC and the Appellant, which examination was not properly done by Dr. Horst.

[898] According to EY, the framework for a transfer pricing analysis would always involve the following (which EY referred to as the “Building Blocks” of a transfer pricing analysis):

  • (i)An analysis of the companies, namely an analysis of the parties involved including an overview of the business, a review of the multinational group activities, and a review of the entities involved;

  • (ii)An analysis of the industry;

  • (iii)An analysis of the transaction to be reviewed. This includes a functional analysis (which contains an analysis of functions performed, risks assumed, and assets used) and an economic analysis (which involves a selection of a transfer pricing method, a selection of a comparable transaction and consideration of comparability adjustments).

[899] I find that the use of the building blocks as described by EY accord with the GE Canada decision, where the Federal Court of Appeal stated that the concept underlying paragraphs 247(2)(a) and 247(2)(c) involves taking into account “all the circumstances which bear on the price whether they arise from the relationship or otherwise” (GE Canada, at para 54).

[900] EY rightly identified the transaction to be reviewed under the transfer pricing provisions, namely the PACA Agreement, which provides for an assignment by EMPC to the Appellant of 68% of EMPC’s one-third Participating Interest in and to the rights, duties, benefits, obligations, costs, rewards, risks and liabilities arising in connection with the Project Agreement, and as a consequence, 68% of its one-third share of the feasibility study costs under the Project Agreement.

[901] EY selected the comparable uncontrolled price or transaction method (“CUP” or “CUT” method) using the Project Agreement itself as an internal comparable to the PACA Agreement for how arm’s length parties would have behaved in similar circumstances (EY Expert Report, pp. 43-44).

[902] To determine that the Project Agreement was an internal comparable to the PACA Agreement, EY examined five factors which EY opined were either the same or similar under both agreements: same characteristics of property and services, comparable functions performed by all participants in the feasibility study, comparable contractual terms, comparable economic circumstances and alignment in business strategies.

[903] EY conducted a company analysis of both parties to the PACA Agreement (section 2 of the EY Expert Report).

[904] The EY Expert Report specifically relied on the fact that the Feasibility Study under the Project Agreement “did not include the evaluation of upstream facilities related to the production of gas and instead commenced with the evaluation of a gas treatment plant needed to purify the natural gas and the gas transmission pipelines and reflected compression facilities along the proposed pipeline. A gas treatment plant is a normal course pipeline asset” (EY Expert Report, p. 11).

[905] Mr. McMahon also testified that the pipeline would begin with a gas treatment plant to purify the gas so it could be shipped through the pipeline.

[906] I agree that a gas treatment plant is a normal course pipeline asset. I further agree that the evidence showed that the Project did not include feasibility studies with respect to upstream activities, namely production of natural gas.

[907] I agree with EY’s statements regarding the purpose of the Feasibility Study. The evidence showed that there were no activities undertaken under the Project Agreement which relate to the production of the natural gas. Section 2.3 of the Project Agreement specifically excluded the shipment or marketing of gas or NGLs, providing that each party remains solely and individually responsible for shipping and marketing its gas and NGLs.

[908] Under section 3 of the EY Expert Report, EY conducted an industry analysis, providing an overview of the natural gas pipeline sector within North America, a business overview of natural gas pipeline business and stages of pipeline development (feasibility study, route selection, regulatory approval, design and engineering). EY also provided examples of tolling arrangements and of North American pipelines with shared ownership or joint venture arrangements.

[909] Consistent with Mr. Carruthers’ testimony, EY stated that with respect to pipeline ownership, the pipeline industry is highly fragmented, because of the very expensive price of constructing a pipeline. EY also indicated that in very large capital asset projects, like constructing a major pipeline, a gating-process is used, including several stages that could span over several years (section 3.1 of the EY Expert Report).

[910] EY’s overview of pipeline development is corroborated by Mr. Carruthers’ expert testimony on the subject and must be accepted by the Court.

[911] Further, EY stated that when a large asset is built, an investor earned a return on equity invested.

[912] Under section 5 of the EY Expert Report (pp. 31-41), EY conducted a functional analysis, examining the functions performed, the risks assumed, and the assets used by EMPC and the Appellant respectively, as they are relevant comparability factors to be considered in a transfer pricing analysis, and are relied upon in the search for comparable transactions.

[913] I agree with EY’s conclusion that the functions performed by the parties to the Project Agreement, including EMPC, are extensive and align with an entrepreneurial role. I also agree with EY’ conclusions that the functions performed by the Appellant in accordance with the PACA Agreement are similar to those performed by EMPC under the Project Agreement and align also with an entrepreneurial role.

[914] EY opined that given that the Project Agreement specifically excludes the evaluation of any feasibility related to ANS natural gas production and marketing, as well as the evaluation of any feasibility related to other hydrocarbons, similar functions were performed by EMPC and the Appellant.

[915] As the evidence has shown, and as relied upon by EY, the Feasibility Study consisted of a series of specific studies of the commercial, engineering, safety, health, environmental, regulatory, external affairs, security, risk management, construction plan, costs estimation plan, quality assurance, quality control plan, maintenance and technical aspects of the Project, including consultation with various parties, with the ultimate objective of pursuing the filing of regulatory applications with the NEB and the FERC in mid 2001 (as shown in the numerous job books prepared by the Project Team). No study was in relation to production.

[916] Further, as the evidence has also shown, and as relied upon by EY, the feasibility costs incurred under the Project Agreement were agreed upon between the parties and were incurred under contracts with various arm’s length service providers located in the USA and in Canada. The feasibility costs were invoiced to the participants to the Project Agreement in their proportionate Participating Interests, and KPMG was hired to handle such invoicing and perform other services.

[917] However, Dr. Horst did not agree with EY that functions performed by EMPC and the Appellant were the same or were comparable (Horst Rebuttal of EY Report, pp. 9-10). Although Dr. Horst agreed with the description of functions performed by EMPC as outlined in the EY Expert Report, Dr. Horst opined that the Appellant did not contribute any tangible or intangible assets to the Project, as EMPC did.

[918] I do not agree with Dr. Horst. The evidence showed that the Appellant contributed employees and office space, which contributions were all accounted for by KPMG in aggregating the total feasibility study costs under the Project Agreement, and most importantly the Appellant contributed cash to the Project by paying its proportionate share of the feasibility study costs. Therefore, I find that functions performed by EMPC and the Appellant were similar.

[919] Regarding the risks assumed by the parties, EY opined that the Appellant assumed the same risks as EMPC under the Project Agreement, as well as the other parties to the Project Agreement. These risks were economically significant as there were market volatility risks, feasibility risks, investment risks, execution and other associated risks, and counterparty risks. I agree with EY’s statement.

[920] Further, EY relied on the fact that the Appellant had adequate financial resources, including capital reserves, liquidity and access to funding, and had the capacity to endure potential losses or adverse outcomes associated with the risks assumed. The Appellant has annual capital expenditure budget of $300 million, the CEO was authorized to approve up to $5 million to address risks associated with the PACA Agreement, participation in the PACA Agreement and projected amounts were clearly approved in 2001 and revised. The affiliation of the Appellant with the ExxonMobil group, along with the Appellant’s capacity to secure third-party financing though parental guarantees or loans confirms the financial capacity of the Appellant to manage the risks assumed under the PACA Agreement.

[921] I agree with EY’s analysis of the risks assumed by both parties. I also consider the effect of the assignment of an interest in the Project Agreement, providing the Appellant with all the rights and obligations under the Project Agreement, including the right to withdraw from the Project.

[922] In addition, the experience of the Appellant in similar projects, including the Maritimes & Northeast Pipeline, gave the Appellant awareness of the risks it undertook and potential issues it could face. As the Appellant had experience, it could prepare for potential challenges, which would enable it to anticipate and address issues effectively. To come to this conclusion, I considered the testimony of Mr. McNamara dealing with the business of the Appellant, which included pipelines ownership.

[923] With respect to assets used, the Appellant shares the rights and obligations with the other participants to the Project Agreement, which provides the potential right to the ownership of a segment of a pipeline, and the opportunity for transportation as well as ownership of the proprietary rights to the Feasibility Study data and information once the Project Agreement was terminated. Again, as indicated above, the Appellant did license the data to the Mackenzie Gas Project in 2003 and contributed the data in 2009-2019 under the TransCanada Pipeline Joint Venture.

[924] Under section 6 of the EY Expert Report, EY conducted an economic analysis to determine the expected benefits for the parties involved in the Project and whether the allocation of feasibility study costs between the Appellant and EM Corp. under the PACA Agreement was in line with the arm’s length principle.

[925] In applying the CUP method to the PACA Agreement, EY opines that, in accordance with section 247 and the OECD Guidelines, an application of the arm’s length principle to cost allocation arrangements requires that costs be allocated in proportion to the expected benefits for the parties involved (EY Expert Report, pp. 44 and 50). The underlying reasoning is that cost allocation criterion aligns with what independent enterprises would establish in similar transactions among themselves.

[926] This proportionality standard derived from the OECD Guidelines (at para 7.23) is more fully described in the OECD Guidelines from 2009 (Exhibit A‑18, para 8.9), which provides that:

“The expectation of mutual benefit is fundamental to the acceptance by independent enterprises of an arrangement for pooling resources and skills without separate compensation. Independent enterprises would require that each participant's proportionate share of the actual overall contributions to the arrangement is consistent with the participant's proportionate share of the overall expected benefits to be received under the arrangement.

[Emphasis added.]

[927] Following the OECD guidelines, EY stated that the arm’s length principle can be applied to the PACA Agreement by ensuring that EMPC’s portion of feasibility study costs is allocated between EMPC and the Appellant in proportion to their expected benefits (EY Expert Report, p. 45).

[928] EY opined that EMPC, BP Alaska and Phillips Alaska have allocated the costs of the Project among themselves in proportion to their respective participating interests, each owning one-third Participating Interest and each paying one-third of the feasibility study costs.

[929] EY further opined that EMPC and the Appellant have also allocated the costs of the Project among themselves under the PACA Agreement in proportion to their respective Participating Interests in the Project Agreement by virtue of paragraph 4, as instructed by paragraph 2 where EMPC assigned to the Appellant 68% of its one-third Participating Interest in the Project Agreement, and the Appellant agreed to pay its proportionate share of the feasibility study costs under the Project Agreement.

[930] Applying the proportionality standard, EY concludes that both the Parties to the PACA Agreement and the Parties to the Project Agreement (the comparable transaction) have allocated the costs of the Project among themselves in proportion to their respective Participating Interests. EY opined that “the allocation to [the Appellant] of 68% of EMPC’s one-third portion of the Feasibility Study Costs aligns with the cost allocation made by independent parties participating in a comparable transaction” (EY Expert Report, p. 49).

[931] EY stated that the allocation of costs in proportion to participating interests aligns with the terms and conditions in other pipeline project agreements amongst arm’s length parties. For example, EY referred to the TransCanada Pipeline Joint Venture.

[932] I agree with EY and find that the proportionality standard is met under the circumstances when considering the proportionate interest in the Project Agreement owned by the Appellant and EMPC, and the proportionate feasibility study costs assumed by each of the parties to the PACA Agreement.

[933] The proportionality standard would also apply to ensure that the feasibility study costs were allocated in proportion to the expected benefits of the Appellant and EMPC as derived from the Project.

[934] EY stated that pipeline construction projects often require significant capital investments; companies involved in such project often enter into similar arrangements to pool resources and share burdens of construction projects, and stated that “[i]n many cases, companies that invest in the construction of a pipeline through a joint venture will own an equity stake in the pipeline proportional to their contributions” (EY Expert Report, p. 50).

[935] In that regard, EY opined that it was reasonable to consider the portion of the pipeline, if constructed, that the Appellant and EMPC could expect to own. Indeed, in this appeal, the evidence showed that the Appellant would be the owner of the Canadian segment of the pipeline, if built and if the ExxonMobil group had an ownership interest in the pipeline.

[936] EY stated that “the primary expected benefit that EMPC and [the Appellant] expect to derive from the Project is represented by the tolls they expect to receive from the operation of any resulting pipeline and the profits associated therewith” (EY Expert Report, p. 50). According to EY, other expected benefits are incidental and very difficult to quantify at this stage of a feasibility study.

[937] I accept EY’s statement regarding the pooling of resources and sharing burdens of construction projects, as it was also corroborated by Mr. Carruthers and the evidence that I accepted. Further, as indicated above, the Project is a feasibility study to progress a pipeline project and does not involve any study for production. The evidence also showed that if the pipeline was built and if the ExxonMobil group owned an interest in the pipeline, the Appellant would be the owner of the Canadian segment of the pipeline. As such, I accept EY’s opinion that the primary expected benefits from the Project are the tolls to be derived from the pipeline.

[938] Further, in applying the concept of proportionality between contributions and expected benefits, EY measured the value of the contributions made by the parties to the Project Agreement and the PACA Agreement and opined that the value of the contributions made by the Appellant to the Project is aligned with the overall feasibility study costs borne by the Appellant. I agree with EY that the material contributions made by the parties to the PACA Agreement and the Project Agreement are represented by the share of the feasibility study costs incurred by each of them. I also agree with EY that the value of contributions made by unrelated parties who provided services for the feasibility study is measured in accordance with the arm’s length principle. Further, the evidence showed that all contributions made by the participants to the Project were aggregated and allocated between them (including BP Alaska and Phillips Alaska). As such, EY opined that the value of contributions would be in line with the arm’s length principle.

[939] EY therefore concluded that “the allocation of 68% of EMPC’s one-third share of the Feasibility Study Costs ensures that the share of overall contributions made by [the Appellant] is consistent with the portion of the expected benefits [the Appellant] can expect to derive from the Project” (EY Expert Report, p. 51).

[940] I accept EY’s opinion, which is in line with the preamble to the PACA Agreement stating that “the parties expect that [the Appellant] will benefit to the extent that the Project Agreement leads to a pipeline project in Canada and the parties expect EMPC to benefit to the extent the Project Agreement results in a pipeline project in Alaska and the lower-48…”.

[941] Finally, EY opined that the decision to allocate the feasibility study costs in proportion to the projected pipeline housed in Canada versus in the USA is in line with industry standards, being in line with the common practice and industry (EY Expert Report, p. 51). Further, for large pipeline projects, such as the projected pipeline under the Project, the advantage of using a distance-based allocation method is its simplicity and transparency.

[942] Mr. Carruthers also opined that the PACA Agreement accurately reflects expected costs and benefits from the Project and the Feasibility Study. An allocation based on average distance of pipeline in Canada and in the USA was logical, objective, documented and independently verifiable.

[943] However, Dr. Horst opined that EY’s conclusion on expected benefits would be correct only if the Project was sponsored by three typical natural gas pipeline investors. According to Dr. Horst, since the Project is a producer-led project that did not welcome typical natural gas pipelines as sponsors, and since the Integrated Economic Model developed by the Project Team calculated the net cash flow for the pipeline, not only for the pipeline owners but also for the producers, it would make sense to include the expected cash flow for the producers in the evaluation of the expected benefits from the Project (Horst Rebuttal of EY Report, pp. 10-14).

[944] Dr. Horst further opined that EMPC’s total benefits under the Project Agreement are both larger and riskier than the Appellant’s benefits under the PACA Agreement, and so the Appellant’s benefits under the PACA Agreement are not comparable to EMPC’s benefits under the Project Agreement (Horst Rebuttal of EY Report, pp. 17-18).

[945] For the following reasons, I do not agree with Dr. Horst’s conclusion that expected benefits should include revenues from production or exploitation of the resources when analysing the proportionality under the PACA Agreement, and I find EY’s opinion more convincing, being in line with Mr. Carruthers’ expert opinion.

[946] I accept EY’s testimony that although the exploitation of the natural gas resources is relevant to ExxonMobil as a global group, as well as to BP Alaska and Phillips Alaska, the scope of the PACA Agreement is related to the division of feasibility study costs for a pipeline project, and as such, the primary expected benefits from the Project are the tolls to be expected from the pipeline.

[947] In concluding that the primary expected benefits from the Project are the tolls to be expected from the pipeline itself, I have also considered that the purpose of the Project is a feasibility study for a pipeline project as shown by the Project Agreement itself, the testimony of the lay witnesses, and the nature of the feasibility studies performed under the Project. Further, the Project Agreement specifically excludes the production, marketing and shipping of natural gas. All studies performed under the Project Agreement relate to the feasibility of a pipeline, and no studies were performed regarding the production or exploitation of resources.

[948] I further accept EY’s testimony that the pipeline must be feasible within the ecosystem in which a pipeline operates, as it would go through the regulatory approvals (NEB and FERC) and would have to charge tariffs and tolls for its owners to get an appropriate rate of return. Moreover, I accept EY’s testimony that it would not be possible to purposefully construct a pipeline that would be a loss leader and for the pipeline investors to lose money, so that the natural gas resources could be exploited by the producers.

[949] I find that the analysis of proportionality under the arm’s length principle cannot be whether all potential benefits in relation to the Project are proportionate to the limited feasibility study costs incurred under the feasibility study performed under the Project. I find that analysing proportionality in these circumstances requires ensuring that the feasibility study costs were allocated between EMPC and the Appellant in proportion to their respective expected benefits derived from the Project. The Project, a feasibility study for a pipeline project, has to be able to stand on its own financially, without consideration of additional revenue sources not being derived from the Project itself, for example, revenues from the exploitation of the natural gas resources. The analysis to be made is focused on whether the expected benefits from the Project are proportionate to the costs incurred under the PACA Agreement, namely costs for a feasibility study for a pipeline project. Costs paid in accordance with the PACA Agreement did not include any costs for feasibility for the production or exploitation of resources.

[950] Moreover, I accept Mr. Carruthers’ testimony that regulatory authorities (NEB and FERC) would not include costs for production in the costs that could be recovered under the tariffs and tolls. More specifically, Mr. Carruthers stated that “[p]ipeline companies would not incorporate the expected benefits obtained by the Producers in arms-length transactions with shippers, nor would someone expect the NEB (now CER) to approve such arrangement” (Carruthers Expert Report, p. 23).

[951] Relying on Dr. Horst’s opinion, the Respondent also asserts that the Project was a producer-led study and refers to various documents (Exhibit AR-1, Joint Book of Documents, tabs 5, 6, 7 and 68). In essence, these documents referred to various alternative options to commercialize the ANS natural gas that EM Corp. had considered, namely an LNG or a GTL option. Additionally, they referred to economic projections of the Project as derived from the Integrated Economic Model and Management Committee meetings which suggest the Project is “producer-driven”.

[952] I find that the question of whether the Project qualifies as a producer-led study or not is not relevant to the issue I must consider. I accept the Appellant’s argument that every pipeline project stands on its own and has parties involved in it for their own reasons, and further that no entity would want to progress a pipeline unless there is supply of resources.

[953] As indicated by Mr. Carruthers, there are many examples of producers and pipeline operator-owned pipelines. For example, the Express Pipeline is owned jointly by TCPL and Alberta Energy Company; the Northern Gateway Pipeline was funded by Enbridge and a combination of Canadian oil producers and some Asian participants. According to Mr. Carruthers, nothing established that the Project participants did not plan on owning any potential pipeline segments arising out of the Project (Carruthers Rebuttal Report, pp. 18-20).

[954] Moreover, the Horst Expert Report uses the Alliance Pipeline negotiated tariff rates with an assumed 70-30 debt-equity ratio and a 12% after-tax return on equity as a model for the expected benefits the Appellant could receive from a pipeline. However, because the Alliance tariff method did not include any risk premium that would compensate a potential investor for the risk that the pipeline may never be built, Dr. Horst concluded that an arm’s length person would not agree to the PACA Agreement (Horst Expert Report, pp. 61-62). I do not agree with Dr. Horst’s conclusion.

[955] I accept the evidence which showed that the Alliance Pipeline economics used by Dr. Horst to opine on the expected benefits for the Appellant were not determined yet for the Project. As indicated in the previous section of these Reasons for Judgment, I accept Mr. Carruthers’ credible evidence, which was supported by documentary evidence (Exhibit AR-1, Joint Book of Documents, tab 50), that the Alliance Pipeline was not a model for the Project, but for tariffs and rate principles at the feasibility study assessment stage. Further, the evidence showed that tariffs and rates principles were still not yet finalized.

[956] I also accept Mr. Carruthers’ expert evidence that the conclusion reached by Dr. Horst that the Alliance Pipeline was a model for the Project is simply wrong (Carruthers Rebuttal Report, p. 17). Further, I accept Mr. Carruthers’ evidence that the use of negotiated rates, instead of higher recourse rates, was the norm for pipelines at the relevant time.

[957] In addition, as indicated by Mr. Carruthers, there are clear benefit expectations for a potential pipeline owner: these are the tolls that would be established by the NEB under federal regulation (Carruthers Expert Report, at p. 22).

[958] As explained by Mr. Carruthers, although the Alliance Pipeline would serve as a model for the Project’s tariff and rate principles at the feasibility study assessment stage, these principles were not novel to the Alliance Pipeline. The 70-30 debt-equity ratio was established at the NEB three years before the NEB decision concerning the Alliance Pipeline was rendered (NEB Decision GH-3-97 rendered in November 1998). The NEB rendered its Costs of Capital Decision RH-2-94 in March 1995 regarding multi-pipelines which established a formula using the 70-30 debt-equity ratio (Carruthers Rebuttal Report, p. 14). At the time that Alliance’s 12% negotiated rate of return was negotiated, the formula in NEB Decision RH-2-94 prescribed 11.25% and when the Alliance Pipeline went into service, the formula prescribed 9.90% (Carruthers Rebuttal Report, p. 15). Further, the rate of return was to be adjusted annually based on the Government of Canada’s bond yield forecasts (Carruthers Rebuttal Report, p. 16).

[959] According to Mr. Carruthers, at the feasibility stage of the Project, it was appropriate to evaluate the Project economics by using recently approved cross-border greenfield pipeline debt-equity ratio and return on equity precedents. According to Mr. Carruthers, the approved debt-equity ratio and return on equity would have evolved in the NEB approval process (Carruthers Rebuttal Report, p. 16).

[960] A fair or reasonable rate of return that would be approved by the regulator should be based on the following factors according to the NEB’s Costs of Capital Decision RH-4-2001 (Exhibit A-9; quoted in the Carruthers Rebuttal Report, p. 16):

“Be comparable to the return available from the application of the invested capital to other enterprises of like risk (the comparable earnings standard);

Enable the financial integrity of the regulated enterprise to be maintained and permit incremental capital to be attracted to the enterprise on reasonable terms and conditions (the financial integrity and capital attraction standards); and

Achieve fairness both from the viewpoint of the customers and from the viewpoint of present and prospective investors (appropriate balance of customer and investor interests).”

[961] Therefore, although the benefits the Appellant could expect to receive from being a pipeline owner were not finalized, reasonable estimations were available to the Appellant. The ultimate benefits the Appellant could expect to receive from tolls were guaranteed to be calculated in a federally regulated environment.

[962] Furthermore, as explained by Mr. Carruthers, assuming that the total cost of the Project would be $20 billion (considering the Appellant’s 22.67% share of the costs, namely $4.5 billion) and assuming a 30% equity and an approved rate of return on common equity of 12%, the annual return on equity for the Appellant would be $162 million, or $6.5 billion assuming a 40-year life of the pipeline (Carruthers Expert Report, p. 23). These returns are significant and would be calculated in direct proportion to the costs the Appellant stood to incur.

[963] The EY Expert Report applies the standard of proportionality to gauge whether the arm’s length standard is met for the PACA Agreement, as per the OECD Guidelines. The OECD Guidelines are not controlling as Canadian statutes are, and the case must ultimately be determined in accordance with the Act (GlaxoSmithKline SCC, at para 20). However, they can and have been used as a useful guiding tool in Canadian transfer pricing jurisprudence.

[964] Proportionality is assessed based on the reasonable expectation of benefits in comparison to the cost at the time the arrangement is entered into, with the acknowledgement of the uncertainty that the potential project may not proceed. To apply a risk premium as suggested by Dr. Horst to the expected benefits, without increasing the costs the independent investors would incur, would make the benefits of a pipeline investors disproportionate to the costs they are incurring.

[965] In addition, Dr. Horst concluded that the allocation of feasibility study costs based on estimated distance of each of the Northern Route and the Southern Route (under four different scenarios) is not based on industry standard, contrary to EY’s opinion. Dr. Horst opined that the common industry standard is reflected in the two-step allocation procedure developed under the Integrated Economic Model, namely all feasibility study costs are allocated to the three original parties to the Project Agreement, and then each of the original parties to the Project Agreement are allocated one-third of the total costs allocated to the Canadian segment of the pipeline and one-third of the total costs allocated to the US segment of the pipeline. Dr. Horst also referred to the true-up adjustment provided in the PACA Agreement to bring the Appellant’s share of the feasibility study costs to 68% of the total costs, which would increase the Appellant’s share of the feasibility study costs.

[966] I do not agree with Dr. Horst’s conclusion. I find EY’s opinion more persuasive as it is corroborated by Mr. Carruthers who was qualified as an expert on pipeline project development. Further, both Mr. Carruthers and Mr. McMahon testified that this represented an objective and fair allocation of costs at the feasibility study stage of a pipeline. I also considered EY’s testimony that each kilometre of a pipeline does not cost the same.

[967] To determine the reliability of Dr. Horst’s conclusion regarding allocation of feasibility study costs at the stage where the Project was, namely at the FEL-1 (with some of FEL-2) stage, I also considered that Dr. Horst admitted he was not an expert on feasibility study stages of pipeline development and did not know how feasibility study costs are allocated among parties in different jurisdictions. Thus, I find EY opinion more persuasive.

[968] I find that the Respondent had not established that the Appellant’s interest and contributions to the Feasibility Study fall outside an arm’s length range when measured against the benefits properly attributable to it under the PACA Agreement, as informed by the Project Agreement. I also find that the Respondent had not adduced any evidence regarding whether EMPC’s interest and contributions to the Feasibility Study fall outside an arm’s length range when measured against the benefits attributable to it under the PACA Agreement, as informed by the Project Agreement.

[969] For all these reasons, and given EY’s persuasive and convincing expert opinion, I find that the requirements of paragraph 247(2)(a) are not met in relation to both paragraph 2 and paragraph 4 of the PACA Agreement. Further, considering my findings in respect of paragraph 6 of the PACA Agreement detailed in the next section of these Reasons for Judgment, I accept EY’s expert opinion that the main terms and conditions applied by the parties to the PACA Agreement align with those which would have been made between EM Corp. and the Appellant, had they been dealing at arm’s length, therefore the requirement of paragraph 247(2)(a) is not met in this appeal.

iii. Paragraph 6 of the PACA Agreement

[970] A central concern of the Respondent relates to the Appellant’s governance rights under paragraph 6 of the PACA Agreement. The Respondent argues that this governance structure is fatal to whole transaction and renders paragraph 6 a term that parties dealing at arm’s length would not agree to.

[971] The Respondent states that no arm’s length party would agree to incur 22.67% of the feasibility study costs under the Project Agreement where:

  • -Voting rights of the assignor and assignee are aggregated and treated as one vote;

  • -Effective control over this vote remained with EMPC absent written consent; and

  • -The Appellant lacks unilateral decision-making authority over scope, budget or direction of the Project.

[972] The Respondent relies on Dr. Horst’s statements that “EMPC clearly understood that a third-party investor in the [Project] would reasonably expect balanced governance” (Horst Expert Report, p. 8).

[973] For the following reasons, I do not find Dr. Horst’s conclusion convincing, and I do not agree with the Respondent’s arguments.

[974] I accept Mr. Carruthers’ opinion that “[a] third party investor would not require equal governance, but they would want to ensure there is sufficient/appropriate governance from that party’s perspective” (Carruthers Rebuttal Report, p. 28).

[975] Moreover, with respect to the PACA Agreement, as informed by the Project Agreement, Mr. Carruthers stated (Carruthers Rebuttal Report, p. 29):

A third-party pipeline owner would find it very compelling to be part of a feasibility study where a critical commercially sophisticated stakeholder (U.S. portion pipeline owner and required credit worthy shipper) is sharing the relative minimal costs of a feasibility study with respect to a potential megaproject investment.

[976] I also accept Mr. Carruthers’ opinion that the risk of material misalignment at the feasibility stage of a megaproject would be low as parties are seeking information to make an informed decision on the feasibility of the Project, here a pipeline project (Carruthers Rebuttal Report, p. 29).

[977] I find these statements from Mr. Carruthers to be credible and persuasive. I find that an arm’s length party entering into the PACA Agreement would not require an entirely equal governance but instead would require appropriate governance, with protections.

[978] Further, the evidence showed that the Appellant was not devoid of protections from the current governance structure under the PACA Agreement, as the Appellant possessed:

  • -Contractual rights to receive information regarding the feasibility study performed under the Project Agreement, and did receive copies of minutes of the Committees’ meetings;

  • -The right to have its input heard and accounted for in the exercise of any vote;

  • -The right to withdraw from the Project Agreement, as more fully discussed above;

  • -An economic interest aligned with EMPC in respect of pipeline ownership and toll revenues.

[979] In that respect, I accept Mr. McNamara’s testimony that he was aware of the Project development, was able to share any concern he may have with the Project and also had participated in reporting to senior management regarding the Project’s advancement.

[980] Mr. McNamara had access to representatives of various committees if need be. Mr. McNamara testified that he primarily received updates on the Project from Mr. Kubasek and Mr. Schilhab. Mr. McNamara did not recall any major concerns he may have raised with Mr. Schilhab or Mr. Kubasek.

[981] The Respondent’s argument implicitly assumes that arm’s length investors would not incur significant costs absent equal control. However, the Appellant’s interests were not averse to those of EMPC in respect of the feasibility study. The feasibility study’s purpose was to assess the viability of a pipeline in which both parties would ultimately hold an interest.

[982] Dr. Horst further opined that the Appellant’s governance rights under the PACA Agreement are not comparable to EMPC’s rights under section 4.3.1 of the Project Agreement which provides that:

Unanimous consent of the Management Committee shall be required on all matters under the Agreement. There shall be no lead, operator, or managing Party.

[983] Dr. Horst further stated that under paragraph 6 of the PACA Agreement, the Appellant agreed that EMPC’s representatives were authorised to bind EMPC and the Appellant, in all meetings of the Project Team’s committees. Dr. Horst stated that he did not understand the meaning of EY’s assertion that the Appellant “had the appropriate professional capability to select EMPC as its representative” (EY Expert Report, p. 48).

[984] For the following reasons, Dr. Horst’s conclusion that the Appellant had no representative on the various committees of the Project Team under the Project Agreement is incorrect.

[985] According to paragraph 6, the Appellant agreed that its vote (aggregated with EMPC’s vote under the Project Agreement) would be exercised through a representative mutually agreed to by EMPC and the Appellant, and until both parties agreed in writing, Mr. Longwell, Mr. Sikkel and Mr. Schilhab would be authorized to bind both EMPC and the Appellant at the respective Project Team’s committees. The Appellant therefore had a representative at the Project Team’s committees.

[986] I also agree with EY’s statement that the Appellant “had the appropriate professional capability to select EMPC as its representative”, as the Appellant agreed to enter into the PACA Agreement and agreed to all its terms and conditions. Further, the Appellant had rights to give input into the exercise of the vote it had with EMPC regarding the Project Agreement.

[987] Because risks of material misalignment are minimal at the feasibility study stage of a megaproject and weighing the evidence, I find that an arm’s length party entering into the PACA Agreement would not require an entirely equal governance but instead would require appropriate governance, with protections, which the Appellant got under the PACA Agreement.

[988] I further find that the absence of unilateral voting power by the Appellant does not, in itself, demonstrate that the Appellant’s agreeance to this term is not something arm’s length parties would not agree to.

[989] For all these reasons, I find that the requirements of paragraph 247(2)(a) are not met in relation to paragraph 6 of the PACA Agreement, which showed an appropriate governance that arm’s length parties would agree to at this stage of a feasibility study.

c) Conclusion

[990] Paragraph 247(2)(a) is concerned with whether the terms or conditions of a transaction differ from those that would have been made between arm’s length persons. Paragraph 247(2)(c) operates to permit an adjustment to the “quantum or nature” of an amount based on terms and conditions that arm’s length parties would have agreed to.

[991] I agree with the EY Expert Report’s overall finding, which expert opinion was credible and persuasive. I find that there is no basis to conclude that an arm’s length pipeline investor would be unwilling to bear a comparable proportion of feasibility costs in exchange for toll revenues and ownership interests of a projected pipeline. Particularly, when the expected benefits would be calculated in proportion to the costs incurred under a regulated environment.

[992] On the evidence, the Respondent has not established that the Appellant’s interests and cost contributions to the Feasibility Study fall outside an arm’s length range when measured against the expected benefits properly attributable to it under the PACA Agreement. The Respondent has also not provided any evidence with respect to EMPC.

[993] The evidence has shown that arm’s length investors routinely incur development costs on projects where the final scope of benefits is uncertain. The Respondent’s arguments effectively apply hindsight to reallocate costs based on outcomes that were not known at the time the PACA Agreement was entered into.

[994] I have no evidence before me that either paragraphs 2, 4, or 6 of the PACA Agreement affects the price. The Respondent has not suggested alternative terms and conditions to the PACA Agreement so that it would be consistent with the arm’s length principle. Dr. Horst did not provide me with any alternate terms and conditions which would meet the arm’s length principle, other than asserting that a fee-for-services agreement would be an alternative arm’s length agreement.

[995] Furthermore, there is no suggestion as to how alternative terms and condition would affect the “quantum or nature” of the amount underlying this appeal, other than suggesting that the Feasibility Study Costs be reduced to zero.

[996] The only suggestion the Respondent makes as to what arm’s length parties should have done is to recharacterize the PACA Agreement as a fee-for-services arrangement. I find that it is not justifiable to entirely recharacterize the PACA Agreement as a fee-for-services arrangement under an entirely different agreement under the scheme of paragraph 247(2)(c) (Cameco TCC, at para 688).

[997] Having concluded that the requirements of paragraph 247(2)(a) are not met, paragraph 247(2)(c) does not apply to the PACA Agreement.

V. Part XIII Tax Assessment

[998] The Minister assessed an amount of $1,810,391 as tax under Part XIII of the Act, on the basis that the payment of the Feasibility Study Costs ($36,207,810) by the Appellant was deemed to be a dividend paid by the Appellant to EM Corp. As such, the Minister is of the view that the Appellant was required to withhold and remit Part XIII tax on that amount by virtue of subsections 212(2) and 215(1).

[999] The Minister relied on paragraphs 246(1)(b) and 214(3)(a), taking the view that the Appellant conferred a benefit on its ultimate shareholder, EM Corp., by paying the Feasibility Study Costs, and that said amount was deemed to be a dividend paid by the Appellant to EM Corp. for purposes of Part XIII.

[1000] The tax under Part XIII was calculated by the Minister at the rate of 5% under Article X of the Treaty, and not at the rate of 25% as provided for in subsection 212(2).

[1001] However, at the hearing, the Respondent relied on the application of subsection 56(2) and paragraph 214(3)(a) as the basis for the Part XIII Tax Assessment.

1. The Law

[1002] The relevant provisions of the Act read as follows.

PART I

56(2) A payment or transfer of property made pursuant to the direction of, or with the concurrence of, a taxpayer to some other person for the benefit of the taxpayer or as a benefit that the taxpayer desired to have conferred on the other person … shall be included in computing the taxpayer’s income to the extent that it would be if the payment or transfer had been made to the taxpayer.

152(9) The Minister may advance an alternative argument in support of an assessment at any time after the normal reassessment period unless, on an appeal under this Act

(a) there is relevant evidence that the taxpayer is no longer able to adduce without the leave of the court; and

(b) it is not appropriate in the circumstances for the court to order that the evidence be adduced.

PART XIII

212 (2) Every non-resident person shall pay an income tax of 25% on every amount that a corporation resident in Canada pays or credits, or is deemed by Part I or Part XIV to pay or credit, to the non-resident person as, on account or in lieu of payment of, or in satisfaction of,

(a) a taxable dividend (other than a capital gains dividend within the meaning assigned by subsection 130.1(4), 131(1) or 133(7.1)); or

(b) a capital dividend.

214(3) For the purposes of this Part,

(a) where section 15 or subsection 56(2) would, if Part I were applicable, require an amount to be included in computing a taxpayer’s income, that amount shall be deemed to have been paid to the taxpayer as a dividend from a corporation resident in Canada;

215(1) When a person pays, credits or provides, or is deemed to have paid, credited or provided, an amount on which an income tax is payable under this Part … the person shall, notwithstanding any agreement or law to the contrary, deduct or withhold therefrom the amount of the tax and forthwith remit that amount to the Receiver General on behalf of the non-resident person on account of the tax and shall submit with the remittance a statement in prescribed form.

PART XVI

246(1) Where at any time a person confers a benefit, either directly or indirectly, by any means whatever, on a taxpayer, the amount of the benefit shall, to the extent that it is not otherwise included in the taxpayer’s income or taxable income earned in Canada under Part I and would be included in the taxpayer’s income if the amount of the benefit were a payment made directly by the person to the taxpayer and if the taxpayer were resident in Canada, be

(a) included in computing the taxpayer’s income or taxable income earned in Canada under Part I for the taxation year that includes that time; or

(b) where the taxpayer is a non-resident person, deemed for the purposes of Part XIII to be a payment made at that time to the taxpayer in respect of property, services or otherwise, depending on the nature of the benefit.

(2) Where it is established that a transaction was entered into by persons dealing at arm’s length, bona fide and not pursuant to, or as part of, any other transaction and not to effect payment, in whole or in part, of an existing or future obligation, no party thereto shall be regarded, for the purpose of this section, as having conferred a benefit on a party with whom the first-mentioned party was so dealing.

PARTIE I

56(2) Tout paiement ou transfert de biens fait, suivant les instructions ou avec l’accord d’un contribuable, à toute autre personne au profit du contribuable ou à titre d’avantage que le contribuable désirait voir accorder à l’autre personne… doit être inclus dans le calcul du revenu du contribuable dans la mesure où il le serait si ce paiement ou transfert avait été fait au contribuable.

152(9) Le ministre peut avancer un nouvel argument à l’appui d’une cotisation après l’expiration de la période normale de nouvelle cotisation, sauf si, sur appel interjeté en vertu de la présente loi :

a) d’une part, il existe des éléments de preuve que le contribuable n’est plus en mesure de produire sans l’autorisation du tribunal;

b) d’autre part, il ne convient pas que le tribunal ordonne la production des éléments de preuve dans les circonstances.

PARTIE XIII

212(2) Toute personne non-résidente paie un impôt sur le revenu de 25 % sur toute somme qu’une société résidant au Canada lui paie ou porte à son crédit ou est réputée, selon les parties I ou XIV, lui payer ou porter à son crédit, au titre ou en paiement intégral ou partiel :

a) d’un dividende imposable (autre qu’un dividende sur les gains en capital, au sens que donne à cette expression le paragraphe 130.1(4), 131(1) ou 133(7.1));

b) d’un dividende en capital.

214(3) Pour l’application de la présente partie :

a) le montant qui serait inclus dans le calcul du revenu d’un contribuable selon l’article 15 ou le paragraphe 56(2), si la partie I s’appliquait, est réputé avoir été versé au contribuable à titre de dividende provenant d’une société résidant au Canada;

215(1) La personne qui verse, crédite ou fournit une somme sur laquelle un impôt sur le revenu est exigible en vertu de la présente partie… ou qui est réputée avoir versé, crédité ou fourni une telle somme, doit, malgré toute disposition contraire d’une convention ou d’une loi, en déduire ou en retenir l’impôt applicable et le remettre sans délai au receveur général au nom de la personne non-résidente, à valoir sur l’impôt, et l’accompagner d’un état selon le formulaire prescrit.

PARTIE XVI

246(1) La valeur de l’avantage qu’une personne confère à un moment donné, directement ou indirectement, de quelque manière que ce soit à un contribuable doit, dans la mesure où elle n’est pas par ailleurs incluse dans le calcul du revenu ou du revenu imposable gagné au Canada du contribuable en vertu de la partie I et dans la mesure où elle y serait incluse s’il s’agissait d’un paiement que cette personne avait fait directement au contribuable et si le contribuable résidait au Canada, être :

a) soit incluse dans le calcul du revenu ou du revenu imposable gagné au Canada, selon le cas, du contribuable en vertu de la partie I pour l’année d’imposition qui comprend ce moment;

b) soit, si le contribuable ne réside pas au Canada, considérée, pour l’application de la partie XIII, comme un paiement fait à celui-ci à ce moment au titre de bien ou de services ou à un autre titre, selon la nature de l’avantage.

(2) Lorsqu’il est établi qu’une opération conclue par des personnes sans aucun lien de dépendance est une opération véritable et non une opération conclue en conformité avec quelque autre opération ou comme partie de celle-ci, non plus que pour effectuer le paiement, en totalité ou en partie, de quelque obligation existante ou future, aucune partie à l’opération n’est considérée, pour l’application du présent article, conférer un avantage à l’autre partie avec laquelle elle n’a aucun lien de dépendance.

2. Positions of the parties

1) The Respondent

[1003] In its Supplemental Written Trial Submissions filed on July 11, 2025, the Respondent relied on subsection 56(2), as contained in paragraph 214(3)(a) to support the Part XIII Tax Assessment.

[1004] Although subsection 56(2) was not pleaded in the Reply, the Respondent argued that because subsection 56(2) is referenced in paragraph 214(3)(a), it can properly be addressed by the Court. The Respondent did not argue that subsection 214(3)(a) applies because of section 15.

[1005] According to the Respondent, on the payment of the Feasibility Study Costs, subsection 56(2) would have applied to include an amount equal to the Feasibility Study Costs in computing the income of EM Corp. if EM Corp. had computed its income under Part I of the Act.

[1006] Referring to Neuman v. MNR, [1998] SCJ No. 37, at para 32 (SCC) [Neuman], the Respondent argued that the four pre-conditions for the application of subsection 56(2) were met in this case, by reference to paragraph 246(1)(b). The Respondent did not argue that subsection 246(1) applies on its own, but the Respondent used subsection 246(1) to meet the requirements of subsection 56(2). I will address that issue below.

[1007] As a result, according to the Respondent, paragraph 214(3)(a) deems the payment of the Feasibility Study Costs to be a dividend paid to EM Corp. from a corporation resident of Canada. Thus, subsection 212(2) requires EM Corp. to pay a tax at the rate of 25% on the amount of the deemed dividend. As such, the Appellant was required to withhold the Part XIII tax and remit the tax to the Receiver General on behalf of EM Corp.

[1008] However, according to the Respondent, Article X of the Treaty reduces the rate of the Part XIII tax to 5% of the amount of the benefit, namely $1,810,391. Therefore, the Respondent argues that the Part XIII Tax Assessment was validly made.

2) The Appellant

[1009] According to the Appellant, paragraph 246(1)(b) does not apply because the Appellant did not confer a benefit on EM Corp. by paying the Feasibility Study Costs, either in its capacity as an indirect shareholder or at all.

[1010] According to the Appellant, it paid the Feasibility Study Costs for its own benefit. The Feasibility Study Costs were valid expenses incurred by the Appellant in respect of a Feasibility Study carried out under the Project Agreement, pursuant to its obligations to pay the Feasibility Study Costs as provided for in the PACA Agreement. The Feasibility Study Costs were paid by the Appellant to obtain various benefits, as the evidence showed that the Appellant was to own the Canadian portion of the pipeline, if the projected pipeline would have been built and if the ExxonMobil group would have owned an interest in the projected pipeline. Further, the Appellant obtained all the data and information produced by the Feasibility Study. The Appellant was billed by KPMG accordingly.

[1011] According to the Appellant, by entering into the PACA Agreement, the Appellant became a party to the Project Agreement and was entitled to the “rights, duties, benefits, obligations, costs, rewards, risks and liabilities arising in connection with the performance of” the Project Agreement.

[1012] Further, the Appellant asserts that the requirements of subsection 246(2) are met, which results in no benefit being conferred on EM Corp. under subsection 246(1).

[1013] In addition, the Appellant takes issue with submissions of the Respondent on subsection 56(2), because subsection 56(2) was not raised in the pleadings, nor in the Respondent’s opening statement. Moreover, according to the Appellant, no evidence was advanced before the Court related to any reassessment of the Appellant on the basis of subsection 56(2). In addition, the Appellant asserts that the Respondent did not elaborate as to how subsection 56(2) applies to a Part XIII assessment raised on the basis of paragraph 246(1)(b). According to the Appellant, the Court should not consider this alternate argument pursuant to paragraphs 152(9)(a) and/or 152(9)(b).

3. Analysis

[1014] For the following reasons, the Part XIII Tax Assessment must be vacated.

[1015] Part XIII of the Act provides tax payable by a non-resident person on its income from various sources in Canada, including dividend. In the case at bar, the Respondent raised subsection 56(2) to support the Part XIII assessment, arguing that the Appellant conferred a benefit on EM Corp. by paying the Feasibility Study Costs, which amount is deemed a dividend (under paragraph 214(3)(a)), but the Respondent did not raise section 15. I will therefore not examine whether section 15 could have applied to the case at bar.

[1016] For the following reasons, I find that, for purposes of subsection 56(2), the payment of the Feasibility Study Costs by the Appellant was not made for the benefit of EM Corp. I also find, for purposes of subsection 246(1), that the Appellant did not confer a benefit on EM Corp. by paying the Feasibility Study Costs. As a result, neither subsection 56(2) nor subsection 246(1) apply in the circumstances of this case.

[1017] Having found that subsection 56(2) is not applicable, paragraph 214(3)(a) does not apply to deem that a dividend was paid to EM Corp. from a corporation resident in Canada, and subsection 212(2) does not apply to require EM Corp. to pay a tax of 25% on the amount of the deemed dividend (as reduced under the Treaty). Hence, subsection 215(1) does not require the Appellant to withhold and remit any amount to the Receiver General on behalf of EM Corp. Therefore, on that basis, the Part XIII Tax Assessment must be vacated.

[1018] Furthermore, because subsection 246(1) is not referenced in paragraph 214(3)(a), even if I had found that subsection 246(1) was applicable on the payment of the Feasibility Study Costs, which I did not, paragraph 214(3)(a) would not have applied to deem that a dividend was paid to EM Corp. from a corporation resident in Canada.

[1019] Paragraph 246(1)(b) provides that the amount of the benefit under subsection 246(1) is deemed to be a payment made to the non-resident in respect of “property, services or otherwise, depending on the nature of the benefit”, without making any reference to dividend. Although the Respondent seems to assert that a benefit under paragraph 246(1)(b) contemplates a dividend, being a payment in respect of property, the Respondent did not refer to any authority in that respect. However, having found that no benefit was conferred by the Appellant on EM Corp. in the circumstances of this case under subsection 246(1), the Part XIII Tax Assessment must therefore also be vacated on that ground.

[1020] Before analyzing both subsections 56(2) and 246(1), I want to reiterate that the Appellant was not involved in a sham or any artificial transaction. The pleadings from the Respondent did not make any reference to sham; further, the Respondent did not raise a sham or any artificial transaction arguments in the case at bar.

1) Paragraphs 152(9)(a) and (b):

[1021] The Appellant argues that subsection 56(2) could not be raised for purposes of Part XIII as the Minister did not raise subsection 56(2) for reassessing the Appellant for its 2001 Taxation Year, as the 2009 Reassessment denies the deductibility of the Feasibility Study Costs based on paragraph 18(1)(a), or alternatively, on the basis of the application of the transfer pricing rules found in section 247.

[1022] However, the fact that the Minister did not raise subsection 56(2) in reassessing the Appellant is not relevant for purposes of paragraph 214(3)(a) and Part XIII. Paragraph 214(3)(a) creates an assumption or supposition by stating the following: “where …subsection 56(2) would, if Part I were applicable, require an amount to be included in computing a taxpayer’s income, that amount shall be deemed to have been paid to the taxpayer as a dividend from a corporation resident in Canada...” (emphasis added).

[1023] The Court had the opportunity to interpret paragraph 214(3)(a), more specifically the words, “if Part I were applicable” in Industries P.W.I. Inc. v. Minister of National Revenue, [1993] 1 C.T.C. 2453, 93 D.T.C. 852 at p. 2458 (D.T.C. 855-56):

Knowing then that Part I is not applicable to non-residents in respect of revenue items relating to the provisions mentioned at the start of paragraph 214(3)(a), including section 15, the paragraph continues with the clause, “if Part I were applicable”. These words can express only one thing: an assumption or a supposition. Their meaning is thus equivalent to “supposing Part I were applicable” to non-residents in respect of items referred to in section 15 or subsection 56(2). It is thus only supposed that Part I applies to non-residents in respect of these items for the purposes of taxing them under Part XIII.

[1024] The taxpayer referenced in paragraph 214(3)(a) is EM Corp., and not the Appellant. The analysis under subsection 56(2) for purposes of paragraph 214(3)(a) should therefore focus on EM Corp., as being the “reassessed taxpayer”, assuming that Part I applies to EM Corp.

[1025] Further, because there is an assumption in the Reply providing that the payment of the Feasibility Study Costs by the Appellant conferred a benefit on EM Corp., I find that I can discuss the Respondent’s submissions on the application of subsection 56(2). I find that paragraph 152(9)(a) or (b) does not prevent me from doing such an analysis.

2) Subsections 56(2) and 246(1):

[1026] The four pre-conditions to apply subsection 56(2) were described as follows by the Supreme Court in Neuman (at para 32):

(1) the payment must be to a person other than the reassessed taxpayer;

(2) the allocation must be at the direction or with the concurrence of the reassessed taxpayer;

(3) the payment must be for the benefit of the reassessed taxpayer or for the benefit of another person whom the reassessed taxpayer wished to benefit; and

(4) the payment would have been included in the reassessed taxpayer’s income if it had been received by him or her.

[1027] In Neuman (at para 46), the Supreme Court confirmed the purposes of subsection 56(2), by quoting its own decision in Mcclurg v. Canada, [1990] 3 SCR 1020 [Mcclurg] (at p. 1051):

The subsection obviously is designed to prevent avoidance by the taxpayer, through the direction to a third party, of receipts which he or she otherwise would have obtained. …. the section reasonably cannot have been intended to cover benefits conferred for adequate consideration in the context of a legitimate business relationship.

[Emphasis added.]

[1028] The application of subsection 56(2) to any given set of circumstances must therefore be reviewed by keeping in mind its purpose, as described above by the Supreme Court in Mcclurg.

[1029] For the following reasons, I find that the Respondent’s interpretation of subsection 56(2) was not made in accordance with its purpose, and further, that all pre-conditions for the application of subsection 56(2) were not met in the present case.

[1030] According to the Respondent, the four pre-conditions for the application of subsection 56(2) are met as follows:

  • 1-The Feasibility Study Costs were paid to a person other than EM Corp., as they were paid to third-party service providers under the Project Agreement, as billed from time to time by KPMG;

  • 2-The Feasibility Study Costs were paid at the direction of or with the concurrence of EM Corp. because EMPC, a division of EM Corp., signed the PACA Agreement by which the Feasibility Study Costs were paid;

  • 3-The Feasibility Study Costs were paid for the benefit of EM Corp., because the Appellant conferred a benefit on EM Corp. by paying 68% of EM Corp.’s share of the feasibility study costs under the Project Agreement; and

  • 4-By virtue of paragraph 246(1)(b), the payment of the Feasibility Study Costs would have been included in EM Corp.’s income, if EM Corp. had received the Feasibility Study Costs directly.

[1031] Although the first and second pre-conditions were likely met in the present case, I find that the third and fourth pre-conditions were not met.

[1032] For the following reasons, I find that the payment of the Feasibility Study Costs by the Appellant was not made for the benefit of EM Corp., and consequently, the third pre-condition of subsection 56(2) is not met.

[1033] The term “benefit” is not defined in subsection 56(2). The case law has established that the word “benefit” can be aimed at payments, distributions, benefits and advantages that flow from a corporation to a shareholder by some route other than the more orthodox dividend route (Minister of National Revenue v. Pillsbury Holdings Ltd., [1964] C.T.C. 294 (Ex. Ct.) [Pillsbury], at para 18). That determination is purely factual. In Pillsbury, the Court found that the word “confer” means “grant” or “bestow”.

[1034] In the context of subsection 15(1) (which uses similar wording: “a benefit is conferred by a corporation on a shareholder…”), the case law indicates that no benefit or advantage is conferred where a corporation enters into a bona fide transaction with a shareholder (Pillsbury, at para 20; reiterated recently by the Federal Court of Appeal in Laliberté v. Canada, 2020 FCA 97 [Laliberté], at para 33).

[1035] Further, case law held that shareholder benefits do not exist where the benefit arises as a result of an ordinary business transaction, instead only devices or arrangements for conferring benefits or advantages on shareholders qua shareholders qualify as a benefit for that purpose (Pillsbury, at para 21; Laliberté, at para 34). The analysis will often focus on whether the transaction in question was made for a business or personal purpose (Laliberté, at para 36).

[1036] For the reasons detailed previously, I agree with the Appellant that the Feasibility Study Costs were paid for the Appellant’s own benefit, and not for the benefit of EM Corp. In the case at bar, I found that the Appellant had a source of business income related to the Feasibility Study. I also found that the Feasibility Study Costs were properly deductible expenses for the Appellant, and that the limitation found in paragraph 18(1)(a) was not applicable. The Feasibility Study Costs were valid expenses incurred by the Appellant in respect of a Feasibility Study carried out under the Project Agreement, pursuant to its obligations to pay them as provided for in the PACA Agreement.

[1037] The Appellant expected various benefits for entering into the PACA Agreement and paying the Feasibility Study Costs. By entering into the PACA Agreement, the Appellant was entitled to the “rights, duties, benefits, obligations, costs, rewards, risks and liabilities arising in connection with the performance of” the Project Agreement.

[1038] Further, the evidence showed that the Appellant was to own the Canadian portion of the pipeline, if the projected pipeline were to be built and if the ExxonMobil group owned an interest in the projected pipeline. The Appellant also obtained all the data and information produced by the Feasibility Study and was able to license the data and information obtained under the Project Agreement to the Mackenzie Gas Project in 2003 and to contribute the data in 2009-2010 under the TransCanada Pipeline Joint Venture. The Appellant was billed by KPMG, and the Appellant paid the Feasibility Study Costs to obtain these benefits.

[1039] In addition, I find that the Feasibility Study Costs were the result of valid and legitimate business operations and were made for business purposes, which indicate that the payment of the Feasibility Study Costs by the Appellant were not made for the benefit of EM Corp.

[1040] For the following reasons, I also find that the fourth pre-condition for the application of subsection 56(2) is not met.

[1041] I do not agree with the Respondent that paragraph 246(1)(b) or subsection 246(1) can be used for the purposes of meeting the fourth pre-condition for the application of subsection 56(2).

[1042] Subsection 56(2) is a standalone provision for determining whether a benefit was conferred on a taxpayer, as is subsection 246(1). It is not possible to interpret the fourth pre-condition of subsection 56(2) by referring to the benefit provision found in subsection 246(1). If I was to conclude that subsection 246(1) could be used to meet the fourth pre-condition for the application of subsection 56(2), that interpretation would run afoul of the wording of subsection 246(1) itself as well as the purpose of subsection 246(1).

[1043] Subsection 246(1) is meant to capture benefits that are not otherwise included in the income of a taxpayer under Part I. The wording of subsection 246(1) is clear and provides that the value of a benefit will be caught by this provision “to the extent that it is not otherwise included in the taxpayer’s income or taxable income earned in Canada under Part I...”. Subsection 56(2) is found under Part I, but subsection 246(1) is found under Part XVI. Therefore, it is not appropriate to use a provision, namely subsection 246(1), which is designed to catch the value of benefits conferred on a taxpayer not otherwise included in the taxpayer’s income under Part I, to satisfy requirements of a provision found under Part I, namely subsection 56(2).

[1044] The purpose of subsection 246(1) was well described by this Court in 943372 Ontario Inc. v. R., 2007 TCC 294 (at para 25), and makes it clear that subsection 246(1) applies to amounts not previously caught by any other provision of the Act:

[25] ….Section 246 does not create a separate head of taxation. Taxpayers are subjected to tax on a variety of bases — business income, employment income, interest, dividends, shareholder benefits under subsection 15(1), a variety of sources specified in section 56 and income from trusts to the extent required by section 104 are examples. Section 246 is not an addition to the other heads of taxation. Its purpose is to translate benefits that might not otherwise be caught in the tax net into their appropriate monetary value as if they were direct payments and require that the amount thereof should be included in the income of the recipient if it were to be included as a direct payment. The Canada Tax Service has put it succinctly as follows:

The purpose of section 246 is to require that the monetary value of certain benefits conferred on a taxpayer by another person by one or more sales, exchanges or other means whatever be accounted for by the taxpayer for the purposes of Part I or Part XIII tax, as the case may be, to the extent that the amount of the benefit has not otherwise been included in the taxpayer’s income or taxable income earned in Canada and would have been included in the taxpayer’s income if the taxpayer were resident in Canada and the amount of the benefit were a payment made to the taxpayer. The section does not apply where a transaction was entered into by arm’s length persons, bona fide, and not as part of any other transaction and not as payment of an existing or future obligation.

[Emphasis added.]

[1045] For these reasons, I find that the Respondent cannot rely on subsection 246(1) to meet the fourth pre-condition for the application of subsection 56(2).

[1046] Moreover, for the following reasons, if I was to conclude that subsection 246(1) can be used to meet the fourth pre-condition for the application of subsection 56(2), that interpretation would be inconsistent with the scheme of the Act as it relates to Part XIII.

[1047] Paragraph 214(3)(a) provides that where subsection 56(2) would have applied if Part I was applicable to a non-resident and would result in an income inclusion, that amount is deemed to be a dividend under Part XIII and is subject to tax under Part XIII pursuant to subsection 212(2).

[1048] However, an amount included in the income of a non-resident under subsection 246(1) is deemed for purposes of Part XIII to be some kind of payment “in respect of property, services or otherwise, depending on the nature of the benefit” (para 246(1)(b)). Under paragraph 246(1)(b), a non-resident may be subject to Part XIII tax depending on the nature of the benefit, which benefit does not include a dividend. It would be inconsistent with the scheme of the Act as it relates to Part XIII to use subsection 246(1) to get into subsection 214(3) via subsection 56(2), where subsection 246(1) provides for its own cross-border consequences without any need to rely on subsection 214(3).

[1049] For all these reasons, in respect of the payment by the Appellant of the Feasibility Study Costs, I find that subsection 56(2) does not apply to include any amount in computing EM Corp.’s income. Therefore, paragraph 214(3)(a) does not apply to deem a dividend having been paid to EM Corp. by a corporation resident of Canada for Part XIII tax purposes.

[1050] Further, for the following reasons, I find that subsection 246(1) does not apply to the payment of the Feasibility Study Costs by the Appellant.

[1051] One of the requirements for the application of subsection 246(1) would be to find that the Appellant conferred a benefit, directly or indirectly, by any means whatsoever, on EM Corp. by paying the Feasibility Study Costs.

[1052] For the same reasons as outlined above regarding subsection 56(2), I find that no benefit was conferred by the Appellant to EM Corp. by paying the Feasibility Study Costs. Therefore, in the case at bar, subsection 246(1) does not apply.

Signed this 6th day of March 2026.

“Dominique Lafleur”

Lafleur J.

 


APPENDIX A: CONSENT TO JUDGMENT

A document with a signature

AI-generated content may be incorrect.

A close-up of a letter

AI-generated content may be incorrect.

A close-up of a document

AI-generated content may be incorrect.


APPENDIX B: ALASKAN GAS PIPELINE AGREEMENT

A paper with text on it

AI-generated content may be incorrect.

A document with text on it

AI-generated content may be incorrect.

A page of a document

AI-generated content may be incorrect.

A close-up of a document

AI-generated content may be incorrect.

A paper with text on it

AI-generated content may be incorrect.

A page of a document

AI-generated content may be incorrect.

A paper with text on it

AI-generated content may be incorrect.

A page of a document

AI-generated content may be incorrect.

A paper with text on it

AI-generated content may be incorrect.

A close-up of a document

AI-generated content may be incorrect.


APPENDIX C: PARTIAL ASSIGNMENT AND COST ALLOCATION AGREEMENT

A document with text on it

AI-generated content may be incorrect.

A document with text on it

AI-generated content may be incorrect.

A document with text on it

AI-generated content may be incorrect.

A white paper with black text

AI-generated content may be incorrect.


APPENDIX D: PARTIAL AGREED STATEMENT OF FACTS

A document with a black text

AI-generated content may be incorrect.

A close-up of a paper

AI-generated content may be incorrect.

A close-up of a paper

AI-generated content may be incorrect.

A document with text on it

AI-generated content may be incorrect.

A paper with text on it

AI-generated content may be incorrect.

A document with text on it

AI-generated content may be incorrect.

A paper with text on it

AI-generated content may be incorrect.

A document with text on it

AI-generated content may be incorrect.

A close-up of a paper

AI-generated content may be incorrect.

A document with text on it

AI-generated content may be incorrect.

A paper with text on it

AI-generated content may be incorrect.

A paper with text on it

AI-generated content may be incorrect.

A paper with text on it

AI-generated content may be incorrect.

A close-up of a document

AI-generated content may be incorrect.


APPENDIX E: READ-INS

The Rules provide as follows:

100(1) At the hearing, a party may read into evidence as part of that party’s own case, after that party has adduced all of that party’s other evidence in chief, any part of the evidence given on the examination for discovery of

(a) the adverse party, or

(b) a person examined for discovery on behalf of or in place of, or in addition to the adverse party, unless the judge directs otherwise,

if the evidence is otherwise admissible, whether the party or person has already given evidence or not.

(3) Where only part of the evidence given on an examination for discovery is read into or used in evidence, at the request of an adverse party the judge may direct the introduction of any other part of the evidence that qualifies or explains the part first introduced.

(3.1) A party who seeks to read into evidence under subsection (1) or who requests the judge to direct the introduction of evidence under subsection (3) may, with leave of the judge, instead of reading into evidence, file with the Court a photocopy or other copy of the relevant extracts from the transcripts of the examination for discovery, and when the copy is filed such extracts shall form part of the record.

100(1) Une partie peut, à l’audience, consigner comme élément de sa preuve, après avoir présenté toute sa preuve principale, un extrait de l’interrogatoire préalable :

a) de la partie opposée;

b) d’une personne interrogée au préalable au nom, à la place ou en plus de la partie opposée, sauf directive contraire du juge,

si la preuve est par ailleurs admissible et indépendamment du fait que cette partie ou que cette personne ait déjà témoigné.

(3) Si un extrait seulement d’une déposition recueillie à l’interrogatoire préalable est consigné ou utilisé en preuve, le juge peut, à la demande d’une partie opposée, ordonner la présentation d’autres extraits qui la nuancent ou l’expliquent.

(3.1) Au lieu de consigner en preuve des extraits de l’interrogatoire préalable en vertu du paragraphe (1) ou de demander au juge d’ordonner la présentation d’autres extraits en vertu du paragraphe (3), la partie intéressée peut, avec l’autorisation du juge, déposer auprès de la Cour une copie ou une photocopie des extraits pertinents de la transcription de cet interrogatoire; les extraits de copies ou de photocopies ainsi déposés font partie du dossier.

[Emphasis added.]

I propose to use the broad categories identified by the Respondent in its written trial submissions dated June 27, 2025 (pp. 53 and following), to discuss the arguments raised by the Respondent and the Appellant.

As indicated by the Court in Prairielane Holdings Ltd. v. The Queen, 2019 TCC 157, even if I accept these read-ins as evidence, that does not mean that I accept the evidence as provided in the read-ins:

[53] Generally, when a party reads into evidence extracts of an examination for discovery of the other side, those extracts become evidence which the party reading them in adopts. The trial judge is not bound to accept these admissions, and may assess all the evidence at trial in determining what use to make of the read-ins.

Analysis:

1) Reassessment timing and the Minister’s positions under the Act: Exhibit A‑21, tabs 4, 5, 6, 8, 9, 10, 13, 14, 15, 16, 17, 18, 19, 20, 21, 90, 163, 164, 165 and 168

According to the Respondent, these read-ins are of negligible value because the Partial Agreed Statement of Facts already sets out the relevant assessment history in this appeal. Further, as indicated by the Respondent, the issue in an appeal to this Court is the validity and correctness of an assessment and not of the process by which the Minister came to an assessment (Main Rehabilitation v. R., 2004 FCA 403, at paras 7-8; Ereiser v. Canada, 2013 FCA 20, at paras 31-33).

However, the Appellant argues that these read-ins provide important context to their statute-barred arguments under subsection 152(4). For this reason, and because the above-listed read-ins are otherwise admissible evidence, they will form part of the evidential record, together with the contextual read-ins of the Respondent under tab 1 of Exhibit R-24, for read-ins under tabs 8, 9 and 10 of Exhibit A-21.

2) CRA Information Gathering and Management: Exhibit A-21, tabs 41, 42, 43, 46, 47, 48, 68, 88, 92, 114, 121, 122, 140, 143, 145, 150, 151, 152, 153, 154, 160, 161, 167, 175, 176, 234

According to the Respondent, these read-ins relate to whether inquiries were made to the Appellant, whether documents were provided to the Canada Revenue Agency (“CRA”), and whether these were exchanged between various CRA groups.

Given that the above-listed read-ins are otherwise admissible evidence, they will form part of the evidential record.

3) Nominee Review and Minister’s Assumptions: Exhibit A-21, tabs 22, 23, 24, 25, 26, 27, 28, 29, 30, 31, 32, 33, 45, 50, 60, 61, 62, 63, 65, 66, 67, 97, 98, 99, 100, 103, 104, 105, 106, 107, 108, 109, 110, 115, 117, 118, 119, 123, 124, 125, 126, 128, 129, 130, 131, 132, 134, 135, 136, 137, 138, 141, 142, 144, 146, 149, 159, 166, 192, 257, 264, 266, 267, 269

These read-ins relate to the personal understanding of the Respondent’s nominee, and the general understanding and assumptions of the Minister throughout the audit and appeal process. The Respondent asserts again that the process by which the Minister came to an assessment is not within the jurisdiction of this Court and furthermore, the assumptions of facts relied upon by the Minister to make the reassessment and assessment under appeal are set out in the Reply.

Because the above-listed read-ins are otherwise admissible evidence, they will form part of the evidential record, together with the contextual read-ins of the Respondent under tab 2 of Exhibit R-24, for read-ins under tab 30 of Exhibit A‑21.

4) Redundant Confirmation Regarding Assertions of Facts: Exhibit A-21, tabs 34, 35, 36, 37, 38, 148, 270 and 291

According to the Respondent, these read-ins are of negligible relevance and should be given no weight as they confirm the Respondent or the Minister is not making assertions of facts which contradict facts that have been agreed upon between the parties.

Because the above-listed read-ins are otherwise admissible evidence, they will form part of the evidential record.

5) August 2009 Report: Exhibit A-21, tabs 54, 55, 56, 57, 58, 59, 64, 169, 170, 171, 172, 173, 174, 181, 182, 184, 185, 186, 187, 189, 195, 196, 197, 198, 199, 200, 201, 202, 203, 204, 205, 206, 207, 208, 210, 211, 212, 213, 214, 215, 216, 217, 218, 219, 220, 221, 222, 223, 224, 225, 226, 227, 228, 229, 230, 235, 236, 237, 239, 240, 241, 242, 243, 244, 245, 246, 247, 248, 249, 250, 251, 256, 257, 258, 259, 260, 261, 262, 264, 267, 269, 271 and 272

These read-ins relate to a report marked as evidence under Exhibit AR-1, tab 154, as the “August 2009 Report”. The August 2009 Report is a transfer pricing analysis authored by Mr. Reid and Mr. Wilkinson, being CRA officers. Mr. Reid and Mr. Wilkinson are economists. The August 2009 Report formed the basis of several of the Minister’s assumptions found in the Reply. The read-ins relate more specifically to the economists’ understanding of the facts, the qualifications of the authors, and give details as to the assumptions.

However, at the hearing, although the August 2009 Report was adduced in evidence, the Respondent acknowledged that it did not rely on this report for evidence. Rather, the Respondent retained an independent transfer pricing expert, namely Dr. Horst, to give an opinion to the Court on the transfer pricing rules.

According to the Respondent, the August 2009 Report is of little relevance given that the Respondent did not rely on it and should be given no weight by the Court.

However, the Appellant’s transfer pricing experts relied on the August 2009 Report. Further, the August 2009 Report forms the basis of several assumptions of fact made by the Minister found in the Reply. The Respondent acknowledged the connection the August 2009 Report has with many assumptions.

For these reasons, and because the above-listed read-ins are otherwise admissible evidence, they will form part of the evidential record.

6) Positions Taken by the Respondent on Truth of Contents and in Law: Exhibit A-21, tabs 71, 101, 110, 112, 113, 120, 127, 133, 139, 147, 155 and 191

These read-ins relate to whether the Respondent takes issue with the truth of the content of some research documents, some of which were adduced in evidence under Exhibit AR-1, and to whether the Respondent alleges a sham in this appeal.

Because the above-listed read-ins are otherwise admissible evidence, they will form part of the evidential record. However, I am not giving any weight to these read-ins. As indicated by the Respondent, the issues were defined by the pleadings, and no sham argument was made by the Respondent.

7) Answers Primarily Entering Documents: Exhibit A-21, tabs 75, 86, 96, 178, 291, 324 and 325

These read-ins relate to answers by which various documents were produced at discovery (tabs 75, 86, 96, 149 and 178), and also include requests to admit the authenticity of some documents (tabs 324 and 325) and one request to admit the truth of certain facts (tab 291).

As indicated by this Court in 4145356 Canada Limited v. The Queen, 2010 TCC 613, it would not be appropriate to enter documents by way of read-ins without a witness testifying on them:

[15] …. As noted by Justice Quinn in 1224948 Ontario Ltd. v. 448332 Ontario Ltd., supra, the documents introduced at the discovery (the transcript and the two affidavits in that case) would be “properly the subject of read-ins under that rule provided, however, that they are ‘otherwise admissible’ pursuant to the rules of evidence governing trials”. Therefore the documents must be admissible documents pursuant to the rules of evidence governing trials in order to be introduced as documents at the hearing.

[33] A party may only read into evidence “any part of the evidence given on the examination for discovery”. Only evidence may be read in at the hearing. In Black’s Law Dictionary, Ninth Edition, “evidence” is defined as:

Something (including testimony, documents and tangible objects) that tends to prove or disprove the existence of an alleged fact.

[34] In a dissenting judgment in R. v. Schwartz, [1988] 2 S.C.R. 443, then Chief Justice Dickson stated certain general principles. There is no indication that the majority of the Justices of the Supreme Court of Canada disagreed with the general principles as expressed by then Chief Justice Dickson. In his judgment, then Chief Justice Dickson stated that:

59 One of the hallmarks of the common law of evidence is that it relies on witnesses as the means by which evidence is produced in court. As a general rule, nothing can be admitted as evidence before the court unless it is vouched for viva voce by a witness. Even real evidence, which exists independently of any statement by any witness, cannot be considered by the court unless a witness identifies it and establishes its connection to the events under consideration. Unlike other legal systems, the common law does not usually provide for self-authenticating documentary evidence.

60 Parliament has provided several statutory exceptions to the hearsay rule for documents, but it less frequently makes exception to the requirement that a witness vouch for a document. For example, the Canada Evidence Act provides for the admission of financial and business records as evidence of the statements they contain, but it is still necessary for a witness to explain to the court how the records were made before the court can conclude that the documents can be admitted under the statutory provisions (see ss. 29(2) and 30(6)). Those explanations can be made by the witness by affidavit, but it is still necessary to have a witness....

For these reasons, the read-ins found at tabs 75 and 86 with the attached documents should not form part of the evidential record.

Further, read-ins found at tabs 291, 324 and 325 will also not form part of the evidential record. However, the documents attached to the read-ins are already part of the evidential record, having been marked as Exhibit AR-1, Joint Book of Documents, tabs 125, 131 and 133 respectively.

In addition, read-ins found at tabs 96 and 178 shall not form part of the evidential record, as the documents referred to in these read-ins were already marked as evidence under Exhibit AR-1, Joint Book of Documents, tabs 108, 128, 129, 130, 134 as well as tab 126, respectively.

Finally, the T401 Income Tax Report on objection (Exhibit AR-1, Joint Book of Documents, tab 155) was also already marked as evidence.

8) Other CRA Officer Review and Statements: Exhibit A-21, tabs 76, 81, 82, 83, 87, 89, 102, 156, 157, 158, 162, 190, 263 and 264

These read-ins relate to statements or work products of CRA appeal officers or of CRA auditors other than the Respondent’s nominee for purposes of discovery.

Although the issue for the Court does not include the process by which the Minister came to an assessment or reassessment, because the above-listed read-ins are otherwise admissible evidence, they will form part of the evidential record. However, I am not giving any weight to these read-ins.

 


CITATION:

2026 TCC 42

COURT FILE NO.:

2017-5069(IT)G

STYLE OF CAUSE:

EXXONMOBIL CANADA RESOURCES COMPANY v. HIS MAJESTY THE KING

PLACES OF HEARING:

Calgary, Alberta and Montreal, Quebec

DATES OF HEARING:

April 7, 8, 9, 10, 11, 14, 15 and 16, May 26, 27, 28, and 29, June 2, 3, 4, 5, 6, 9, 10 and 11, and July 3 and 4, 2025

REASONS FOR JUDGMENT BY:

The Honourable Justice Dominique Lafleur

DATE OF JUDGMENT:

March 6, 2026

APPEARANCES:

Counsel for the Appellant:

Jehad Haymour

Sophie Virji

Anna Lekach

Counsel for the Respondent:

Wendy Bridges

Mary Softley

Tigra Bailey

COUNSEL OF RECORD:

For the Appellant:

Name:

Jehad Haymour

Sophie Virji

Anna Lekach

Firm:

Bennett Jones L.L.P.

For the Respondent:

Marie-Josée Hogue
Deputy Attorney General of Canada
Ottawa, Canada

 

 You are being directed to the most recent version of the statute which may not be the version considered at the time of the judgment.